1. Slide 1

 
USA: 
 Bartol Research Institute, Delaware
 University of California, Berkeley
 University of California, Irvine
 Pennsylvania State University
 Clark­Atlanta University
 Ohio State University
 Georgia Tech
 University of Maryland
 University of Alabama, Tuscaloosa
 University of Wisconsin­Madison
 University of Wisconsin­River Falls
 Lawrence Berkeley National Lab.
 University of Kansas 
 Southern University and A&M 
  College, Baton Rouge
 University of Alaska, Anchorage
Sweden:
 Uppsala Universitet
 Stockholm 
Universitet
UK:
 Oxford University
Belgium:
 Université Libre de Bruxelles
 Vrije Universiteit Brussel
 Universiteit Gent
 Université de Mons­Hainaut
Germany:
 DESY­Zeuthen
 Universität Mainz
 Universität Dortmund
 Universität Wuppertal
 Humboldt Universität
 MPI Heidelberg
 RWTH Aachen
Japan:
 Chiba University
New Zealand:
 University of Canterbury
Switzerland:
 EPFL
Barbados:
University of West 
Indies
Canada:
 University of Alberta
 ~250 members in 36 Institutions
http://icecube.wisc.edu/
 
C
O
R
E
­
C
O
L
L
A
P
S
E
 
S
U
P
E
R
N
O
V
A
 
 
C
O
R
E
­
C
O
L
L
A
P
S
E
 
S
U
P
E
R
N
O
V
A
 
T
H
E
 
I
C
E
C
U
B
E
 
O
B
S
E
R
V
A
T
O
R
Y
T
H
E
 
I
C
E
C
U
B
E
 
O
B
S
E
R
V
A
T
O
R
Y
time [s]
E
n
e
r
g
y
 
[
M
e
V
]
Neutrino Energies in Garching Supernova model
[T. Griesel  PhD Thesis, ETAP, JGU Mainz, 2010]
17 m between optical sensors
125 m between strings
The IceCube Neutrino Observatory, situated at the geographic South Pole, was completed in December 2010. A lattice (IceCube 
Array) of 5160 photomultiplier tubes monitors one cubic kilometer of deep Antarctic ice in order to detect neutrinos via Cherenkov 
photons  emitted  by  charged  by­products  of  their  interaction  in  matter.  Another  324  digital  optical  sensors  are  implemented  in 
frozen water tanks (IceTop) and can be used for vetoing downward going events.
Since IceCube's geometry was optimized to detect neutrinos with energies 
from 10
10
 up to 10
21
 eV .  
 
[H.-T. Janka, K. Langanke, A. Marek, G. Martínez-Pinedo und B. Müller: Theory of core­collapse supernovae. Physics Reports 442 38-74 (2007)]
The Evolutionary Stages in Core­Collapse Supernovae
The IceCube Detector
Neutrino  interaction  cross  sections  in  the  ice.  The 
cross  section  for  the  interaction  of  a  single 
(anti­)neutrino with an H
2
O molecule is shown. 
[Th. Kowarik PhD Thesis, Johannes Gutenberg­Universität Mainz, 2010]
D
E
T
E
C
T
I
O
N
 
M
E
T
H
O
D
D
E
T
E
C
T
I
O
N
 
M
E
T
H
O
D
D
E
T
E
C
T
I
O
N
 
M
E
T
H
O
D
D
E
T
E
C
T
I
O
N
 
M
E
T
H
O
D
I
C
E
C
U
B
E
 
C
O
L
L
A
B
O
R
A
T
I
O
N
I
C
E
C
U
B
E
 
C
O
L
L
A
B
O
R
A
T
I
O
N
The  heart  of  IceCube  is  the  Digital  Optical  Module 
(DOM) which is built in a 13'' (33cm) borosilicate glass 
pressure sphere. Besides a 10'' (25.4cm) hemispherical 
photomultiplier  tube  (PMT)  the  DOM  also  houses  all 
necessary  electronics  boards    containing  a  processor, 
memory,  flash  file  system  and  several  real­time 
operating  systems.  In  this  way  it  is  ensured  that  each 
DOM  is  able  to  operate  as  a  stand­alone  data 
acquisition  system.  The  on­board  digitization  of  the 
PMT  anode  pulse  is  a  key  concept  in  IceCube  that 
relieves  the  transmission  of  analog  signals  over  long 
distances.
SUPERNOVA NEUTRINO DETECTION with ICECUBE 
David Heereman for the IceCube Collaboration
David Heereman for the IceCube Collaboration
Inter­University Institute for High Energies (IIHE) – Brussels, Belgium
Inter­University Institute for High Energies (IIHE) – Brussels, Belgium
D
E
T
E
C
T
O
R
 
P
E
R
F
O
R
M
A
N
C
E
D
E
T
E
C
T
O
R
 
P
E
R
F
O
R
M
A
N
C
E
 
P
H
Y
S
I
C
S
 
P
E
R
F
R
O
M
A
N
C
E
 
P
H
Y
S
I
C
S
 
P
E
R
F
R
O
M
A
N
C
E
Due  to  subfreezing  ice  temperatures,  the 
photomultiplier's 
dark 
noise 
rates 
are 
particularly low (order of 550 Hz). Therefore, 
Cherenkov  photons  emitted  by  high  and  ultra 
high  energetic  neutrinos  are  not  the  only 
observable  events  in  IceCube.  Also  a  large 
burst  of  MeV  supernova  neutrinos  streaming 
through 
the 
detector 
will 
produce 
an 
observable  signal  in  the  PMTs.  The  detector 
will  measure  large  numbers  of  MeV  neutrinos 
by 
observing 
collective 
rise 
in 
all 
photomultiplier rates on top of the dark noise.  
Due to the noise­rate based detection method a 
detailed  understanding  of  the  noise  is 
fundamental.
A
N
A
L
Y
S
I
S
 
M
E
T
H
O
D
A
N
A
L
Y
S
I
S
 
M
E
T
H
O
D
Cherenkov photons radiated by 5 MeV 
e
 in a GEANT4 based simulation.
[
L
.
 
S
c
h
u
l
t
e
,
 
E
T
A
P
 
J
G
U
 
M
a
i
n
z
]
Several effects are mainly contributing to the  low noise rate in IceCube:
?
Uncorrelated Poissonian noise: 
Radioactivity, atmospheric muons and thermal noise.
?
Correlated noise contribution: 
Bursts  originating  most  likely  from  scintillation  of   
­  and 
α
­decays  from 
β
Uranium or Thorium isotopes in the glass sphere. The duration of these bursts 
is observed to be fractions of ms. 
Applying an artificial dead­time τ suppresses these effects and improves the signal­to­
noise ratio of the measurement and is found to be optimal at τ ≈ 250
μs.
The DOM
PMT
DOM 
Main
Board
LED 
Flasher 
Board
Glass Pressure 
Sphere
Mu­Metal 
Magnetic 
Shield Cage
High Voltage 
Generator &
 Digital Control 
Assembly
Cable Penetrator Assembly
PMT High 
Voltage Base 
Board
Log[Δt]
c
o
u
n
t
s
Poisson
Afterpulse
[D. Seckel, Bartol Research Institute, Delaware}
The  plot  on  the  left  shows  the  interval 
distribution,  i.e  the  time  between  to 
successive  hits  in  a  DOM.  The  Poissonian 
component 
following 
an 
exponential 
distribution  (red)  at  the  higher  end  and 
the  correlated  noise  component  of  After­
pulses  (orange)  for  short  time  distances 
are visible. Two additional fits following a 
power  law  were  made  to  please  the  eye. 
The  plot  the  the  right  shows  several  hit 
clusters  (bursts)  with  a  duration  in  the 
order of fractions of a millisecond.
Probability distribution for Supernova progenitor in 
Milky Way
Single DOM rate distribution with applied artificial dead­time 
of τ ≈ 250 μs. The average noise rates between DOMs vary 
only by 10%.
L
.
 
K
ö
p
k
e
 
,
 
E
T
A
P
 
J
G
U
 
M
a
i
n
z
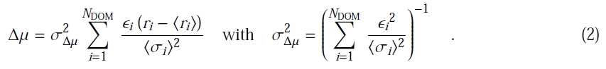
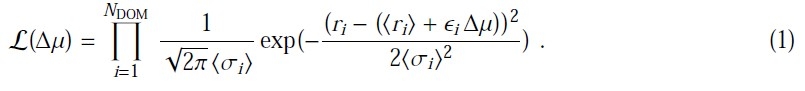
The real­time analysis method is based on counting 
N
 
pulses  during  a  given  time  interval  Δt  which 
results  in  rates  r
for  each DOM  i  (i=1...5160).  The 
distribution  of  the  individual  r
can  be  described  by 
lognormal distributions that are approximated by
Gaussians  with  rate  expectation  value  <r
i
>  and  standard  deviation  expectation  values  <σ
i
>.  These  expectation  values  are 
computed from moving 300s time windows before and after the investigated time bin t
(bin size of 2ms up to 0.5s). 30s around t
0
 
are excluded to avoid any impact of a wide signal on the mean rates. To evaluate the most likely 
collective rate deviation <Δμ>
 of 
all DOM noise rates r
i  
from their individual rates <r
i
>, one maximizes the likelihood  L (
Δμ
). 
The extrema of the likelihood are found by minimizing ­ln L which 
corresponds to minimizing X 
2
(
Δμ
). This leads to:
Total Hit rates for entire String 74 (60 DOMs) without 
artificial dead­time
This method allows to establish an indicator for strength and homogeneity 
of the illumination of the ice, called significance ξ, that should follow a 
Gaussian distribution with unit width and centered around zero. After a 
detector uptime of 556 days the measured significance distribution in the 
IceCube's 22– and 44­String configuration (plot to the right) is broader 
than expected due to the above mentioned correlated noise contributions. A 
Gaussian with σ=1.27 is fitted.
σ
μ
μ
ξ
Δ
Δ
==
uncertainty of deviation
deviation from sliding average
Information about energy and direction of the incident neutrinos is difficult to reconstruct due to the short track­length of only a few 
cm. However, in the case of a supernova at the galactic center, IceCube's sensitivity matches that of a background free megaton­scale 
supernova search experiment and decreases to 20 and 6 standard deviations for star explosions at the galactic edge (30 kpc) and the 
Large Magellanic Cloud (50 kpc), respectively. 
Muon induced rate as a function of depth in ice 
L
.
 
K
ö
p
k
e
 
,
 
E
T
A
P
 
J
G
U
 
M
a
i
n
z
Determination of the number of detected signal hits from the overall number of 
neutrinos crossing the detector is can be done using a GEANT GCALOR­based 
simulation.  With this it is possible to determine a 20% dependence of the detector 
sensitivity on the incoming neutrino direction for neutrino­electron­interactions. 
The figure on the left visualizes the effective volumes of the DOMs in IceCube by 
showing the clustering of detected inverse beta neutrino interactions at the 
position of the detector strings.
L
.
 
K
ö
p
k
e
 
,
 
E
T
A
P
 
J
G
U
 
M
a
i
n
z
Although  it  is  still  unclear  how 
Supernova  candidates  follow  the  star 
distribution  one  can  only  give  a 
probability  density for our galaxy. The 
dominant 
signature 
(~94%) 
of 
Supernova  neutrinos  in  ice  is  the 
inverse beta decay of an electron anti­
neutrino  resulting  in  a  detectable 
positron:                         .
The total cross sections of all channels 
for  neutrino  interactions  in  ice  are 
shown on the right. 
Using the so­called 
Lawrence­Livermore
 
model  one  can  determine  the  energy 
and 
luminosities 
of 
the 
incident 
neutrino.  This  spherical  symmetric 
model is performed from the onset of 
 
time [s]
l
u
m
i
n
o
s
i
t
y
 
[
1
0
5
6
 
e
r
g
/
s
]
l
u
m
i
n
o
s
i
t
y
 
[
1
0
4
6
 
J
/
s
]
Neutrino luminosities in Lawrence­Livermore Supernova model
[T. Griesel  PhD Thesis, ETAP, JGU Mainz, 2010]
the collapse up to 18 s after the core bounce. It assumes a 20 M
 progenitor star and its modeled after the SN1987A. All characteristics 
of neutrino emission are visible. The more detailed 
Garching
 model is used to determine the energy spectrum of ν
e
(red) ν
e
(blue) and 
all other flavors ν
x
 (green dashed).
This  plot  addresses  IceCube's  sensitivity  to  the 
neutrino 
hierarchy 
problem. 
Since 
any 
oscillations  of  neutrinos  depend  on  the  squared 
neutrino  mass  it  is  not  possible  to  predict  the 
absolute mass of neutrinos but only to set limits . 
These leads to an uncertainty in the hierarchy of 
the three neutrino mass eigenstates that build the 
neutrino  flavor  eigenstates  via  the 
MNS
­matrix 
that includes all mixing angles and a CP­violating 
phase.  
Regarding 
Lawrence­Livermore 
modeled 
supernova in 10 kpc distance IceCube would see 
clear differences in signal shapes for normal mass 
hierarchy  (Scenario  A)  and  inverted  hierarchy 
(Scenario B).  
Another way to distinguish the two scenarios A & B is by using a different model that predicts a spike in the ν
e
flux at 257ms < t
< 261ms after the onset of the neutrino emission (plot on the left). Height and shape of the peak are neutrino hierarchy­dependent. 
The two scenarios can be distinguished at 90% C.L. for supernovae in distances up to 30 kpc. Another simulation is based on model 
predictions  for  the  formation  of  a  black  hole  after  the  collapse  of  a  40  M
  progenitor  (plot  on  the  right).  In  this  case,  electron 
neutrinos  reach  energies  as  high  as  27  MeV  and  have  a  correspondingly  large  detection  probability.  Therefore  they  produce  very 
clear  evidence  for  the  formation  of  the  black  hole  after  1.3  s  at  higher  than  90%  C.L.  regarding  our  Galaxy  and  the  Magellanic 
Clouds.  
D
a
s
g
u
p
t
a
 
e
t
 
a
l
.
,
 
P
h
y
s
i
.
 
R
e
v
.
 
L
e
t
t
.
 
D
 
8
1
,
 
1
0
3
0
0
5
 
(
2
0
1
0
)
Delay 
Board
S
u
m
i
y
o
s
h
i
e
t
a
l
.
,
A
p
J
6
6
7
,
3
8
2
(
2
0
0
7
)
T
o
t
a
n
i
 
e
t
 
a
l
.
 
 
A
s
t
r
o
p
.
 
P
h
y
s
.
 
4
9
6
,
 
 
2
1
6
 
(
1
9
9
8
)
10 kpc
10 kpc
25 kpc
25 kpc
L
.
 
K
ö
p
k
e
 
,
 
E
T
A
P
 
J
G
U
 
M
a
i
n
z
[
P
R
 
D
8
0
:
1
2
3
0
1
7
,
2
0
0
9
 
A
h
l
e
r
s
,
 
M
e
r
t
s
c
h
 
S
a
r
k
a
r
]

Back to top