1. 2704 BATSE Gamma-Ray Bursts
      1. events in GRB ontime
      2. events
      3. events
      4. Likelihood Ratio
      5. events
      6. events
      7. signal fraction
      8. background fraction
      9. 2 3 4 5 6 7 8 9
      10. -81010
      11. -31010
      12. -1101
      13. 31010
      14. Discovery Potential

Searches for Neutrinos from Gamma Ray Bursts with the
AMANDA-II and IceCube Detectors
by
Erik Albert Strahler
A dissertation submitted in partial fulfillment of the
requirements for the degree of
Doctor of Philosophy
(Physics)
at the
University of Wisconsin – Madison
2009

?
c
Copyright by Erik Albert Strahler 2009
All Rights Reserved

Searches for Neutrinos from Gamma Ray Bursts with the
AMANDA-II and IceCube Detectors
Erik Albert Strahler
Under the supervision of Professor Albrecht Karle
At the University of Wisconsin — Madison
Gamma-ray bursts (GRBs) are the most energetic phenomenon in the universe, releasing
isotropic equivalent energies of O(10
52
) ergs over short time scales. While it is possible to wholly
explain the keV-GeV observed photons by purely electromagnetic processes, it is natural to consider
the implications of concurrent hadronic (proton) acceleration in these sources. Such processes make
GRBs one of the leading candidates for the sources of the ultra high-energy cosmic rays as well as
sources of associated high energy (TeV-PeV) neutrinos. We have performed searches for such neutri-
nos from 85 northern sky GRBs with the AMANDA-II neutrino detector. No signal is observed and
upper limits are set on the emission from these sources. Additionally, we have performed a search for
41 northern sky GRBs using the 22-string configuration of the IceCube neutrino telescope, employing
an unbinned maximum-likelihood method and individual modeling of the predicted emission from
each burst. This search is consistent with the background-only hypothesis and we set upper limits
on the emission.
Albrecht Karle (Adviser)

i
High energy experimental physics has largely become a field of collaborations, and neutrino
astronomy in particular involves the combined efforts of many scientists from diverse institutions. I
would like to acknowledge the hard work of the many physicists in the IceCube collaboration, without
whom these analyses would have been impossible.
I owe thanks to Albrecht Karle, for first interesting me in gamma-ray bursts and for advice
over the years. I am grateful for the opportunity he gave me to join IceCube and contribute.
Francis Halzen provided much useful insight on matters theoretical, and Gary Hill was of great
help with many questions regarding statistics and event selection methods. Chad Finley helped me
to (finally) figure out the log-likelihood analysis, and was a great sounding board for working out
problems with signal weighting. Jon Dumm contributed invaluable advice on scripts and IceCube
software.
The members of the GRB working group deserve special thanks, especially Ignacio Taboada.
He was ever ready with suggestions, feedback, and advice. In analyzing IceCube data, I have been
very fortunate to collaborate with Alexander Kappes and Phil Roth. Working with them has been
more productive (and much more enjoyable) than it would have been alone.
Thanks of a different sort goes to Kael Hanson and Hagar Landsman. Kael involved me with
DOM testing when I first joined the collaboration and Hagar helped me learn the intricacies of the
testing framework. Without them I never would have had the opportunity to visit the south pole,
one of the most unique experiences of my life.
Finally, I would like to thank my family and friends, both for encouraging me in my pursuit of
physics, and probably more importantly, for providing me with so many great experiences through
my years in Madison.

ii
Contents
List of Tables
viii
List of Figures
x
1 Introduction
1
1.1 The Cosmic Ray Connection . . . . . . . . . . . . . . . . . . . . . . . . . . . . . . . .
1
1.1.1 Fermi Acceleration of Particles . . . . . . . . . . . . . . . . . . . . . . . . . . .
2
1.2 Previous Work . . . . . . . . . . . . . . . . . . . . . . . . . . . . . . . . . . . . . . . . 10
1.3 Organization of the Thesis . . . . . . . . . . . . . . . . . . . . . . . . . . . . . . . . . . 10
2 Gamma-ray Bursts
12
2.1 History . . . . . . . . . . . . . . . . . . . . . . . . . . . . . . . . . . . . . . . . . . . . 12
2.2 Fireball Model . . . . . . . . . . . . . . . . . . . . . . . . . . . . . . . . . . . . . . . . 16
2.2.1 Energy Spectra . . . . . . . . . . . . . . . . . . . . . . . . . . . . . . . . . . . . 16
2.2.2 Compactness . . . . . . . . . . . . . . . . . . . . . . . . . . . . . . . . . . . . . 18
2.2.3 Emission Mechanism . . . . . . . . . . . . . . . . . . . . . . . . . . . . . . . . . 20
2.2.4 Collimated Emission - Reducing the Energy Budget . . . . . . . . . . . . . . . 21
2.3 Neutrino Production . . . . . . . . . . . . . . . . . . . . . . . . . . . . . . . . . . . . . 24
2.3.1 Prompt Neutrinos . . . . . . . . . . . . . . . . . . . . . . . . . . . . . . . . . . 24
2.3.2 Precursor Neutrinos . . . . . . . . . . . . . . . . . . . . . . . . . . . . . . . . . 29
2.3.3 Afterglow Neutrinos . . . . . . . . . . . . . . . . . . . . . . . . . . . . . . . . . 30
2.4 Neutrino Oscillation . . . . . . . . . . . . . . . . . . . . . . . . . . . . . . . . . . . . . 31

iii
3 Neutrino Detection and Reconstruction
33
3.1 Interaction . . . . . . . . . . . . . . . . . . . . . . . . . . . . . . . . . . . . . . . . . . 33
3.2
Ceˇ renkov Radiation . . . . . . . . . . . . . . . . . . . . . . . . . . . . . . . . . . . . . 35
3.3 Muon Energy Losses . . . . . . . . . . . . . . . . . . . . . . . . . . . . . . . . . . . . . 36
3.4 Backgrounds . . . . . . . . . . . . . . . . . . . . . . . . . . . . . . . . . . . . . . . . . 37
3.5 Ice Properties . . . . . . . . . . . . . . . . . . . . . . . . . . . . . . . . . . . . . . . . . 40
3.6 Reconstruction . . . . . . . . . . . . . . . . . . . . . . . . . . . . . . . . . . . . . . . . 40
3.6.1 Line-Fit . . . . . . . . . . . . . . . . . . . . . . . . . . . . . . . . . . . . . . . 43
3.6.2 Direct Walk . . . . . . . . . . . . . . . . . . . . . . . . . . . . . . . . . . . . 44
3.6.3 JAMS . . . . . . . . . . . . . . . . . . . . . . . . . . . . . . . . . . . . . . . . . 45
3.6.4 Pandel Likelihood . . . . . . . . . . . . . . . . . . . . . . . . . . . . . . . . . . 45
3.6.5 Bayesian Likelihood . . . . . . . . . . . . . . . . . . . . . . . . . . . . . . . . . 47
3.6.6 Iterative Reconstruction . . . . . . . . . . . . . . . . . . . . . . . . . . . . . . . 48
3.6.7 Energy Reconstruction . . . . . . . . . . . . . . . . . . . . . . . . . . . . . . . . 48
3.6.7.1 N
ch
. . . . . . . . . . . . . . . . . . . . . . . . . . . . . . . . . . . . . 48
3.6.7.2 Mue . . . . . . . . . . . . . . . . . . . . . . . . . . . . . . . . . . . . 49
4 Detectors
53
4.1 Satellites . . . . . . . . . . . . . . . . . . . . . . . . . . . . . . . . . . . . . . . . . . . . 53
4.1.1 Swift . . . . . . . . . . . . . . . . . . . . . . . . . . . . . . . . . . . . . . . . . . 54
4.1.2 HETE-II . . . . . . . . . . . . . . . . . . . . . . . . . . . . . . . . . . . . . . . 55
4.1.3 INTEGRAL . . . . . . . . . . . . . . . . . . . . . . . . . . . . . . . . . . . . . . 55
4.1.4 IPN3 . . . . . . . . . . . . . . . . . . . . . . . . . . . . . . . . . . . . . . . . . . 55
4.1.5 Suzaku . . . . . . . . . . . . . . . . . . . . . . . . . . . . . . . . . . . . . . . . 56
4.1.6 AGILE . . . . . . . . . . . . . . . . . . . . . . . . . . . . . . . . . . . . . . . . 56
4.2 AMANDA-II . . . . . . . . . . . . . . . . . . . . . . . . . . . . . . . . . . . . . . . . . 57
4.2.1 The Optical Module and µDAQ . . . . . . . . . . . . . . . . . . . . . . . . . . 57
4.2.2 Calibration . . . . . . . . . . . . . . . . . . . . . . . . . . . . . . . . . . . . . . 58
4.3 IceCube . . . . . . . . . . . . . . . . . . . . . . . . . . . . . . . . . . . . . . . . . . . . 59

iv
4.3.1 The Digital Optical Module . . . . . . . . . . . . . . . . . . . . . . . . . . . . . 59
4.3.2 IceCube DAQ . . . . . . . . . . . . . . . . . . . . . . . . . . . . . . . . . . . . . 60
4.3.2.1 Local Coincidence . . . . . . . . . . . . . . . . . . . . . . . . . . . . . 61
5 Gamma-Ray Burst Selection
66
5.1 Satellites . . . . . . . . . . . . . . . . . . . . . . . . . . . . . . . . . . . . . . . . . . . . 66
5.2 Blindness . . . . . . . . . . . . . . . . . . . . . . . . . . . . . . . . . . . . . . . . . . . 67
5.3 AMANDA-II . . . . . . . . . . . . . . . . . . . . . . . . . . . . . . . . . . . . . . . . . 67
5.3.1 Detector Stability Criteria . . . . . . . . . . . . . . . . . . . . . . . . . . . . . . 68
5.3.2 Burst Duration Determination . . . . . . . . . . . . . . . . . . . . . . . . . . . 70
5.4 IceCube . . . . . . . . . . . . . . . . . . . . . . . . . . . . . . . . . . . . . . . . . . . . 74
5.4.1 Detector Stability Criteria . . . . . . . . . . . . . . . . . . . . . . . . . . . . . . 75
5.4.2 Burst Duration Determination . . . . . . . . . . . . . . . . . . . . . . . . . . . 75
6 Simulation
78
6.1 Generators . . . . . . . . . . . . . . . . . . . . . . . . . . . . . . . . . . . . . . . . . . 78
6.2 Propagators . . . . . . . . . . . . . . . . . . . . . . . . . . . . . . . . . . . . . . . . . . 79
6.3 Detector Simulation . . . . . . . . . . . . . . . . . . . . . . . . . . . . . . . . . . . . . 79
6.3.1 AMANDA . . . . . . . . . . . . . . . . . . . . . . . . . . . . . . . . . . . . . . . 80
6.3.2 IceCube . . . . . . . . . . . . . . . . . . . . . . . . . . . . . . . . . . . . . . . . 80
7 AMANDA-II Analysis
81
7.1 Filtering . . . . . . . . . . . . . . . . . . . . . . . . . . . . . . . . . . . . . . . . . . . . 81
7.1.1 Level 1 Filter . . . . . . . . . . . . . . . . . . . . . . . . . . . . . . . . . . . . . 81
7.1.2 Level 2 Filter . . . . . . . . . . . . . . . . . . . . . . . . . . . . . . . . . . . . . 83
7.1.3 Level 3 Filter . . . . . . . . . . . . . . . . . . . . . . . . . . . . . . . . . . . . . 83
7.1.4 Flare Checking . . . . . . . . . . . . . . . . . . . . . . . . . . . . . . . . . . . . 83
7.1.5 Starting Dataset . . . . . . . . . . . . . . . . . . . . . . . . . . . . . . . . . . . 84
7.2 Signal Spectrum . . . . . . . . . . . . . . . . . . . . . . . . . . . . . . . . . . . . . . . 84
7.3 Event Selection Variables . . . . . . . . . . . . . . . . . . . . . . . . . . . . . . . . . . 86

v
7.3.1 Paraboloid Sigma . . . . . . . . . . . . . . . . . . . . . . . . . . . . . . . . . . . 86
7.3.2 Likelihood Ratio . . . . . . . . . . . . . . . . . . . . . . . . . . . . . . . . . . . 87
7.3.3 Space Angle . . . . . . . . . . . . . . . . . . . . . . . . . . . . . . . . . . . . . . 88
7.3.4 Other Variables . . . . . . . . . . . . . . . . . . . . . . . . . . . . . . . . . . . . 90
7.3.5 Temporal Coincidence . . . . . . . . . . . . . . . . . . . . . . . . . . . . . . . . 91
7.4 Optimization . . . . . . . . . . . . . . . . . . . . . . . . . . . . . . . . . . . . . . . . . 91
7.5 Final Event Sample . . . . . . . . . . . . . . . . . . . . . . . . . . . . . . . . . . . . . . 98
7.6 Sensitivity . . . . . . . . . . . . . . . . . . . . . . . . . . . . . . . . . . . . . . . . . . . 99
7.7 Discovery Potential . . . . . . . . . . . . . . . . . . . . . . . . . . . . . . . . . . . . . . 101
7.8 Results . . . . . . . . . . . . . . . . . . . . . . . . . . . . . . . . . . . . . . . . . . . . . 102
8 IceCube Analysis
107
8.1 Filtering . . . . . . . . . . . . . . . . . . . . . . . . . . . . . . . . . . . . . . . . . . . . 107
8.1.1 Online Muon Filter / Level 1 Filter . . . . . . . . . . . . . . . . . . . . . . . . 108
8.1.2 Level 2 Filter . . . . . . . . . . . . . . . . . . . . . . . . . . . . . . . . . . . . . 108
8.1.3 Level 3 Filter . . . . . . . . . . . . . . . . . . . . . . . . . . . . . . . . . . . . . 108
8.1.4 Starting Event Sample . . . . . . . . . . . . . . . . . . . . . . . . . . . . . . . . 109
8.2 Signal Spectrum . . . . . . . . . . . . . . . . . . . . . . . . . . . . . . . . . . . . . . . 109
8.2.1 Precursor Emission . . . . . . . . . . . . . . . . . . . . . . . . . . . . . . . . . . 109
8.2.2 Prompt Emission . . . . . . . . . . . . . . . . . . . . . . . . . . . . . . . . . . . 111
8.2.3 Extended Window Search . . . . . . . . . . . . . . . . . . . . . . . . . . . . . . 115
8.3 Event Selection . . . . . . . . . . . . . . . . . . . . . . . . . . . . . . . . . . . . . . . . 116
8.3.1 Reduced Log-Likelihood . . . . . . . . . . . . . . . . . . . . . . . . . . . . . . . 116
8.3.2 Bayesian Likelihood Ratio . . . . . . . . . . . . . . . . . . . . . . . . . . . . . . 117
8.3.3 Paraboloid Sigma . . . . . . . . . . . . . . . . . . . . . . . . . . . . . . . . . . . 117
8.3.4 Umbrella Likelihood Ratio . . . . . . . . . . . . . . . . . . . . . . . . . . . . . . 117
8.3.5 Split Reconstruction Minimum Zenith . . . . . . . . . . . . . . . . . . . . . . . 117
8.3.6 Direct Hits . . . . . . . . . . . . . . . . . . . . . . . . . . . . . . . . . . . . . . 118
8.3.7 Cut Selection and Neutrino Level Sample . . . . . . . . . . . . . . . . . . . . . 118

vi
8.4 Unbinned Analysis Method . . . . . . . . . . . . . . . . . . . . . . . . . . . . . . . . . 124
8.5 Sensitivity and Discovery Potential . . . . . . . . . . . . . . . . . . . . . . . . . . . . . 131
8.5.1 Trials Factors . . . . . . . . . . . . . . . . . . . . . . . . . . . . . . . . . . . . . 132
8.6 Results . . . . . . . . . . . . . . . . . . . . . . . . . . . . . . . . . . . . . . . . . . . . . 134
9 Systematic Error Analysis
136
9.1 Sources of Systematic Error . . . . . . . . . . . . . . . . . . . . . . . . . . . . . . . . . 137
9.1.1 Neutrino Cross-Section . . . . . . . . . . . . . . . . . . . . . . . . . . . . . . . . 137
9.1.2 Muon Propagation / Earth Model . . . . . . . . . . . . . . . . . . . . . . . . . 137
9.1.3 Reconstruction Bias . . . . . . . . . . . . . . . . . . . . . . . . . . . . . . . . . 138
9.1.4 Ice Properties . . . . . . . . . . . . . . . . . . . . . . . . . . . . . . . . . . . . . 138
9.1.5 Timing Resolution . . . . . . . . . . . . . . . . . . . . . . . . . . . . . . . . . . 139
9.1.6 (D)OM Efficiency . . . . . . . . . . . . . . . . . . . . . . . . . . . . . . . . . . 140
9.1.7 Seasonal Background Variations . . . . . . . . . . . . . . . . . . . . . . . . . . 140
10 Conclusions
142
10.1 Summary . . . . . . . . . . . . . . . . . . . . . . . . . . . . . . . . . . . . . . . . . . . 142
10.2 Discussion . . . . . . . . . . . . . . . . . . . . . . . . . . . . . . . . . . . . . . . . . . . 143
10.2.1 Previous Results . . . . . . . . . . . . . . . . . . . . . . . . . . . . . . . . . . . 143
10.2.2 Sensitivity to gamma rays from GRBs . . . . . . . . . . . . . . . . . . . . . . . 147
10.3 Outlook . . . . . . . . . . . . . . . . . . . . . . . . . . . . . . . . . . . . . . . . . . . . 149
Bibliography
152
A List of Abbreviations
160
B Sensitivity Studies for the Full Detector
163
B.1 Geometries . . . . . . . . . . . . . . . . . . . . . . . . . . . . . . . . . . . . . . . . . . 163
B.2 GRB Sample . . . . . . . . . . . . . . . . . . . . . . . . . . . . . . . . . . . . . . . . . 163
B.3 Event Selection . . . . . . . . . . . . . . . . . . . . . . . . . . . . . . . . . . . . . . . . 164

vii
B.4 Method . . . . . . . . . . . . . . . . . . . . . . . . . . . . . . . . . . . . . . . . . . . . 166
C Event Selection with Support Vector Machines
170
C.1 Fully Separable, Linear Case . . . . . . . . . . . . . . . . . . . . . . . . . . . . . . . . 171
C.2 Non-Separable, Linear Case (Soft Margin) . . . . . . . . . . . . . . . . . . . . . . . . . 173
C.3 Non-Linear Case . . . . . . . . . . . . . . . . . . . . . . . . . . . . . . . . . . . . . . . 175
C.4 Example Application to a GRB Analysis . . . . . . . . . . . . . . . . . . . . . . . . . . 176
D Light Curves of 2005-2006 Northern Sky GRBs
184
E Stability Plots for 2005-2006 Northern Sky GRBs
187
E.1 Filter Level Rates in Background Windows . . . . . . . . . . . . . . . . . . . . . . . . 187
E.2 Distribution in Filter Level Rate per 10s . . . . . . . . . . . . . . . . . . . . . . . . . . 192
E.3 Time Differences Between Subsequent Events . . . . . . . . . . . . . . . . . . . . . . . 197

viii
List of Tables
2.1 Average BATSE GRB Parameters . . . . . . . . . . . . . . . . . . . . . . . . . . . . . 29
4.1 Main Parameters of GRB-detecting Satellites . . . . . . . . . . . . . . . . . . . . . . . 53
5.1 GRBs Lacking Detector Data in 2005-2006 . . . . . . . . . . . . . . . . . . . . . . . . 68
5.2 GRBs with Incomplete Stability Windows in 2005-2006 . . . . . . . . . . . . . . . . . 69
5.3 GRBs with Problem Data in 2005-2006 . . . . . . . . . . . . . . . . . . . . . . . . . . 71
5.4 2005-2006 Burst Sample . . . . . . . . . . . . . . . . . . . . . . . . . . . . . . . . . . . 72
5.5 GRBs with Problem Data in 2007-2008 . . . . . . . . . . . . . . . . . . . . . . . . . . 76
5.6 2007-2008 Burst Sample . . . . . . . . . . . . . . . . . . . . . . . . . . . . . . . . . . . 77
7.1 Summary of 2005-2006 AMANDA-II upgoing muon filters. . . . . . . . . . . . . . . . . 82
7.2 AMANDA-II upgoing filter passing rates. . . . . . . . . . . . . . . . . . . . . . . . . . 84
7.3 Event Selection for the 2005-2006 AMANDA analysis . . . . . . . . . . . . . . . . . . 94
7.4 Final Event Rates for 2005-2006 . . . . . . . . . . . . . . . . . . . . . . . . . . . . . . 98
7.5 Discovery Potential for 2005-2006 . . . . . . . . . . . . . . . . . . . . . . . . . . . . . . 104
8.1 Summary of 22-string IceCube upgoing muon filters. . . . . . . . . . . . . . . . . . . . 108
8.2 Average Parameters for Swift GRBs . . . . . . . . . . . . . . . . . . . . . . . . . . . . 112
8.3 GRB Spectral Information for 2007-2008 . . . . . . . . . . . . . . . . . . . . . . . . . . 113
8.4 Modified Extended Time Windows . . . . . . . . . . . . . . . . . . . . . . . . . . . . . 116
8.5 Event Selection Criteria for 2007-2008 . . . . . . . . . . . . . . . . . . . . . . . . . . . 119
8.6 Final Event Rates for 2007-2008 . . . . . . . . . . . . . . . . . . . . . . . . . . . . . . 121

ix
8.7 Sensitivity and Discovery Potential for 2007-2008 . . . . . . . . . . . . . . . . . . . . . 133
8.8 Upper Limits for 2007-2008 . . . . . . . . . . . . . . . . . . . . . . . . . . . . . . . . . 135
9.1 AMANDA-II Systematic Errors . . . . . . . . . . . . . . . . . . . . . . . . . . . . . . . 136
9.2 IceCube Systematic Errors . . . . . . . . . . . . . . . . . . . . . . . . . . . . . . . . . . 137
10.1 Results of Previous and Current GRB Searches . . . . . . . . . . . . . . . . . . . . . . 143
B.1 Simulation Remaining After SBM Selection . . . . . . . . . . . . . . . . . . . . . . . . 165
B.2 Event Rates for the Full IceCube Detector . . . . . . . . . . . . . . . . . . . . . . . . . 168

x
List of Figures
1.1 The Cosmic Ray Spectrum . . . . . . . . . . . . . . . . . . . . . . . . . . . . . . . . .
3
1.2 First Order Fermi Acceleration . . . . . . . . . . . . . . . . . . . . . . . . . . . . . . .
6
1.3 Hillas Diagram . . . . . . . . . . . . . . . . . . . . . . . . . . . . . . . . . . . . . . . .
9
2.1 The Vela 5 Satellite . . . . . . . . . . . . . . . . . . . . . . . . . . . . . . . . . . . . . 13
2.2 GRB Duration Distribution . . . . . . . . . . . . . . . . . . . . . . . . . . . . . . . . . 14
2.3 GRB Spatial Distribution . . . . . . . . . . . . . . . . . . . . . . . . . . . . . . . . . . 15
2.4 Sample GRB Lightcurves . . . . . . . . . . . . . . . . . . . . . . . . . . . . . . . . . . 17
2.5 Effect of Relativistic Aberration on Time Variability . . . . . . . . . . . . . . . . . . . 19
2.6 Temporal Jet Break in GRB990510 . . . . . . . . . . . . . . . . . . . . . . . . . . . . . 22
2.7 Calibrated GRB Energy . . . . . . . . . . . . . . . . . . . . . . . . . . . . . . . . . . . 23
2.8 Prompt and Precursor Neutrino Emission in the Fireball Model . . . . . . . . . . . . . 28
3.1 Neutrino Cross-section and Interaction Length . . . . . . . . . . . . . . . . . . . . . . 34
3.2 Ceˇ renkov Radiation . . . . . . . . . . . . . . . . . . . . . . . . . . . . . . . . . . . . . 35
3.3 Muon Energy Loss in Ice . . . . . . . . . . . . . . . . . . . . . . . . . . . . . . . . . . . 37
3.4 Angular Distribution of Atmospheric Muons . . . . . . . . . . . . . . . . . . . . . . . . 39
3.5 The Earth as a Muon Filter . . . . . . . . . . . . . . . . . . . . . . . . . . . . . . . . . 39
3.6 Optical Properties of South Pole Ice . . . . . . . . . . . . . . . . . . . . . . . . . . . . 41
3.7 Reconstruction Parameters . . . . . . . . . . . . . . . . . . . . . . . . . . . . . . . . . 42
3.8 Pandel Parameterization of Light Delay . . . . . . . . . . . . . . . . . . . . . . . . . . 46
3.9 N
ch
as a Function of Neutrino Energy . . . . . . . . . . . . . . . . . . . . . . . . . . . 49

xi
3.10 N
ch
Distribution for Various Spectra . . . . . . . . . . . . . . . . . . . . . . . . . . . . 50
3.11 ?
mue
as a Function of Neutrino Energy . . . . . . . . . . . . . . . . . . . . . . . . . . . 51
3.12 ?
mue
Distribution for Various Spectra . . . . . . . . . . . . . . . . . . . . . . . . . . . 51
3.13 Comparison of Energy Estimators . . . . . . . . . . . . . . . . . . . . . . . . . . . . . 52
4.1 The Swift Satellite . . . . . . . . . . . . . . . . . . . . . . . . . . . . . . . . . . . . . . 54
4.2 Triangulation with IPN3 . . . . . . . . . . . . . . . . . . . . . . . . . . . . . . . . . . . 56
4.3 The AMANDA-II Detector . . . . . . . . . . . . . . . . . . . . . . . . . . . . . . . . . 58
4.4 The IceCube Detector . . . . . . . . . . . . . . . . . . . . . . . . . . . . . . . . . . . . 62
4.5 Wavelength Dependence of DOM properties . . . . . . . . . . . . . . . . . . . . . . . . 63
4.6 Schematic of a DOM . . . . . . . . . . . . . . . . . . . . . . . . . . . . . . . . . . . . . 64
4.7 Sample ATWD and PMT ADC Waveforms . . . . . . . . . . . . . . . . . . . . . . . . 65
5.1 Blindness for GRB Searches . . . . . . . . . . . . . . . . . . . . . . . . . . . . . . . . . 67
5.2 Sample AMANDA Stability Plots . . . . . . . . . . . . . . . . . . . . . . . . . . . . . . 70
5.3 Burst Duration Definition for 2005-2006 . . . . . . . . . . . . . . . . . . . . . . . . . . 72
5.4 Sample IceCube Stability Plots . . . . . . . . . . . . . . . . . . . . . . . . . . . . . . . 76
7.1 Comparison of 2005 and 2006 data . . . . . . . . . . . . . . . . . . . . . . . . . . . . . 85
7.2 AMANDA Response to GRB Signal at Filter Level . . . . . . . . . . . . . . . . . . . . 86
7.3 Background Contamination at Filter Level for 2005-2006 . . . . . . . . . . . . . . . . . 87
7.4 Paraboloid Sigma at Filter Level for 2005-2006 . . . . . . . . . . . . . . . . . . . . . . 88
7.5 Likelihood Ratio at Filter Level for 2005-2006 . . . . . . . . . . . . . . . . . . . . . . . 89
7.6 Space Angle at Filter Level for 2005-2006 . . . . . . . . . . . . . . . . . . . . . . . . . 89
7.7 Direct Hits Problem . . . . . . . . . . . . . . . . . . . . . . . . . . . . . . . . . . . . . 90
7.8 Cut Parameterization for 2005-2006 . . . . . . . . . . . . . . . . . . . . . . . . . . . . 95
7.9 Zenith Dependence of Parameter Distributions for 2005-2006 . . . . . . . . . . . . . . 96
7.10 Partial Cut Application for 2005-2006 . . . . . . . . . . . . . . . . . . . . . . . . . . . 97
7.11 Simulation and data comparison at final cut level for 2005-2006 . . . . . . . . . . . . . 99
7.12 Paraboloid Sigma at Final Cut Level for 2005-2006 . . . . . . . . . . . . . . . . . . . . 100

xii
7.13 Likelihood Ratio at Final Cut Level for 2005-2006 . . . . . . . . . . . . . . . . . . . . 101
7.14 Space Angle at Final Cut Level for 2005-2006 . . . . . . . . . . . . . . . . . . . . . . . 102
7.15 Final Cut Efficiency for 2005-2006 . . . . . . . . . . . . . . . . . . . . . . . . . . . . . 103
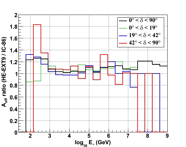
7.16 AMANDA Neutrino Effective Area . . . . . . . . . . . . . . . . . . . . . . . . . . . . . 104
7.17 Model Discovery Potential for 2005-2006 . . . . . . . . . . . . . . . . . . . . . . . . . . 105
7.18 Upper Limit of the AMANDA analysis . . . . . . . . . . . . . . . . . . . . . . . . . . . 106
8.1 Event Rates at Filter Level for 2007-2008 . . . . . . . . . . . . . . . . . . . . . . . . . 110
8.2 IceCube Response to Precursor Neutrinos . . . . . . . . . . . . . . . . . . . . . . . . . 111
8.3 Neutrino Spectra for 41 GRBs Observed in 2007-2008 . . . . . . . . . . . . . . . . . . 115
8.4 Cut Efficiency for Several Event Selection Parameters . . . . . . . . . . . . . . . . . . 119
8.5 Event Rates at Neutrino Level for 2007-2008 . . . . . . . . . . . . . . . . . . . . . . . 120
8.6 Cumulative Point Spread Function for 2007-2008 . . . . . . . . . . . . . . . . . . . . . 121
8.7 22-String IceCube Muon Neutrino Effective Area . . . . . . . . . . . . . . . . . . . . . 122
8.8 Signal Efficiency for 2007-2008 . . . . . . . . . . . . . . . . . . . . . . . . . . . . . . . 123
8.9 Spatial Signal PDF . . . . . . . . . . . . . . . . . . . . . . . . . . . . . . . . . . . . . . 127
8.10 Spatial Background PDF for IceCube . . . . . . . . . . . . . . . . . . . . . . . . . . . 128
8.11 Temporal Signal PDF . . . . . . . . . . . . . . . . . . . . . . . . . . . . . . . . . . . . 128
8.12 Energy PDFs for Several Spectra . . . . . . . . . . . . . . . . . . . . . . . . . . . . . . 130
8.13 Test Statistic Distribution for Background Only Hypothesis . . . . . . . . . . . . . . . 131
8.14 Discovery Potential for 2007-2008 IceCube Analysis . . . . . . . . . . . . . . . . . . . . 133
8.15 Upper Limits for 2007-2008 IceCube Analysis . . . . . . . . . . . . . . . . . . . . . . . 135
9.1 Stretched Ice Model . . . . . . . . . . . . . . . . . . . . . . . . . . . . . . . . . . . . . 139
9.2 Systematic Error of Ice Properties . . . . . . . . . . . . . . . . . . . . . . . . . . . . . 139
9.3 Seasonal Variation in Data Rate . . . . . . . . . . . . . . . . . . . . . . . . . . . . . . 141
10.1 Comparison of Results with Previous Limits . . . . . . . . . . . . . . . . . . . . . . . . 145
10.2 Opacity of the Universe to High Energy Photons . . . . . . . . . . . . . . . . . . . . . 148
10.3 Neutrino Effective Area for Multiple Detectors . . . . . . . . . . . . . . . . . . . . . . 150

xiii
B.1 IceCube Configurations . . . . . . . . . . . . . . . . . . . . . . . . . . . . . . . . . . . 164
B.2 Neutrino Spectra for 142 Northern Sky GRBs . . . . . . . . . . . . . . . . . . . . . . . 165
B.3 Default Geometry Event Selection . . . . . . . . . . . . . . . . . . . . . . . . . . . . . 166
B.4 Extended Geometry Event Selection . . . . . . . . . . . . . . . . . . . . . . . . . . . . 166
B.5 Effective Areas for the Full Detector . . . . . . . . . . . . . . . . . . . . . . . . . . . . 167
B.6 Discovery Potential of IceCube for GRBs . . . . . . . . . . . . . . . . . . . . . . . . . 169
C.1 Hyperplanes in a 2D Support Vector Machine . . . . . . . . . . . . . . . . . . . . . . . 171
C.2 Linear, Fully Separable SVM . . . . . . . . . . . . . . . . . . . . . . . . . . . . . . . . 172
C.3 Linear, Non-Separable SVM . . . . . . . . . . . . . . . . . . . . . . . . . . . . . . . . . 174
C.4 SVM Kernel Functions . . . . . . . . . . . . . . . . . . . . . . . . . . . . . . . . . . . . 176
C.5 GRB Feature Vector Distribution . . . . . . . . . . . . . . . . . . . . . . . . . . . . . . 179
C.6 Over-fitting of an SVM classifier . . . . . . . . . . . . . . . . . . . . . . . . . . . . . . 180
C.7 Grid Search for SVM Optimization . . . . . . . . . . . . . . . . . . . . . . . . . . . . . 181
C.8 Effect of Kernel Variation on SVM Output . . . . . . . . . . . . . . . . . . . . . . . . 182
C.9 Global Optimization of SVM Parameters . . . . . . . . . . . . . . . . . . . . . . . . . . 183

1
Chapter 1
Introduction
High energy neutrinos provide a unique perspective on the cosmos. As neutral and weakly interacting
particles they point back to their sources over all energy ranges and distance scales. This can be
contrasted to cosmic rays which are bent in galactic and intergalactic magnetic fields, or photons,
which can be blocked by intervening matter or attenuated at high energies via pair production with
background light. Thus neutrinos allow us to view the deep universe with a clarity unparalleled in
other channels. In addition, the detection of astrophysical high energy neutrinos would be a clear
signature of sources of hadronic acceleration. Such a detection would have extremely important
consequences in the astrophysics community, as it could explain the origins of the mysterious ultra-
high energy cosmic rays (UHECR). One of the most likely candidates for the production of cosmic
neutrinos are the enigmatic Gamma-Ray Bursts. Extremely brilliant emitters of high energy photons
over time scales ranging from tenths to thousands of seconds, GRBs have a rich observational history
and well developed theories with predictions for neutrino fluxes of energy MeV-EeV.
1.1 The Cosmic Ray Connection
The cosmic rays are composed mostly of protons, with a small fraction of heavier elements
that varies with energy. They are distributed nearly isotropically over the sky and universally follow
a power law spectrum over many decades in energy (see Fig. 1.1). This spectrum falls as E
? 2.7
up to
∼ 4 PeV, where is steepens to E
? 3.7
. This change is spectral slope is known as the knee. Through the
knee, the cosmic rays are thought to be galactic in origin, likely accelerated in supernova remnants
(see section 1.1.1). A good phenomenological description of the steepening is a many-knee model

2
(poly gonato from Greek) [1, 2]. Each element exhibits a cutoff in its spectrum due to the maximum
acceleration possible in SNR, but heavier elements extend to higher energy. When added together,
the spectrum is well modeled up to ∼ 10
18.5
eV. At this point it hardens to E
? 2.7
again, a feature
known as the ankle. The ultra-high energy cosmic rays above the ankle are thought to be due to
extragalactic sources. At the highest energies they will be suppressed by interactions with the cosmic
microwave background (GZK effect).
Protons accelerated to ultra-high energy will produce neutrinos through interactions with
surrounding matter. While the protons will be isotropized by intervening magnetic fields (except at
the very highest energies), the neutrinos will stream straight to the Earth. If we can detect these
high energy neutrinos we will unveil the sources of the UHECR.
1.1.1 Fermi Acceleration of Particles
First proposed in 1949, Fermi suggested that charged particles would elastically scatter off
turbulent variations in magnetic fields, stochastically gaining energy. Let us follow his work and
determine the energy change in each interaction. A further description may be found in [4].
Let us assume that the “magnetic mirrors” move randomly and have a characteristic velocity
V while the particle moves with velocity v. We further assume that the clouds of gas containing
these mirrors are massive and thus are essentially unaffected by collisions with particles. We thus
choose the center of momentum frame of the cloud for our discussion. The particle energy incident
at angle θ with the magnetic mirror is then given by
E
?
= γ(E + Vp cos θ)
(1.1)
and the momentum normal to the mirror surface is
p
?
x
= p
?
cos θ
?
= γ
?
p cos θ +
VE
c
2
?
(1.2)
In the elastic collision, energy is conserved in the center of momentum frame, and momentum is
inverted. In the observer’s frame this yields a final energy

??? ????? ???????????? ?? ?????? ????
3
??
????? ? ???? ??? ?????? ??? ???????? ?? ??? ?????? ??? ?????? ?? ?????? ???? ??
???????? ?? ??? ??? ???? ?????? ?? ??? ?? ???????? ?????? ????? ???? ?? ?
?????? ??? ??? ??????? ?? ?????????? ?????? ????????? ?? ??????? ?? ? ? ?????? ??
??? ??? ??????? ?? ?????? ????? ?? ??? ?????? ???? ?? ??? ??????? ???????? ???
??????????? ?? ?????? ???????? ????? ?? ??? ?? ?????? ??? ???? ???? ???? ? ? ???
???????? ???? ? ??? ?? ????????? ???? ??????? ???????? ??????? ??? ??????????
??? ????? ?? ?????? ?? ?? ????????? ??????????? ?? ???? ? ?? ?? ?? ??? ?????? ??
????????? ??? ? ? ????????????
???
????? ???????????? ?? ?????? ????
?? ????? ???????????? ??????? ????????? ??? ??????????? ?????????? ??????? ?????
??????? ?? ???????? ???? ??????????? ?? ??? ??????? ?? ? ??? ??????? ??? ???
??? ????????? ??? ?? ???????? ?????? ??????????????? ???? ???????? ????????
Figure 1.1: The cosmic ray energy spectrum at earth. Below the knee, the cosmic rays are
thought to be galactic in origin. In the high energy tail, sources are unknown. (from [3])

4
E
??
= γ(E
?
+ Vp
?
x
)
(1.3)
= γ
2
E
?
1+
2V v cos θ
c
2
+
?
V
c
?
2
?
(1.4)
The change in energy is thus
E
??
? E =∆E =
2V v cos θ
c
2
+ 2
?
V
c
?
2
(1.5)
where we have expanded to second order in V/c. Note that to first order the total energy change
tends to zero, as the gain of head-on collisions is canceled by the loss in following collisions. This is
not quite true, as the rates are proportional to the relative velocities of approach, v + V cos θ and
v ? V cos θ. Thus, slightly more head-on collisions occur, yielding a net increase in energy. Averaging
over all angles of incidence yields a total fractional energy change
∆E
E
=
8
3
?
V
c
?
2
(1.6)
This is Fermi’s famous result, that the energy increases only with the 2nd order of V/c. While this
mechanism indeed produces a power law, it is deficient for explaining the highest energy cosmic rays.
The velocities of the clouds containing the mirrors are typically small relative to light, and the mean
free path of cosmic rays is large, hence it would take an extremely long time to accelerate particles to
the appropriate energies. Given turbulence on a sufficiently small scale such as in supernova remnants
this can be overcome. However, we must also account for ionization losses which scale with energy.
When combined, 2nd order Fermi acceleration cannot account for the cosmic ray spectrum.
If we could somehow find a situation in which every collision was head-on, Eq. 1.5 tells us
that the energy would increase in every case and be proportional to V/c. This is the so-called 1st
order Fermi acceleration. This can be achieved if strong shocks exist in the accelerator. There are
two approaches to the problem; considering the diffusion equation that governs the evolution of the
momentum distribution around the shocks [5], and following the behavior of individual particles [6].

5
We adopt the latter approach in the following.
Shocks occur when exploding gas (from e.g. a supernova) travels faster than the sound speed
of the medium. These shocks travel through regions containing high energy particles moving in
magnetic fields. The particles barely notice the presence of the shocks since they have much higher
velocities and the shocks are thin compared to their gyroradii. Elastic scattering of the particles in
turbulent magnetic fields both in front of and in the wake of the shock isotropizes their velocities.
Thus, for a shock traveling at speed U, in the shock rest frame the upstream particles will appear to
be approaching with that same speed. Energy, mass, and momentum must be conserved across the
shock front, and this allows us to determine the resulting compression. For strong shocks the relation
between the gas densities in the downstream and upstream regions is given by
ρ
2
ρ
1
=
γ
H
+1
γ
H
? 1
(1.7)
Here γ
H
is the ratio of specific heats and is 5/3 for a fully ionized plasma. Thus the compression
ratio is a factor of 4. Conservation of mass implies
ρ
1
v
1
= ρ
2
v
2
v
2
=
1
4
v
1
(1.8)
In the shock rest frame, the upstream gas has velocity ? U while the downstream gas has velocity
? 1/4U. We now consider both upstream and downstream regions individually. In the rest frame
of the upstream gas (adding U to each side), the downstream particles approach the shock front
with velocity 3/4U. Similarly, in the rest frame of the downstream particles (adding 1/4U to each
side), the upstream particles approach the shock front with speed 3/4U. Due to the compressive
properties of the shock, particles have head-on collisions no matter whether they are in the upstream
or downstream regions, and those collisions occur with the exact same velocity relative to the shock.
This is shown schematically in Fig. 1.2.
We can determine the fractional energy increase in each shock crossing in much the same way

6
ρ
2
, v
2
ρ
1
, v
1
U
shock
downstream
upstream
upstream rest frame
downstream rest frame
shock rest frame
v
2
= 1/4 v
1
v
1
= |U|
v
2
= 3/4 U
at rest
v
1
= 3/4 U
at rest
Figure 1.2: Schematic showing the process for 1st order Fermi acceleration across shock
fronts. Top left panel depicts the shock propagating with velocity U through a high energy
plasma. Top right panel shows the rest frame of the shock and the compression between
the upstream and downstream regions. Because the velocities are isotropized by magnetic
fluctuations, the relative velocity of the upstream region is given by U. Bottom left and
right panels show the rest frame of the upstream and downstream regions, respectively. In
each case, particles crossing the shock front undergo head-on collisions with gas at relative
velocity 3/4U.
as for the 2nd order mechanism. Encountering gas of velocity V = 3/4U, the energy increases by
E
?
= γ(E + p
x
V )
(1.9)
In all the above we have taken the shocks to be non-relativistic while the particles are. Taking this
into account, we arrive at
∆E
E
=
V
c
cos θ
(1.10)

7
We average over incidence angles and probabilities to find
?
∆E
E
? =
4
3
V
c
(1.11)
for each full crossing from the upstream to the downstream region and back. If we denote the energy
increase in each interaction by E = βE
0
then
β =1+
4
3
V
c
(1.12)
Let us now assume that after each collision the particle has a probability P to pass through the shock
front again. After k collisions we will then have a number of particles N = P
k
N
0
with characteristic
energy E = β
k
E
0
. These can be related through
N
N
0
=
?
E
E
0
?
ln P
ln β
(1.13)
Since N actually represents the number of particles with at least energy E, we then write the differ-
ential energy spectrum as
N(E)dE ∝
?
E
E
0
?
ln P
ln β
り 1
dE
(1.14)
We now determine the re-crossing probability P . The number of particles crossing the shocks
is given by 1/4nc [4], where n is the number density. Conversely, in the downstream region, particles
are carried away from the shock front (top right panel of Fig. 1.2). This occurs at a rate 1/4nU. So
the loss per unit time is given by U/c. We then have
P =1 り
U
c
(1.15)
We combine Eqs. 1.12 and 1.15 and plug into Eq. 1.14 to find
N(E)dE ∝ E
り 2
dE
(1.16)

8
Thus we naturally arrive at a power law spectrum consistent with the observed and pervasive cosmic
rays
1
. We must note, however, that there is a limit to how much acceleration is possible with this
mechanism. Although much more efficient than 2nd order Fermi acceleration, the process is still
slow and must combat energy loss processes. Taking this into account, we find that this process
can account for cosmic ray acceleration in supernovae up to the knee. However, it is not possible to
produce the highest energy cosmic rays with this method. To do so, we must employ much higher
magnetic fields or larger acceleration regions
2
. We depict this in Fig. 1.3 and note that gamma-ray
bursts are one of the few source classes in which the conditions for UHECR acceleration are indeed
met.
1
Steepening to an E
り 2.7
spectrum is thought to be due to losses in the intervening space.
2
We should also note that this discussion has been limited to non-relativistic shock acceleration. The relativistic
case is much more complicated and we do not discuss it in detail here. It has the property however, of rapidly increasing
the energy of particles with each crossing of the shock front and is thus appropriate for UHECR acceleration.

9
Figure 1.3: The famous Hillas diagram illustrating the relationship between magnetic
fields and source size necessary to accelerate nuclei to ultra-high energies via the Fermi
mechanism. (adapted from [7])

10
1.2 Previous Work
Previous searches for high energy neutrino emission from gamma-ray bursts have been con-
ducted using data collected with the AMANDA and IceCube detectors. A variety of search strategies
have been employed covering a range of emission models and detection channels. Triggered searches
in the muon channel [8, 9, 10], triggered and rolling searches in the cascade channel [11], and anal-
yses dedicated to single, spectacular bursts [12, 13] have all failed to detect neutrinos from GRBs.
Upper limits have been set, but to date none exclude the most popular scenarios. We build on this
previous body of work in the analyses presented in this thesis and place all results in context in our
conclusions.
1.3 Organization of the Thesis
• Chapter 2 reviews the history of gamma-ray burst observations and presents the phenomeno-
logical framework that has been developed to explain them. We then describe the production
of neutrinos in GRB explosions through photomeson interactions and detail resulting spectra
occurring from the various phases of the emission.
• Chapter 3 describes the ways in which high energy astrophysical neutrinos may be detected
at the earth. The process is followed through interaction, lepton production, and subsequent
emission of
Ceˇ renkov radiation. Optical properties of the detection medium are considered. We
discuss how the arrival times and amplitudes of the emitted light may be used to reconstruct
events, and present the algorithms used in these reconstructions.
• Chapter 4 describes the satellites that observe the photon flux from GRBs and localize their
positions. The AMANDA and IceCube neutrino detectors are then presented, including layout,
hardware, and data acquisition systems.
• Chapter 5 explains the selection criteria for the inclusion of observed GRBs in our search. We
describe the blinding procedure and the determination of emission windows. The spatial and
temporal information for all bursts in our analyses are listed.

11
• Chapter 6 explains the process of creating simulated signals and backgrounds. The generation
of primaries is described, as well as the modeling of propagation through the atmosphere and
earth, energy losses, interaction, and the detector response to the emitted light.
• Chapter 7 presents a stacked search for muon neutrinos from GRBS using the AMANDA-II
detector. 85 GRBs observed in the northern hemisphere in 2005-2006 are considered. Event
selection and optimization of background rejection are presented in detail.
• Chapter 8 describes a search for muon neutrino emission from 41 GRBs using the 22-string
configuration of the IceCube detector. An unbinned likelihood method is utilized for the first
time in stacked searches for GRBs, maximizing the sensitivity of the analysis.
• Chapter 9 reviews the sources of systematic error in the analyses presented. Contributions from
theory, ice properties, and hardware are considered, as well as the effect of seasonal variation
in the atmospheric muon rate.
• Chapter 10 presents a summary of the work conducted in this thesis and places it in the context
of previous results. Prospects for the future are discussed.

12
Chapter 2
Gamma-ray Bursts
Gamma-ray Bursts (GRBs) are the most energetic events in the universe, outshining all other sources
over their short emission windows. Initially thought to be galactic in origin due to the fluxes observed,
they are now known to occur at cosmological distances. They are one of the prime candidates for
the acceleration of the highest energy cosmic rays and concurrent astrophysical neutrinos.
2.1 History
Gamma-ray bursts were discovered as a byproduct of efforts to enforce the partial test ban
treaty of 1963. This treaty prohibited the testing of nuclear weapons underwater, in the atmosphere,
and in space. The Vela satellites [14] were designed to detect the gamma radiation from such a
nuclear detonation. The satellites were operated in pairs on opposite sides of a high circular orbit
and timing information was used to determine the direction of sources. During data taking by Vela
5a and 5b in 1969, a strange phenomenon was discovered
1
; short, intense bursts of γ-rays from
outside their orbits rather than within. This topology meant that the sources were astrophysical
rather than terrestrial. When the data was declassified in 1973, the observations of 16 such bursts
were published [15]. Shortly thereafter, a collimated gamma-ray telescope aboard the OSO-7 satellite
was able to confirm the direction of one of the events [16]. The IMP-6 was able to measure spectral
characteristics of the bursts
2
and determined that the emission peaked in γ-rays and was thus not
just the high energy tail of some x-ray phenomenon [17]. These observations, all in rapid succession,
spurred a wealth of theoretical papers about the sources of these bursts. Unfortunately this was the
1
though it was not noticed in 1972 when the backlog of non-nuclear detonation γ-ray events began to be analyzed
2
using a hard x-ray detector intended to study solar flares

13
beginning of an experimental dark age that would not see an end for nearly 20 years.
Figure 2.1: The Vela 5 satellite system. On the left is the Vela 5a and 5b pair joined
before launch. On the right is the Vela 5b satellite in low Earth orbit
The Burst and Transient Source Experiment (BATSE) [18] was launched aboard the Compton
Gamma Ray Observatory (CGRO) satellite on April 5, 1991. This was the first experiment dedicated
to the observation of gamma ray photons associated with transients. Its energy range (20 keV - 1
MeV) and all-sky field-of-view allowed it to detect GRBs at an average rate of 1/day throughout its
9 year mission, observing 2704 GRBs in total. This high rate of detection quickly increased statistics,
and studies were able to be conducted on the distributions of the GRB population. It was found that
the durations of GRBs follow a bimodal distribution [19]; so-called “short” bursts with a duration
? 2 s and “long” bursts with a duration ? 2 s. This distribution can be seen in Fig. 2.2. The short
bursts were found to display harder energy spectra than the long, leading to the supposition that
different underlying processes were at work in the 2 classes. The second major finding was in the
spatial distribution of the GRB population. Until this point, most people had thought that the
bursts must be galactic in origin, due to the fluxes observed (some theories even place the source of
the GRBs in the Oort Cloud). It was therefore a great surprise when BATSE observed that GRBs

14
are distributed isotropically both in number and in fluence [20] (see Fig. 2.3. In a galactic source
model, the brightest bursts would be distributed along the galactic plane. This lack of clustering
gave evidence that GRBs are cosmological phenomena, which implied huge energies of 10
50
り 10
54
ergs in the case of isotropic emission from the sources.
Figure 2.2: Distribution of GRB Durations for the BATSE 4B Catalog (through August
1996). Durations are given as T
90
, the time in which 5% to 95% of the γ-ray emission
occurs. The bimodal distribution separates GRBs into 2 classes; long and short (based on
data from [21])
The hypothesis of cosmological origin was confirmed by the BeppoSAX satellite [22] in 1997.
BeppoSAX was able to localize GRBs with arcminute precision, and more importantly, was able to
distribute that information to ground-based observatories much more rapidly than had previously
been achieved. In addition, they were able to make x-ray observations of GRB afterglow. These
multi-wavelength afterglow observations led to the first observation of an optical counterpart to a
GRB at cosmological distance [23].
The Swift satellite [24, 25] (see section 4.1.1), launched in 2004 opened a new window on
understanding GRBs. It was designed to have rapid slewing capability and incorporates γ-ray, x-ray,

15
+90
-90
+180
-180
2704 BATSE Gamma-Ray Bursts
10
-7
10
-6
10
-5
10
-4
Fluence, 50-300 keV (ergs cm
-2
)
Figure 2.3: Spatial Distribution of the full BATSE GRB sample. The isotropic spatial
distribution in both number and fluence implies cosmological origins. (from [18])
and ultraviolet detectors onboard. This has allowed detailed studies of the transition between the
prompt and afterglow emission phases and the first measurements of afterglow emission from short
GRBs [26]. Rapid dissemination of (usually) arcsecond localizations to ground-based telescopes
results in redshift measurements for ∼ 25% of all bursts. It has been found that the GRB population
extends to higher redshifts than imagined, with observed distances up to z=6.7 [27].
After nearly a decade without a full-sky GRB detector, the Fermi Gamma Space Telescope [28]
(formerly GLAST) was launched in July of 2008. A true successor to CGRO, Fermi possesses both
a wide field Gamma-ray Burst Monitor (GBM) and a more focused, higher precision detector (the
Large Area Telescope, or LAT). The LAT is analogous to the EGRET experiment aboard CRGO,
extending the energy range to 300 GeV. Fermi is able to slew to point the LAT at some GRBs
detected by the GBM, thus yielding a huge potential range of energies for GRB observations. This
has led to the detection of >10 GeV photons from bursts [29], raising new questions as to the source
physics. With a detection rate of ∼ 200/yr Fermi will continue to provide valuable new data in the

16
quest to understand the mysteries of GRBs.
2.2 Fireball Model
Long GRBs are thought to be caused by the core collapse of massive stars into black holes [30,
31]. This hypothesis is strengthened by the association of some long GRBs with abnormal type Ic
Supernovae (SNe)
3
. The first such correlation was between GRB980425 and SN1998bw [32] with
several other observations strengthening the connection to date. Long GRBs are always observed to
occur in star-forming regions. Short GRBs, on the other hand, are thought to be associated with
the merger of two compact objects (e.g. neutron stars) [33]. In either case, the accreting matter
is thought to spin rapidly, creating a disk [34]. At some point, the radiation pressure exceeds the
gravitational infall, and an explosion occurs, ejecting an e
±
, γ, and baryon plasma along the rotation
axis, with this fireball being fed by rapid accretion of matter from the disk. This wind accelerates to
relativistic velocities and randomizes and dissipates energy via internal shocks. It is thought that the
observed γ-rays are the result of synchrotron radiation from the accelerated electrons in the very high
magnetic fields of the burst environment [35, 36]. Let us consider the observations that lead to this
fireball phenomenology in order to better understand the physics of GRBs and why it is reasonable
to expect high energy neutrino emission.
2.2.1 Energy Spectra
The energy spectra of most GRBs are well described by the Band function [37], which models
the low energy component as a power law with exponential cutoff, smoothly transitioning to a steeper
power law at higher energies. While the fit is purely empirical and makes no claims with regards to
the burst physics, it is in agreement with a model of synchrotron emission from accelerated electrons
which then undergo cooling above some break energy. We simplify the picture slightly by taking
the photon spectra to be a broken power law, with the normalization chosen such that the fluence
integral matches that fit by the Band function.
3
This class of supernovae are known as hypernovae and are characterized by smooth spectra, higher than usual
energy, and strong radio emission.

17
dN(E
γ
)
dE
γ
= f
γ
×


?
γ
り β
γ
)
γ
E
り α
γ
γ
for E
γ
< ?
γ
E
り β
γ
γ
for E
γ
≥ ?
γ
(2.1)
F
γ
=
?
dE
γ
E
γ
dN(E
γ
)
dE
γ
(2.2)
where F
γ
is the measured photon fluence. The break energy varies for each burst, but has a typical
value of ?
γ
∼ 250 keV
4
. Long bursts tend to have spectral indices scattered around α
γ
∼ 1 and β
γ
∼ 2
while short GRBs are harder by one power in energy on average.
Figure 2.4: Lightcurves for several gamma-ray bursts. Note that all bursts exhibit unique
temporal characteristics and some have short timescale variability. (from [25])
4
We note that the Swift detector (see section 4.1.1) is transparent to γ-rays above 150 keV and thus does not detect
the spectral break for the majority of GRBs it observes.

18
2.2.2 Compactness
GRBs experience variability on millisecond timescales (see Fig.2.4). The finite speed of light
places constraints on the source size. For a source of diameter d, any temporal variability of scale
smaller than ∆t ∼
d
c
will be smeared out by delays in travel time. This means that the compact
progenitor must satisfy:
R
GRB
?
c∆t
2
(2.3)
For observed timescales of ∆t ∼ 0.01 s, this gives a characteristic radius of R
GRB
? 1500 km.
For comparison, the radius of a neutron star is typically ∼ 12 km. In the case that the compact object
is a black hole, the source size can be defined by the Swartschild radius:
R
Swartschild
=
2GM
c
2
(2.4)
This relation yields an upper limit to the possible source mass of a GRB progenitor, supposing that
it is a black hole.
M<
c
2
R
GRB
G
∼ 2 × 10
33
kg ∼ 1000M
?
(2.5)
The isotropic distribution observed by BATSE (see Fig. 2.3) implies that GRBs are cosmo-
logical in nature. Coupled with the measured fluences F
γ
and the standard Λ
CDM
cosmology, this
leads to high corresponding energies at the source, E
iso
γ
, of ∼ 10
51
り 10
54
ergs. Given that GRBs have
durations spanning from 0.1 s to >100 s, this results in luminosities, L
iso
γ
of ∼ 10
49
り 10
52
erg/s. Here
we assume isotropic emission of the energy. If we take the typical photon energy in a GRB to be ?
γ
5
then we can determine the number density of photons in the source:
n
γ
=
L
iso
γ
4πR
2
c ?
γ
(1 + z)
≈ 1.5 × 10
30
cm
り 3
(2.6)
The above implies that the photons should be thermalized due to the high optical depth of the
5
This is reasonable given that emission tends to peak at the break energy, and that most of the photons will be
emitted at the peak.

19
plasma, which is at odds with the observed high energy emission well above the pair production
threshold. This is known as the compactness problem.
In order to resolve this apparent crisis, we note that given the mass limit imposed by Eq. 2.5
and the observed luminosities of O(10
52
) erg/s, the progenitor far exceeds the Eddington limit and
thus must drive a wind from the surface. We consider the case that the expansion is highly relativistic
and thus the photons will appear to be emitted in a cone of opening angle θ due to aberration. The
geometry is illustrated in Fig. 2.5. The observed time delay between spectral features is now given
by
∆t
obs
=
∆t(c り v cos θ)
c
(2.7)
θ
v
Δ
t (c -
v
cos
θ)
Δ
t
v
cos
θ
Δ
tc
Figure 2.5: Effect of relativistic aberration on time variability. The relativistically ex-
panding plasma is beamed into an opening angle θ. An observer situated along the line of
sight will observe a different time between spectral features than is intrinsic to the source.
We write the expansion velocity v in terms of the Lorentz factor 㡇 and Taylor expand (assuming
large 㡇) to get
v ≈ (1 㡇
1
2㡇
2
)c
(2.8)
Similarly, the opening angle will be small so the same technique may be applied. Combining terms
yields

20
∆t
obs
≈ ∆t
?
1
2㡇
2
+
θ
2
2
?
(2.9)
Since the beaming angle θ is inversely related to the Lorentz factor, we arrive at
∆t
obs
?
∆t
2
(2.10)
R
GRB
≈ c∆t
obs
2
(2.11)
Similarly, the intrinsic luminosity of the GRB is reduced by a factor 㡇
3
and the individual pho-
ton energies by a factor 㡇. We determine that the plasma becomes optically thin for 㡇
> 100.
Such a Lorentz factor also places the bulk of photons below the pair production threshold. Direct
measurements by Molinari et al. [38] give 㡇 ∼ 400.
2.2.3 Emission Mechanism
Assuming now an outflow with 㡇 ≥ 100, the jet must collide with the ISM and slow down.
While this external shock may account for observed afterglow emission, the time and distance scales
on which it occurs preclude it from being the cause of the prompt emission as it cannot produce
the observed temporal variability. We turn instead to internal shocks within the jet. While the jet
moves with a bulk Lorentz factor 㡇, individual ejections from the progenitor will have varying speeds.
When faster shells overtake slower shells, shocks will occur. At these shock fronts, electrons may be
accelerated via the Fermi mechanism (outlined in section 1.1.1). Due to the shock compression of
the fluid and the high velocity of expansion, the acceleration is both very efficient and fast. These
electrons then emit photons via synchrotron (and perhaps inverse Compton) radiation, resulting in
the observed keV-GeV emission. Such an internal shock acceleration scenario both accounts for rapid
temporal variability as well as a power law energy spectrum. It is natural that protons would also
be accelerated in these shocks, potentially leading to neutrino production.

21
2.2.4 Collimated Emission - Reducing the Energy Budget
While the energy budget for GRBs is extreme, it may be reduced if the emission is collimated.
In this case, the required energy is reduced by a factor Ω/4π where Ω is the opening angle of
the collimated jet. This would be experimentally observable by a temporal break in the afterglow
emission. The reason for this break comes from the interaction between the relativistic beaming effect
and the intrinsic beaming of the jet. The highly relativistic outflow from the GRB is Lorentz-beamed
into an angle of 1/㡇. As the fireball propagates through the interstellar medium (ISM) it is slowed
and the bulk Lorentz factor decreases, thus increasing the beaming angle. At some point, the outflow
will have slowed enough such that 1/㡇 > Ω and a flux deficit will be observed as a steepening of the
spectra. This jet break has a unique signature in several ways. First, it is achromatic - that is, since
it is a purely hydrodynamic effect, it affects all wavelengths equally. Second, it does not impact the
physics of the burst itself, so no effect on the electron or photon spectral index is expected. Further
details may be found in [39, 40].
Clear evidence of multi-color optical breaks with consistent radio data was observed in the
case of GRB990510 [41], among others (see Fig. 2.6). Based on the observed temporal jet breaks for
a sample of several tens of bursts, Frail et al. [42] and Bloom et al. [43] calculated the corresponding
jet collimation angles and GRB energies. They found that all GRBs in the sample were narrowly
clustered around emission energies of E
γ
∼ (5×10
50
㡇 1.3×10
51
ergs, as seen in Fig. 2.7. Thus, GRBs
have an energy budget on par with bright Supernovae, suggesting a correlation, and the observed
variances in luminosity and fluence can be attributed to differences in the jet opening angle rather
than intrinsic properties. Furthermore, this suggests that the true rate of GRBs is much higher, as
we only observe bursts with collimated emission along line of sight.
While the idea of beamed emission is attractive in that it reduces the energy budget of GRBs
to levels more in line with other astrophysical phenomena (e.g. supernovae), recent data calls these
conclusions into question. It was expected that Swift, with its multi-wavelength observational capa-
bilities, would measure jet breaks for many GRBs. This has not turned out to be the case however,
with very few bursts displaying temporal breaks that are consistent with the jet break model. The
current experimental and theoretical status of jet breaks is more fully covered in [44].

22
–5–
Fig. 1.— Optical light-curves of the transient afterglow of GRB 990510. In addition to
photometry from our group (filled symbols – see Table 1), we have augmented the light
curves with data from the literature (open symbols). The photometric zero-points in Landolt
V -band from our group are consistent with that of the OGLE group (Pietrzynski & Udalski
1999b) and the I -band zero-point is from the OGLE group. Some R-band measurements
were based on an incorrect calibration of a secondary star in the field (Galama et al. 1999)
and we have recalibrated these measurements.
Figure 2.6: Observation of achromatic jet breaks in GRB990510. The wavelength inde-
pendence of the break times agrees with the jet break model. (from [41])

23
20
Figure 3. The distribution of the apparent isotropic γ -ray burst energy of GRBs with known
redshifts (top) versus the geometry-corrected energy for those GRBs whose afterglows exhibit the
signature of a non-isotropic outflow (bottom). The mean isotropic equivalent energy ?E
iso
(γ )? for
17 GRBs is 110 × 10
51
erg with a 1-σ spreading of a multiplicative factor of 6.2. In estimating the
mean geometry-corrected energy ?E
γ
? we applied the Bayesian inference formalism
60
and modified
to handle datasets containing upper and lower limits.
61
Arrows are plotted for five GRBs to indicate
upper or lower limits to the geometry-corrected energy. The value of ?log E
γ
? is 50.71±0.10 (1σ) or
equivalently, the mean geometry-corrected energy ?E
γ
? for 15 GRBs is 0.5 × 10
51
erg. The standard
deviation in log E
γ
is 0.31
+0.09
㡇 0.06
, or a 1-σ spread corresponding to a multiplicative factor of 2.0.
Figure 2.7: Calibrated GRB energy in the case of beamed emission. Upper panel shows
calculated isotropic equivalent energy for GRBs with measured redshift. Lower panel
shows energy after taking into account jet collimation angle Ω calculated from jet break
times. (from [42])

24
2.3 Neutrino Production
If hadrons (typically protons) are accelerated along with electrons in the fireball phenomenol-
ogy described above, neutrinos will be produced due to subsequent interactions. The energy spectra
of these neutrinos will depend on the environment and type of these interactions.
2.3.1 Prompt Neutrinos
Waxman and Bahcall showed that protons may interact with the internal shock prompt emis-
sion gamma-rays to produce pions via the delta resonance [45].
p + γ → ∆ → n + π
+
(2.12)
→ p + π
0
(2.13)
Charged pions decay to neutrinos and associated leptons, while neutral pions produce high energy
photons
6
.
π
+
→ µ
+
+ ν
µ
(2.14)
µ
+
→ ν¯
µ
+ e
+
+ ν
e
(2.15)
π
0
→ γ + γ
(2.16)
These processes result in a neutrino flavor ratio at the source of (ν
e
, ν
µ
, ν
τ
) =(1:2:0)
7
.
Eq. 2.12 indicates that the produced neutrino spectra should track the γ-ray spectra of Eq. 2.1,
as the combined center of mass energy of the interacting proton and photon must exceed the threshold
for production of the ∆-resonance:
6
This TeV-scale gamma emission is the target of GRB searches by Imaging Air Ceˇ renkov Telescopes such as MAGIC
as well as surface arrays such as MILAGRO.
7
Here, and in the rest of this thesis, we treat neutrinos and antineutrinos equally. The minor differences in cross-
section are taken into account in signal weighting but we shall not explicitly differentiate.

25
E
?
p
m
2
㡇 m
2
p
4E
?
γ
(2.17)
where primes indicate the co-moving frame of the fireball. We estimate that each of the four final
state particles in the π
+
decay chain given by Eqs. 2.12 and 2.14 contains equal energy, and that
on average, a fraction ?x
p→π
? ? 0.2 of the proton energy is transferred to pions in each interaction.
Thus each neutrino is expected to possess ∼ 5% of the proton energy.
The condition of Eq. 2.17 indicates that interactions of protons with high energy photons will
produce lower energy neutrinos, and vice versa. For each proton energy, then, the neutrino spectrum
traces the broken power law of Eq. 2.1. Assuming protons are accelerated with the same spectrum
as electrons, we then sum over proton energies to find the resultant neutrino spectra.
dN(E
ν
)
dE
ν


E
㡇 α
ν
ν
for E
ν
< ?
b
ν
; α
ν
=3 㡇 β
γ
E
㡇 β
ν
ν
for ?
b
ν
≤ E
ν
< ?
s
ν
; β
ν
=3 㡇 α
γ
(2.18)
We relate the break in the neutrino spectrum to that of the observed photons by converting
Eq. 2.17 to the observer’s frame.
?
b
ν
=
1
4
?x
p→π
?
m
2
㡇 m
2
p
4?
γ
2
(1 + z)
2
= 7.5 × 10
5
GeV
1
(1 + z)
2
?
10
2.5
?
2
?
MeV
?
γ
?
(2.19)
At high energy, the lifetime of the produced pions and muons τ
?
π,µ
exceeds the synchrotron
loss time t
?
s
. This introduces a further cooling break into the neutrino spectrum. t
?
s
is dependent on
the energy density of the magnetic field in the jet, U
?
B
= B
?2
/8π, and for pions is given by:
t
?
s
=
3m
4
π
c
3
T
m
2
e
E
?
π
U
?
B
(2.20)
where σ
T
= 0.665 × 10
㡇 24
cm
2
is the Thompson cross-section. The magnetic energy density can be

26
related to the fraction of the internal energy of the plasma that is carried by the magnetic field. We
denote this fraction by ξ
B
and write
4πR
2
c㡇
2
U
?
B
= ξ
B
L
int
(2.21)
We determine the collision radius R by noting that the colliding shells of the jet have velocities that
vary by ∆v ∼ c/2㡇
2
, where, as previously, 㡇 represents the average Lorentz factor of the fireball.
Given the observed time variability t
var
, these shells then collide at a time t
c
∼ ct
var
/∆v, which
corresponds to a radius R ? 2㡇
2
ct
var
. The total luminosity is related to the observed photon
luminosity through the electron energy fraction of the jet, L
int
= L
iso
γ
e
. [46, 47]
The pion lifetime is given by
τ
?
π
= τ
0
π
E
?
π
m
π
c
2
= 2.6 × 10
㡇 8
E
?
π
m
π
c
2
(2.22)
Equating Eq. 2.20 with Eq. 2.22 yields the pion energy where synchrotron losses begin to suppress
the neutrino emission. Recalling the each ν
µ
carries 1/4 of the pion energy, and converting to the
observer’s frame, we find
?
s
ν
= 10
7
GeV
1
1+ z
?
ξ
e
ξ
B
?
10
2.5
?
4
?
t
var
0.01 s
?
?
10
52
erg/s
L
iso
γ
(2.23)
We note that in the above the equipartition fractions ξ
e
and ξ
B
are not measured and no good
theoretical method exists for estimating them. We set them each to be 0.1 in all future calculations.
This estimate is supported by afterglow observations [48]. Muons live about 100 times longer and
thus the energy scale at which their decay products (ν¯
µ
and ν
e
) begin to be suppressed is a factor of
10 lower. The decay probability is approximately given by the ratio of the cooling time to the decay
time t
?
s
?
∝ E
㡇 2
ν
and thus we expect the neutrino spectrum to steepen by 2 powers in energy above
?
s
ν
ν
= β
ν
+ 2). Combining with Eq. 2.18 we arrive at

27
dN(E
ν
)
dE
ν
= f
ν
×


?
b
ν
ν
㡇 β
ν
)
E
㡇 α
ν
ν
for E
ν
< ?
b
ν
E
㡇 β
ν
ν
for ?
b
ν
≤ E
ν
< ?
s
ν
?
s
ν
ν
㡇 β
ν
)
E
㡇 γ
ν
ν
for E
ν
≥ ?
s
ν
(2.24)
It now remains to determine the normalization f
ν
. The neutrino fluence is proportional to the
measured gamma-ray fluence F
γ
?
dE
ν
E
ν
dN(E
ν
)
dE
ν
= x ·
?
dE
γ
E
γ
dN(E
γ
)
dE
γ
= x · F
γ
(2.25)
The constant of proportionality x contains several terms. It includes the fraction of jet proton energy
lost to pion production f
π
, a factor 1/f
e
that accounts for the fraction of total energy expected in
protons respective to electrons, and a factor 1/8. This final term is due to the fact that only half of
the photomeson interactions produce neutrinos (the others produce π
0
) and each of those reactions
creates four final state leptons. f
π
can be estimated from the size of the shocks and the mean free
path for photomeson interactions.
f
π
∆R
?
λ
= N
int
(2.26)
The number of interactions is related to the photon energy density which is in turn a function of the
GRB luminosity in the comoving frame
8
. We follow the derivation of [46] and reformulate to ensure
an energy transfer ≤ 1:
f
π
= 1 㡇 (1 㡇 ? x
p→π
?)
N
int
(2.27)
N
int
=
L
iso
γ
10
52
erg/s
?
?
0.01 s
t
var
? ?
10
2.5
?
4
?
MeV
?
γ
?
(2.28)
8
Here we note that we assume isotropic emission, but also divide by a spherical shell. In the case of beamed emission,
the luminosity decreases, but cancels with the decreased solid angle.

28
An analytical approximation of the integration over neutrino energies yields a simple relationship
between the neutrino flux normalization and the gamma-ray fluence.
f
ν
1
8
1
f
e
f
π
ln(10)
F
γ
(2.29)
A quasi-diffuse flux may be determined by summing over all bursts in a year and dividing by
the full sky solid angle. This was done by Waxman and Bahcall, assuming each GRB followed a
spectrum calculated from averages of the BATSE population [49]. Assuming 1000 GRBs per year
based on the BATSE rates, they calculated the diffuse flux shown in Fig. 2.8. This will hereafter be
referred to as the Waxman-Bahcall prompt GRB flux. The normalization is comparable to what one
would get assuming that all the ultra-high energy cosmic rays originate from GRBs. The average
parameters used in this calculation are shown in Table 2.1.
reduction of the flux happens above E
sb
π
[Eq. 23] due to
synchrotron radiation by pions.
3456789
?13
?12
?11
?10
?9
?8
?7
WB Limit
ICECUBE
burst
pp
p
γ
(head)
p
γ
(shocks)
p
γ
(head)
ν
μ
flux (10
3
bursts/yr)
atmospheric
ν
[log10(GeV/cm s sr)]
2
E [log10(GeV)]
op
ε
E
2
ν
Φ
ν
−1
(stellar)
pp (shocks)
He
H
FIG. 1: Diffuse muon-neutrino flux E
2
ν
Φ
ν
ε
㡇 1
op
, shown as solid
lines, from sub-stellar jet shocks in two GRB progenitor mod-
els, H (r
12.5
) and He (r
11
), each for two sets of shock/jet radii
and overlying envelope masses (with similar curves for ν
µ
, ν
e
and ν
τ
). These neutrinos arrive as precursors (10-100 s be-
fore) of γ -ray bright (electromagnetically detectable) bursts,
or as the sole signal in the case of γ -ray dark bursts. Also
shown is the diffuse neutrino flux arriving simultaneously with
the γ -rays from shocks outside the stellar surface in observed
GRB (dark short-dashed curve); the Waxman-Bahcall (WB)
diffuse cosmic ray bound (light long-dashed curves); and the
atmospheric neutrino flux (light short-dashed curves). For a
hypothetical 100:1 ratio of γ -ray dark (in which the jets do not
emerge) to γ -ray bright collapses, the neutrino fluxes would
be 100 times higher than those plotted here.
and this might serve as a diagnostic of the sub-surface jet
depth (or the overlying material). For a solar mass above
the jet head (distributed over 4
νN interactions becomes larger than unity at energies
E
ν
? 2.5 × 10
11
GeV in the H case and
GeV in the He case (seen as a cut-off in the lower set of
He curves). Typically 80% of the
to the secondary lepton:
to ν’s, however, they are subject to severe synchrotron
and inverse Compton losses and do not contribute sub-
stantially to lower energy flux.
The diffuse fluxes are based on a conservative estimate
of the source density from the observation that
GRB are known to occur per year over the entire sky,
based on γ-ray detections. If these are attributed to mas-
sive stellar collapses, each GRB should be preceded by
neutrino percursor events, starting tens of seconds (typ-
ically ∼ 30 s [8]) before the
flux from all of these (
given by the solid curves in Fig. 1. (Considering mass-
mixing along the way to Earth from
of flavors as observed from earth should become unity).
The number of neutrino bursts and correspondingly the
diffuse neutrino flux may be up to a factor 100
than what is shown in Fig. 1, if the ratio of the number
of buried jets which do not emerge (
to that of those which do emerge is 100
The number of muon neutrino events, in a km
tector (IceCube [14] e.g.), from a single GRB at redshift
z = 1 with buried jet of duration ∆
0.003 in the r
12.5
(H) and in the
Figure 2.8: Diffuse muon neutrino flux predictions for the prompt and precursor emis-
sion phases. 1000 GRBs/yr. are assumed. Black dashed-line indicates the prompt flux
calculated with average parameters measured by BATSE. Solid black lines correspond
to precursor neutrino predictions for progenitors with a hydrogen envelope (H) and no
envelope (He) for varying shock and jet radii. Fluxes are shown at the source and will be
reduced by a factor of 2 at Earth due to oscillations. (from [50])

29
Photon Parameter Average Value
z
1
?
γ
1 MeV
α
γ
1
β
γ
2
?
b
ν
10
5
GeV
?
s
ν
10
7
GeV
L
iso
γ
10
52
erg/s
315
t
var
0.01 s
ξ
e
0.1
ξ
B
0.1
f
e
0.1
Table 2.1: Average parameters used to calculate the Waxman-Bahcall diffuse GRB neu-
trino flux for the prompt emission phase.
2.3.2 Precursor Neutrinos
The relativistic jets that are thought to be responsible for the prompt photon emission of
GRBs must first penetrate the sub-stellar environment of the progenitor. In this region, no photon
emission is expected as the star is highly optically thick. However, shock-accelerated protons may
interact with thermalized photons and nucleons of the jet as well as with cold nucleons in the stellar
plasma to produce neutrinos [50]. This so-called precursor emission occurs at smaller radii and lower
Lorentz factors than the observed prompt photons.
Neutrinos from pγ interactions both in the jet and in the surrounding plasma will be highly
suppressed due to the extreme magnetic fields of the progenitor and the subsequent synchrotron losses
of pions and muons. On the other hand, pp interactions in the unshocked plasma will not be affected
in this way. Assuming a proton injection spectrum with an E
㡇 2
power law, Razzaque et al. performed
detailed simulations of the pp interactions both at the jet head and in the shocks, taking into account
synchrotron as well as inverse Compton losses in order to determine the resulting neutrino flux. This
spectrum cuts off at the energy threshold for pion/kaon production above which no neutrinos from pp
interactions are expected. However, above the ∆ resonance threshold, the suppressed pγ interactions
begin to play a small role. The resulting diffuse flux can be seen in Fig. 2.8 for several progenitor

30
types and sizes. Further details of the calculations can be found in [50, 51].
2.3.3 Afterglow Neutrinos
X-ray, optical, and radio afterglows have been observed in association with many GRBs. In
the standard picture, these are the result of collisions of the expanding fireball with the circumburst
matter. It has been proposed that the low energy photons are then created via synchrotron radiation
of electrons accelerated in shocks moving inwards. These photons are observed to follow a power
law spectrum which steepens on average by a power of 1/2 above a break energy determined by
the relation between the synchrotron cooling time and the expansion time of the ejecta [51]. These
spectral indices vary between bursts, but are scattered around average values of α
x
∼ 3/2 and β
x
∼ 2.
In the hadronic picture, these mildly-relativistic reverse shocks will also accelerate protons
to ultra-high energies [52]. Following the same processes as in the prompt emission scenario, these
protons will interact with the afterglow photons to produce neutrinos. However, since the reverse
shocks happens at large radii of ∼ 10
17
cm, we do not expect significant synchrotron losses of pions
and muons. In this case, assuming the average photon spectra above, the neutrinos can be described
as
dN
a
(E
ν
)
dE
ν
= A
a
ν
×


E
㡇 1
ν
for E
ν
< ?
b
ν
E
㡇 3/2
ν
for E
ν
≥ ?
b
ν
(2.30)
The break energy ?
b
ν
is related to the photon break energy via Eq. 2.19 and for the observed afterglow
cooling breaks of 0.1 㡇 1 keV, we have
?
b
ν
= (0.7 㡇 7) · 10
9
(1 + z)
㡇 2
GeV
(2.31)
In [52], ?
b
ν
is fixed at 10
8
GeV and A
a
ν
is determined to be 10
㡇 10
GeV cm
㡇 2
s
㡇 1
sr
㡇 1
by assuming that
the observed flux of ultra high energy cosmic rays is due entirely to GRBs. Neutrinos of energy up to
∼ 10
19
eV could be produced, although strong suppression is expected above this energy as protons

31
are not observed above ∼ 10
20
eV.
2.4 Neutrino Oscillation
Solar Neutrinos were first detected by the Homestake experiment in the late 1960s, using a
large tank of chlorine to capture solar ν
µ
[53, 54]. However, only 1/3 of the neutrinos predicted by
the solar model were detected, leading to the well known “solar neutrino problem”. This was solved
by the Sudbury Neutrino Observatory in 2001 with an experiment that measured the total solar
neutrino flux over all flavors. [55] This was direct evidence of the oscillation between neutrino flavors
that would occur if the neutrinos were massive.
The mass eigenstates are mixed via the Maki-Nakagawa-Sakata (MNS) matrix to produce the
flavor eigenstates:
ν
e
ν
µ
ν
τ
c
12
c
13
s
12
c
13
s
13
e
㡇 iδ
㡇 s
12
c
23
㡇 c
12
s
23
s
13
e
c
12
c
23
㡇 s
12
s
23
s
13
e
s
23
c
13
s
12
s
23
㡇 c
12
c
23
s
13
e
㡇 c
12
s
23
㡇 s
12
c
23
s
13
e
c
23
c
13
ν
1
ν
2
ν
3
(2.32)
where c
ij
= cos θ
ij
and s
ij
= sin θ
ij
. The phase δ is non-zero in the case that the oscillation is
CP violating. The mass eigenstates propagate in time as plane waves. Since time and length are
equivalent, we may write
i
(L)? = e
㡇 im
2
i
L/2E
i
(0)?
(2.33)
and since these eigenstates have different masses, they will propagate at different speeds. Because
they are superpositions of the flavor eigenstates, this will cause interference between those flavor
states, leading to oscillation over the propagation length. The probability that a neutrino of flavor α
will oscillate to a neutrino of flavor β is then given by
P
α→β
= |?ν
β
α
(t)?|
2
=
?
?
?
?
?
?
i
U
αi
U
βi
e
㡇 im
2
i
L/2E
?
?
?
?
?
2
(2.34)

32
where U
αi
indicates the MNS mixing matrix between those states. The solution in the full 3 fla-
vor/mass theory is complicated, but includes a term
sin
2
(
∆m
2
ij
L
4E
).
(2.35)
In the simpler case of a 2 neutrino theory (such as ν
µ
→ ν
τ
oscillation of atmospheric neutrinos,
where the involvement of ν
e
is very small), the mixing between flavors is given by
P
α→β
= sin
2
2θ sin
2
?
∆m
2
L
4E
?
(2.36)
where θ and ∆m
2
are the respective quantities in the 2 neutrino theory.
Cosmological baselines ensure that oscillation occurs and it can be shown that this typically
leads to a conversion of the (1:2:0) source flavor ratio to a flavor ratio at earth of ∼ (1:1:1) [56].
However, Kashti and Waxman showed that π and µ energy losses modify this flavor ratio to (1:1.8:1.8)
at high energies [57]. This conversion takes place over several decades in energy and for GRBs typically
occurs between 100 TeV and 1 PeV.

33
Chapter 3
Neutrino Detection and Reconstruction
3.1 Interaction
Neutrinos have extremely low cross-sections and interact only rarely via the weak force, even
at high energies [58]. Sometimes, however, a high energy neutrino will interact with an ice or rock
nucleus in or near the detector volume through the charged current interaction
ν
l
+ N → l + X
(3.1)
where X is the nuclear remnant.
1
The rate of these interactions depends on energy and angle
of incidence, as shown in Fig. 3.1.
For the analyses presented in this thesis, we consider the case where the daughter lepton of
Eq. 3.1 is a high energy muon. Such daughter muons are highly relativistic and will deviate only
slightly in direction from the primary, with an angular offset given by ψ = 0.7
× (E
ν
/TeV)
㡇 0.7
[59].
At the energies of primary interest (∼ 100 TeV), muons have a range of about 10 km [60]. This has
the fortuitous effect of vastly increasing the effective area of any detector built to view these muons,
as they need not originate in the instrumented volume, merely pass through it.
1
Neutral current interactions also take place, but these create very different signatures (cascades) in the detector
and are outside the scope of this thesis.

34
FIGURES
FIG. 1. Cross sections for ν
N interactions at high energies, according to the CTEQ4–DIS
parton distributions: dashed line, σ(ν
N → ν
+ anything); thin line, σ(ν
N → ℓ
+ anything);
thick line, total (charged-current plus neutral-current) cross section.
0.7
0.8
0.9
1.0
1.1
10
1
10
3
10
5
10
7
10
9
10
11
σ
cc
(CTEQ4D)/
σ
cc
(CTEQ3D)
E
ν
[GeV]
FIG. 2. Ratio of the charged-current cross section shown in Figure 1, calculated using the
CTEQ4–DIS parton distributions, to the charged-current cross section of Ref. [12] calculated using
the CTEQ3–DIS parton distributions.
28
FIG. 3. Cross sections for ν¯
N interactions at high energies, according to the CTEQ4–DIS
parton distributions: dashed line, σ(ν¯
N → ν¯
+ anything); thin line, σ(ν¯
N → ℓ
+
+ anything);
thick line, total (charged-current plus neutral-current) cross section.
FIG. 4. Cross sections for ν
N interactions at high energies, according to the CTEQ4–HJ
parton distributions: dashed line, σ(ν
N → ν
+ anything); thin line, σ(ν
N → ℓ
+ anything);
thick line, total (charged-current plus neutral-current) cross section.
1.00
1.05
1.10
1.15
1.20
10
1
10
3
10
5
10
7
10
9
10
11
σ
cc
(CTEQ4HJ)/
σ
cc
(CTEQ4D)
E
ν
[GeV]
FIG. 5. Ratio of the charged-current cross section shown in Figure 4, calculated using the
CTEQ4–HJ parton distributions, to the charged-current cross section of Figure 1 calculated using
the CTEQ4–DIS parton distributions.
29
FIG. 6. Interaction lengths for neutrino interactions on nucleon targets: dotted line,
charged-current interaction length; dashed line, neutral-current interaction length; solid line, total
interaction length, all computed with the CTEQ4–DIS parton distributions. The dot-dashed curve
shows the charged-current interaction length based on the EHLQ structure functions with Q
2
held
fixed at Q
2
0
= 5 GeV
2
.
FIG. 7. Interaction lengths for antineutrino interactions on nucleon targets: dotted line,
charged-current interaction length; dashed line, neutral-current interaction length; solid line, total
interaction length, all computed with the CTEQ4–DIS parton distributions.
FIG. 6. Interaction lengths for neutrino interactions on nucleon targets: dotted line,
charged-current interaction length; dashed line, neutral-current interaction length; solid line, total
interaction length, all computed with the CTEQ4–DIS parton distributions. The dot-dashed curve
shows the charged-current interaction length based on the EHLQ structure functions with Q
2
held
fixed at Q
2
0
= 5 GeV
2
.
FIG. 7. Interaction lengths for antineutrino interactions on nucleon targets: dotted line,
charged-current interaction length; dashed line, neutral-current interaction length; solid line, total
interaction length, all computed with the CTEQ4–DIS parton distributions.
30
Figure 3.1: Upper panels show the νN and ν¯N cross-sections for all flavors as a function
of energy. Dashed line, neutral current interactions; thin solid lines, charged current inter-
actions; thick solid line, total. The curves in these figures are calculated from the CTEQ4
parton distribution functions, however we use updated cross-sections using CTEQ6 in our
analyses. The lower panels show the energy dependent decrease in the interaction length
(in units of cm water equivalent). Dotted line, charge current; dashed line, neutral cur-
rent; solid line, total interaction length. Ignore the dot-dashed line in the lower left panel.
The diameter of the Earth is 1.1 × 10
10
cmwe, so above 40 TeV, vertical events begin to be
attenuated. As energy increases, one must shift angle towards the horizon to compensate
for this earth absorption effect. (from [58])

35
3.2 Ceˇ renkov Radiation
When a charged particle travels through some transparent medium (e.g. water or ice) at a
velocity exceeding the speed of light in that medium
2
, a characteristic radiation is emitted [62, 63].
This radiation is the result of transitions to ground state of atoms excited by the electromagnetic
field of the passing particle. Due to constructive interference, it is emitted in a cone of opening angle
cos θ
c
=
1
βn(λ)
(3.2)
where β is the ratio of the particle velocity to that of light in vacuum and n is the wavelength
dependent refractive index of that medium [64] (see Fig. 3.2). For ice, we have n = 1.31, and β is
taken to be 1 for very high energy particles, thus the opening angle of the emitted Ceˇ renkov cone
is θ ∼ 41
. The arrival time of light in the detector may be used to reconstruct this cone and thus
determine the direction of the incoming particle.
θ
c
μ
c
t
/
n
β
ct
Figure 3.2: Schematic illustrating the characteristic conical opening angle of Ceˇ renkov
radiation.
The number of emitted photons per unit length is dependent on the wavelength and is give by
the Frank-Tamm formula [64]:
2
The full treatment considers the difference between the phase and group velocities in the medium and introduces
a small angular difference, which we neglect. This approximation was shown to be valid for AMANDA and IceCube
in [61].

36
d
2
N
dxdλ
=
2παz
2
λ
2
sin
2
c
(λ))
(3.3)
Here we denote the fine structure constant as α, and explicitly note the wavelength dependence
of the Ceˇ renkov angle. As the number of emitted Ceˇ renkov photons is strongly wavelength dependent,
we expect the emission to peak in the blue, around 400 nm. The glass typically used in detectors has
a UV cutoff near 300 nm (see Chapter 4 and Fig. 4.5(b)) and ice begins to lose transparency above
about 500 nm (see Section 3.5. We integrate Eq. 3.3 over this wavelength range and find that we
expect about 200 photons per cm to be emitted along the track.
3.3 Muon Energy Losses
Particles traveling through a medium generally experience energy losses of the form
dE
dx
= A(E) + B(E)E.
(3.4)
The first term dominates at low energies where losses are due to ionization and excitation.
The ionization losses are in most cases given by the Bethe-Bloch formula [65]:
dE
dx
=
z
2
e
4
N
e
4π?
2
0
m
e
c
2
β
2
?
ln
?
2m
e
c
2
β
2
I
¯(1
㡇 β
2
)
?
㡇 β
2
?
(3.5)
where z is the charge, N
e
is the electron number density of the target, and I
¯
is the mean ionization
potential of the target. However, in the case of highly relativistic particles, such as the muons created
by astrophysical neutrinos, we cannot ignore the back-reaction of the target electrons on the field of
the moving particle. Jackson [66] gives a good treatment of this effect, with the net result being that
energy losses due to ionization are somewhat smaller at high energies than Eq. 3.5 would indicate.
The second term in Eq. 3.4 dominates as energy increases. The radiative processes making
up this term are stochastic in nature and include Bremsstrahlung, photonuclear interactions, and
e
+
e
pair production. In all cases, secondary particles are created which are still highly relativistic
and emit Ceˇ renkov radiation in their own right. This enhances the radiation of the bare muon and
allows for the possibility of energy reconstruction in a neutrino detector. Fig. 3.3 shows the relative

37
contributions to the energy loss as the muon energy increases. Stochastic losses begin to dominate
around 1-10 TeV.
dreds of interactions along their way. Figure 6 is one of the e
strate that it is sufficient: the final energy distribution did not change after enabling
parametrizations. Moreover, different orders of the interpolation algorithm (
responding to the number of the grid points over which interp
tested (Figure 9) and results of propagation with different
g
other (Figure 10). The default value of
g
was chosen to be 5, but can be changed to
other acceptable values
3 ≤
g
≤ 6
at the run time.
ioniz
brems
photo
epair
decay
energy
[GeV]
energy losses
[
GeV/(g/cm
2
)
]
10
-10
10
-9
10
-8
10
-7
10
-6
10
-5
10
-4
10
-3
10
-2
10
-1
1
10
10
2
10
3
10
4
10
5
10
6
10
-1
1 10 10
2
10
3
10
4
10
5
10
6
10
7
10
8
10
9
10
10
10
11
precision of parametrization (total)
10
-10
10
-9
10
-8
10
-7
10
-6
10
-5
10
-4
10
-3
10
-2
10
-1
1
10
-1
1 10 10
2
10
3
Fig. 7. Ionization (upper solid curve),
bremsstrahlung (dashed), photonuclear
(dotted), epair production (dashed-dot-
ted) and decay (lower solid curve) losses
in ice
Fig.
8.
Interpolation
precision
(e
pa
㡇 e
np
)/e
pa
g=2
g=3
g=4
g=5
relative error in parametrization of energy losses
-9
10
-8
10
-7
10
-6
10
-5
10
-4
10
-3
10
-2
10
-1
1
g=5
g=3
number of muons per TeV
10
10
2
10
3
10
4
10
5
0 10 20 30 40 50 60 70 80 90 100
Figure 3.3: Muon energy loss in ice as a function of energy. Stochastic processes dominates
above ∼ 1 TeV. In this regime, the detectable Ceˇ renkov photons increase proportional to
the energy of the muon, and energy reconstruction becomes possible. (from [67])
3.4 Backgrounds
The principles of detecting the muons induced by astrophysical neutrinos are straightforward,
and given a large enough detector, one should be able to see a signal. However, the backgrounds are
daunting. High energy cosmic rays bombarding the atmosphere interact with nucleons to produce
extensive air showers. These large cascades contain both hadronic and leptonic components. The
decay lengths of these particles depend both on type and on energy. Charm mesons have exception-
ally short decay lengths, and they quickly convert into prompt atmospheric neutrinos. This flux is
expected to closely follow the E
㡇 2.7
power law of the incident cosmic rays, though the normalization

38
is highly uncertain due to lack on knowledge of the relevant cross-sections. We typically use the
Naumov RQPM model [68] as it gives the most conservative estimates.
Kaons and pions have longer decay lengths and often interact in the atmosphere before decay-
ing. In the case that they do decay, however, they produce the conventional atmospheric neutrinos:
π
+
(K
+
) → µ
+
+ ν
µ
(3.6)
π
(K
) → µ 㡇 ++ ν¯
µ
(3.7)
Due to partial disappearance in the atmosphere, conventional neutrinos follow a steepened E
㡇 3.7
power law. Some of the muons of Eq. 3.7 also decay to neutrinos, but many more penetrate the
earth. At high energies these atmospheric muons can travel for many kilometers before ranging out,
and many reach the detector.
Both atmospheric muons and neutrinos are produced isotropically over the whole sky. However,
only the neutrinos reach the detector from all angles. Muons are absorbed as the Earth travel distance
increases, dropping to zero at the horizon (see Fig. 3.4). It is instructive here to take a moment to
define our detector coordinate system. The horizon is taken to be the boundary between muon
contaminated and muon free regions of the sky and is assigned a zenith angle of 90
. For a detector
located at the south pole, particles from the southern sky are said to be downgoing (below the
horizon, zenith 0㡇 90
), while those from the northern sky are said to be upgoing (above the horizon,
zenith 90 㡇 180
). In the downgoing region, muons dominate neutrinos by a factor 10
6
. We therefore
typically use the Earth as a filter and concentrate on searches in the northern sky, where the sole
remaining background is atmospheric neutrinos. Fig 3.5 demonstrates the principle.
If we had perfect knowledge of each particle, we would then only have to deal with separating
the softer spectrum isotropic atmospheric neutrinos from the the higher energy GRB neutrinos that
come from known directions at specific times. However, our reconstructions are not perfect, and
about 0.1% of atmospheric muons are misreconstructed as upgoing tracks. This means that the
muon background still dominates neutrinos by a factor 10
3
. Furthermore, there exists a particular
class of event where a pair of downgoing muons arrive in space and time such that they produce

39
μ
Angular Distribution for AMANDA-II
cos
θ
I
μ
(cm
-2
sec
-1
sr
-1
)
AMANDA-II (this work)
Monte Carlo (CORSIKA)
Sinegovskaya et al. (E
μ
20 GeV)
10
-9
10
-8
10
-7
0.2 0.3 0.4 0.5 0.6 0.7 0.8 0.9
1
Figure 3.4: The angular distribution of atmospheric muons. cos θ = 0 is the horizon, while
cos θ = 1 is vertically downgoing. (from [69])
Horizon
muon
muons
muon
Earth
atmosphere
GRB
cosmic ray
cosmic ray
cosmic ray
ν
ν
Figure 3.5: Use of the Earth as a filter for atmospheric muons. Above the horizon, only
neutrinos reach the detector.
a combined light pattern that mimics an upgoing track. This can occur when one muon skims the
bottom of the detector and shortly thereafter another passes through the top. We discuss the rejection
of these single and coincident muon backgrounds and the differentiation between atmospheric and
signal neutrinos in detail in Chapters 7 and 8.

40
3.5 Ice Properties
The glacial ice of the South Pole has a unique depth structure. Precipitation containing varying
amounts of particulate matter was deposited over geological time scales, creating horizontal layers in
the deep ice. These dust layers vary the absorption and scattering lengths of photons in the ice and
thus must be well understood to ensure accurate reconstruction. A detailed study was conducted to
map the structure of these layers [70] and a model of the ice called Millennium was constructed.
It was noticed, however, that the reconstruction techniques used in AMANDA, upon which this ice
model were fitted, introduced a systematic smearing in the dust layers. A deconvolution of this
smearing effect to produce a more realistic depth profile of the ice resulted in the AHA ice model.
This model also introduced clearer ice below the largest dust peak at 2050 meters in depth.
At the Ceˇ renkov emission peak of 400 nm, optical absorption is typically 110 m, and effective
scattering length is about 20 m. This is defined as
λ
eff
s
=
λ
s
(1 㡇 ? cos θ
s
?)
(3.8)
where λ
s
is the scattering length and θ
s
is the scattering angle [71]. For comparison, water in the
Mediterranean has an absorption length of ∼ 40 m and a scattering length of ∼ 130 m at similar
wavelengths [72]. Fig. 3.6 illustrates the optical properties of the ice enclosing both the AMANDA
and IceCube detectors.
3.6 Reconstruction
Given the detection principles outlined above, an ideal detector will consist of an array of
photomultiplier tubes (PMTs) to capture the Ceˇ renkov emission of daughter muons, instrumenting a
large volume in an optically clear medium. We present details of two such detectors, AMANDA and
IceCube, in Chapter 4. Assuming such an array, we now consider the question of how to reconstruct
the direction and energy of a neutrino-induced muon given the timing and amplitude information
collected by the full set of PMTs. A full treatment may be found in [71].
We let the parameters of the track be denoted by the set of values a and the measured quantities
by x. We then seek to maximize the likelihood that the set of x
i
can be explained by a given track a

41
w
a
v
e
l
e
n
g
t
h
(
n
m
)
1/λ
a
(m
-1
)
d
e
p
t
h
(m
)
w
a
v
e
l
e
n
g
t
h
(n
m
)
1/λ
s
eff
(m
-1
)
d
e
p
t
h
(
m
)
Figure 3.6: Optical properties of south pole ice as a function of wavelength and depth for
the AHA ice model. Upper panel depicts inverse absorption length. Lower panel depicts
inverse effective scattering length. The rapid increase in scattering above 1400 m indicates
the presence of air bubbles in the ice.

42
L(x|a) =
?
i
p(x
i
|a).
(3.9)
In the above p(x
i
|a) is the probability density function (PDF) for observing the value x
i
given a
hypothetical track described by a. Fig. 3.7 depicts a coordinate system where the track is described
by a vertex time, position and energy (t
0
, r
0
, E
0
) and a momentum p
ˆ
0
. The vertex is an arbitrary
point along the track. We assume a single, non-stopping muon creates the light pattern in the
detector.
3 Reconstruction Algorithms
The muon track reconstruction algorithm is a maximum likelihood procedure. Prior to
reconstruction simple pattern recognition algorithms, discussed in section 4, generate the
initial estimates required by the maximum likelihood reconstructions.
3.1 Likelihood Description
The reconstruction of an event can be generalized to the problem of estimating a set of
unknown parameters {a}, e.g. track parameters, given a set of experimentally measured
values {x}. The parameters, {a}, are determined by maximizing the likelihood L(x|a)
which for independent components x
i
of x reduces to
L(x|a) =
?
i
p(x
i
|a) ,
(2)
where p(x
i
|a) is the probability density function (p.d.f.) of observing the measured value
x
i
for given values of the parameters {a} [20].
θc
θc
OM
μ
d
x
Cherenkov light
t
0
,
0
, E
0
PMT-axis
η
p
r
r
i
Figure 3. Cherenkov light front: definition of variables
To simplify the discussion we assume that the Cherenkov radiation is generated by a
single infinitely long muon track (with β = 1) and forms a cone. It is described by the
following parameters:
a = (r
0
, t
0
, pˆ, E
0
)
(3)
and illustrated in figure 3. Here, r
0
is an arbitrary point on the track. At time t
0
, the
muon passes r
0
with energy E
0
along a direction pˆ. The geometrical coordinates contain
five degrees of freedom. Along this track, Cherenkov photons are emitted at a fixed angle
6
Figure 3.7: Schematic illustrating the parameters used in the reconstruction of muon
tracks. The orientation and position of each PMT with respect to the hypothetical muon
track is fully specified. (from [71])
The measured values x are detector dependent. For AMANDA, they include the time and
duration (time over threshold) of each pulse as well as the amplitude of the largest pulse in the PMT
(t
i
, T OT
i
, A
i
). In IceCube, the amplitude of each individual pulse in the hit series is recorded, giving
full waveform information. While the full amplitude information has been shown to improve track
reconstruction [73], the hit times provide the most powerful tool. We therefore consider the simplified
case of determining p(t|a).
The likelihood PDF can be written in terms of time residuals; that is, the difference in time
between when a hit is recorded and when it is expected given a Ceˇ renkov cone and the geometry

43
shown in Fig. 3.7.
t
res
≡ t
hit
㡇 t
geo
(3.10)
t
geo
= t
0
+
p
ˆ
· (r
i
㡇 r
0
) + d tan θ
c
c
(3.11)
t
geo
thus represents the time of a so-called direct hit, for light that travels exactly along the Ceˇ renkov
cone without scattering. The shape of the time residual distribution is in general distorted by several
effects (PMT jitter, dark noise, stochastic energy losses along the energy track) and furthermore, the
broadness of the distribution is dependent on the distance of a given PMT from the track, due to
scattering of light in the ice. For the same reason, the orientation η of the PMT with respect to the
track can increase t
res
, as light may have to back scatter to reach the collection face. We can thus
write a likelihood based on the arrival times of single photons
3
at each hit module
L
SPE
=
N
?
hits
i=1
p
1
(t
res,i
|a)
(3.12)
where p
1
is the corresponding probability density function. We describe the specific form of the PDF
in section 3.6.4.
In addition to advanced (and time-consuming) likelihood reconstructions, it is also possible to
make quick first-guess reconstructions to get an initial idea of the track direction. This information
can then be used as a seed in the likelihood searches to reduce the maximization requirements. We
now present an overview of the first-guess and advanced directional and energy reconstructions that
are used in the analyses presented in this thesis.
3.6.1 Line-Fit
Line-Fit is a fast first-guess reconstruction algorithm that neglects the complicated emission
pattern of Ceˇ renkov light in a realistic medium and instead assumes that all light travels along a
3
SPE denotes Single Photo-Electron.

44
single path with velocity v, with a vertex point r. The locations of hit PMTs, r
i
, are then given by
r
i
≈ r + v · t
i
.
(3.13)
χ
2
for this distribution is given by
χ
2
N
?
hit
i=1
(r
i
㡇 r 㡇 v · t
i
)
2
(3.14)
and may be analytically minimized to give
r = ?r
i
? 㡇 v · ?t
i
?
(3.15)
v =
?r
i
· t
i
? 㡇 ? r
i
? · ?t
i
?
?t
2
i
? 㡇 ? t
i
?
2
(3.16)
where ?x
i
? denotes the mean of x with respect to all hits in the event. Line-Fit thus gives a rapid
and analytical determination of both the vertex r and the direction v/|v| of an event which may then
be fed to more sophisticated algorithms as a seed.
3.6.2 Direct Walk
The Direct Walk algorithm is another very efficient first guess reconstruction that utilizes
only a subset of hits in an event that are most likely to be caused by direct (unscattered) photons.
The algorithm proceeds in several steps. First a straight line is created between each pair of hit PMTs
in an event that have more than 50 m separation. The geometry of the array gives the direction
(θ, φ) of these track elements, with vertex r
0
given as the midpoint between the PMTs and vertex
time t
0
as the average of the hit times.
Each of these pair-wise track elements then has a number of associated hits defined by their
times residuals with respect to t
0
and distances from the track element. Those track elements with
too few associated hits or with too little variance in lever arms
4
are then rejected. Those track
4
The lever arm L
i
of a hit PMT i with respect to a track element is the distance between the vertex r
0
and the
point on the track element closest to the PMT i. A large variance in lever arms for a given track element indicates hit
PMTs are well-spaced along the length of the track.

45
elements that remain become track candidates.
In the case that multiple candidates are found (often), a cluster search is performed. For each
track candidate, the number of other candidates within 15
is counted and the cluster with the largest
number of track candidates is selected. The direction of the Direct Walk track (θ
DW
, φ
DW
) is then
the average of the direction of the track candidates in this best cluster.
3.6.3 JAMS
JAMS [74] (Just Another Muon Search) is a first guess algorithm specifically designed to
address the problem of coincident muons. In order to reconstruct an event a set of N directions
is chosen from a pre-determined grid. For each direction, the hit set is projected onto a plane
perpendicular to that direction. If the initial direction were an actual muon track, then one would
find several hits at similar distances from the track (we have projected out the separation in time).
Thus clustering of hits is expected for “good” directions. In the case of an event composed of multiple
tracks from different directions (coincident downgoing muons), one would see either multiple clusters
or no structure. A set of criteria is applied to the hit separations to determine the degree and size of
the clustering. For each valid cluster (direction) a simplified likelihood function consisting of a pair of
Gaussians is maximized. The set of derived tracks is then ranked via topological quality parameters.
While up to the three highest quality tracks are saved, we typically use the best as a seed to the full
likelihood reconstructions.
3.6.4 Pandel Likelihood
The photon hit probabilities and arrival times can be determined via light propagation simu-
lation and this information can be stored in look-up tables [75, 76]. However, use of these tables can
be technically difficult from the computing standpoint, and thus it is beneficial to consider whether
simpler options exist. One such solution is the parameterization of the distributions in the look-up
tables with analytical functions using only a subset of parameters. Work done by the BAIKAL
experiment based on data taken with laser light showed that p
1
of Eq. 3.12 can be written as the
so-called Pandel function:

46
The large freedom in the choice of the two parameter functions τ (units of time) and
λ (units of length) and the overall reasonable behavior is the motivation to use this
function to parametrize not only the time p.d.f. for point-like sources, but also for muon
tracks [34]. The Pandel function is fit to the distributions of delay times for fixed distances
d and angles η (between the PMT axis and the Cherenkov cone). These distributions are
previously obtained from a detailed photon propagation Monte Carlo for the Cherenkov
light from muons. The free fit parameters are τ, λ, λ
a
and the effective distance d
eff
, which
will be introduced next.
time delay / ns
d = 8m
Delay prob / ns
time delay / ns
d = 71m
Delay prob / ns
10
−4
10
−3
10
−2
10
−1
0
200
400
10
−7
10
−6
10
−5
10
−4
10
−3
0
500
1000
1500
Figure 5. Comparison of the parametrized Pandel function (dashed curves) with the detailed
simulation (black histograms) at two distances d from the muon track.
When investigating the fit results as a function of d and angle η (see figure 3), we observe
that already for a simple ansatz of constant τ, λ and λ
a
the optical properties in AMANDA
are described sufficiently well within typical distances. The dependence on η is described
by an effective distance d
eff
which replaces d in equation 17. This means that the time
delay distributions for backward illumination of the PMT is found to be similar to a
head-on illumination at a larger distance. The following parameters are obtained for a
specific ice model, and are currently used in the reconstruction:
τ = 557 ns
λ = 33.3m
λ
a
= 98m
d
eff
= a
0
+ a
1
· d
a
1
= 0.84
a
0
= 3.1 m 㡇 3.9 m · cos(η) + 4.6 m · cos
2
(η)
(19)
A comparison of the results from this parametrization with the full simulation is shown
in figure 5 for two extreme distances. The simple approximation describes the behavior of
the full simulation reasonably well. However, this simple overall description has a limited
accuracy, especially for d ≈ λ (not shown). Reconstructions, based on the Pandel function
13
Figure 3.8: The Pandel function (dashed) is compared to a detailed light propagation
simulation (solid) at two distances from the muon track. Close to the track (left) light
is not scattered very much before reaching the PMT face and thus time residuals are
small. Farther away (right), all light is scattering to some degree before hitting the PMT.
(from [71])
p
P
(t
res
) ≡
1
N(d)
τ
㡇 d/λ
· t
d/λ㡇 1
res
㡇( d/λ)
· e
(
t
res
(
1
τ
+
c
nλa
)
+
d
λa
)
(3.17)
where λ
a
is the absorption length, n is the refractive index, d is the perpendicular distance from
the muon track to the PMT as shown in Fig. 3.7, and 㡇( d/λ) is the Gamma function. N(d) is a
normalization factor given by
N(d) = e
㡇 d/λ
a
·
?
1+
τc
a
?
㡇 d/λ
(3.18)
λ and τ are free parameters that are fit from the photon propagation simulation. Although the
Pandel function was derived for isotropic, monochromatic, point-like sources of light, the freedom
of choice in λ and τ makes it well suited for fitting the light pattern of a muon track as well. We
fit the time residual distributions for a wide range of d and η and find that the signal for back-
scattered light is well-modeled by frontal illumination of a PMT at a greater distance d
eff
. Sample
comparisons between the Pandel function and a detailed simulation of the photon propagation are
shown in Fig. 3.8.
In practice, we also want to take into account PMT jitter, and the potential for negative time
residuals from random noise in the detector. We therefore convolute the Pandel function with a

47
Gaussian. The function then describes the probability of observing the measured hits at each PMT.
The total likelihood is given by summing the likelihoods for each PMT. This total is then globally
maximized, allowing the hypothetical track parameters to vary freely.
L
P
N
?
hits
i=1
p
P
(t
res,i
|a)
(3.19)
The track described by (θ
P
, φ
P
) that maximizes Eq. 3.19 is then our best guess hypothesis for the
muon direction.
3.6.5 Bayesian Likelihood
Bayes’ Theorem states that the probability of a true set of track parameters a given a set of
observed hits x is given by
P (a|x) =
P (x|a)P (a)
P (x)
(3.20)
P (x|a) is just the probability that an assumed track would generate the observed hit pattern, namely
the Pandel likelihood function L
P
described in Sec. 3.6.4. P (x) is independent of the track a and
is thus merely a normalization factor that may be ignored. P (a), on the other hand, represents
the probability of observing a track a, which depends on the characteristics of the track. We can
leverage any number of event characteristics, but the dominant feature is the very strong zenith
dependence of the atmospheric muon background, as seen in Fig. 3.4. Atmospheric muons are
extremely abundant in the vertically downgoing region, but they become negligible near the horizon
due to earth absorption. By weighting the likelihood with this angular dependence, some tracks
which are reconstructed as up-going with the Pandel likelihood will instead become down-going,
greatly reducing the mis-reconstructed muon contamination. We thus write the Bayesian Likelihood
as:
L
B
≡ L
P
· P (θ)
(3.21)

48
3.6.6 Iterative Reconstruction
The likelihood based event reconstructions described above require a track vertex and direction
as a seed. We typically use the result of first-guess algorithms as this seed. However, it is possible
that the reconstruction encounters a local minimum in the likelihood space. In order to mitigate this
effect, we typically perform multiple iterations for the advanced reconstructions, with a variety of
seed directions. This helps to ensure that the global minimum is found and that the best possible
track is returned. The number of iterations to be performed is a trade-off between resolution and
computing time and has diminishing returns. 16 to 64 iterations are typically performed, depending
on the accuracy requirements of the specific reconstruction.
3.6.7 Energy Reconstruction
The all-sky neutrino flux induced by cosmic ray interaction in the atmosphere constitutes an
irreducible background for astrophysical neutrino searches. In order to discriminate these atmospheric
neutrinos from GRB neutrinos we can leverage several quantities. First and foremost is a statistical
reduction when we consider only the temporal and spatial coordinates associated with the bursts.
However, we can gain additional sensitivity by considering the differences in energy spectra. In
general, atmospheric neutrinos follow a much steeper power law than that of the signal. Therefore, if
we can reconstruct the energy of the daughter muon, we can get a good idea of the primary neutrino
energy and thus assign it a probability of belonging to the signal or background population. We
consider two useful methods for estimating the event energy, one simple and one complex.
3.6.7.1 N
ch
The number of hit PMTs (channels) in an event is known as N
ch
. High energy muons tend
to emit more light in the detector volume and thus create events with high values of N
ch
, while
the opposite is true for lower energy muons. However, this relation begins to break down when one
considers high energy muons. The neutrino interaction vertex for such events may lie well outside
the detector, and the muons would then travel several kilometers before traversing the instrumented
volume. In this case, only a small fraction of the total energy of the track will be deposited. In
addition, some tracks will skim the edges of the detector, hitting only a few PMTs. This effect

49
can be seen in Fig. 3.9. In addition, the clarity of the ice affects the absorption of light, and thus
the number of hit channels as well. This introduces a systematic depth dependence which must be
taken into account. Nevertheless, N
ch
represents a good, simple way to discriminate between varying
spectra, as seen in Fig. 3.10.
Figure 3.9: The energy estimator N
ch
as a function of the primary neutrino energy. Even
high energy neutrinos often deposit only small amounts of light within the detector and
thus the distribution is strongly peaked at small N
ch
.
3.6.7.2 Mue
The likelihood algorithm Mue [77] implements a much more sophisticated energy reconstruc-
tion method. Recall from section 3.3 that above about 1 TeV muon energy losses begin to be domi-
nated by stochastic processes and that the energy loss per unit length becomes proportional to the
energy. The likelihood based track reconstruction may then be extended to consider how well the
photon density observed around a hypothetical track is described by an appropriate distribution func-
tion. This extended likelihood formulation is then maximized with an extra free parameter, yielding
both a muon track and an energy estimator ?
mue
at the distance of closest approach to the center of
gravity of the hits in the event. In Fig. 3.11 we show the relative improvement in correlation between
true energy and ?
mue
as compared to the case of N
ch
in Fig. 3.9. The excellent separation power
between energy spectra is seen in Fig. 3.12. Fig. 3.13 quantifies the energy resolution achievable with

50
N
ch
100
200
300
400
500
600
probability
-6
10
-5
10
10
-4
-3
10
10
-2
10
-1
atm.
ν
-2
ν
E
prompt GRB
ν
precursor GRB
ν
Figure 3.10: The N
ch
distribution for various neutrino energy spectra. Even with its
inherent limitations N
ch
is a powerful discriminator between the soft atmospheric neutrino
spectrum and the harder spectra of signal neutrinos. The high N
ch
tail of the distribution
gives strong background rejection potential.
?
mue
compared to other estimators. Resolution suffers at low energy where muon energy losses are
only very weakly dependent on the energy of the muon. At the very highest energies PMTs closest
to the track saturate with light and full information on the photon density is lost.

51
Figure 3.11: ?
mue
as a function of neutrino energy. The agreement is much more linear
than that shown for N
ch
in Fig. 3.9.
E
ν
[GeV]
3
10
4
10
5
10
6
10
7
10
8
10
9
10
]
-1
sr
-1
s
-2
dN/dE [GeV cm
2
E
-11
10
-10
10
-9
10
-8
10
-7
10
-6
10
-5
10
10
E
mue
log
1
2
3
4
5
6
7
8
probability
0
0.02
0.04
0.06
0.08
0.1
atm.
ν
-2
ν
E
prompt GRB
ν
precursor GRB
ν
Figure 3.12: Distribution of the energy estimator ?
mue
for various neutrino energy spectra
(shown on left for reference). While it is possible to calibrate ?
mue
to represent an energy
in GeV, what is truly important is the shapes of the distributions. We therefore leave
the parameter in its natural units of photon density per unit length (multiplied by PMT
effective area). Notice the excellent separation between soft and hard energy spectra.

52
0
25
50
75
100
125
150
175
200
log
10
(Photon density parameter [m])
10
3.6
㡇 10
7.6
GeV (this
muon energy log
10
(E
[
GeV
])
rms variation in log
10
of reconstructed energy
0
0.2
0.4
0.6
0.8
1
1.2
1.4
1.6
1.8
2
1
2
3
4
5
6
7
8
Figure 2: Energy reconstruction precision: blue
(lowest curve) for the photon-density-based ap-
proach of this paper, red for the
Q
tot
and green
(highest curve) for the
N
ch
-based calculations.
lation [7]. For this analysis we have chosen the
Singular Value Decomposition algorithm [8], since
it is robust, efficient and easy to implement. The
problem of unfolding can be expressed, in matrix
notation, by the expression
A
ˆ
y = b
, where
A
ˆ
is the
so-called smearing matrix (which has to be gener-
ated by Monte Carlo),
y
is the spectrum we want
to measure (in this case, the neutrino energy spec-
trum), and
b
is the experimental observable (recon-
structed muon energy). Inverting the smearing ma-
trix does not give a useful solution because of the
effect of statistical fluctuations, which completely
spoils the result. The SVD algorithm is based on
the decomposition of
A
ˆ
as
A
ˆ
= USV
T
, where
Figure 3.13: Comparison of the energy resolution for three estimators after calibration:
blue for ?
mue
, red for total charge per event, and green for N
ch
. Resolution is defined as
log
10
(E
reco
/E
true
). (from [77])

53
Chapter 4
Detectors
4.1 Satellites
While it is possible to search for neutrinos from untriggered GRBs [11] we typically use the
temporal and spatial information collected by satellites to restrict our background. The main param-
eters of those satellites which observed GRBs included in our analyses are summarized in Table 4.1.
We describe them in further detail below.
Satellite
Instrument
Energy Range
FOV
Resolution
Swift
BAT
15–150 keV
1.4 sr
4 arcmin
XRT
0.2–10 keV
23.6’
5 arcsec
UVOT
170–650 nm
17’
0.3 arcmin
HETE-II
FREGATE
6–400 keV
3 sr
WXM
2–25 keV
1.6 sr
11 arcmin
SXC
0.5-15 keV
0.9 sr
10 arcsec
INTEGRAL SPI
20 keV–8 MeV
16
2
IBIS
15 keV–10 MeV
9
12 arcmin
JEM-X
3–35 keV
4.8
3 arcmin
Suzaku
HXD
10–600 keV
34
/4.5
AGILE
GRID
30 MeV–50 GeV
3 sr
0.2
–5
Super-AGILE
10–40 keV
0.8 sr
3 arcmin
Table 4.1: Main Parameters of GRB-detecting Satellites. Note that only Swift may slew
to align its high resolution x-ray and UV detectors with the direction of a burst detection.
Other satellites rely on overlapping fields of view between instruments, greatly reducing
detection rates.

54
4.1.1 Swift
The majority of the GRBs searched for in this thesis were first observed by the Swift satel-
lite [25, 24], launched in November of 2004. Swift is specifically designed to serve as an optimal
platform for the observation of transient sources over many wavelengths, with a detection rate of
∼ 100 GRBs/yr. This capability is provided for by three onboard detectors. The Burst Alert Tele-
scope (BAT) has a wide, 1.4 sr, field of view and is sensitive to the 15-150 keV energy range. It uses
a coded mask to determine photon arrival direction with 1-4 arcmin precision. The X-ray Telescope
(XRT) and UV and Optical Telescope (UVOT) are sensitive to lower energy ranges and are used to
pinpoint the GRB location (0.3-5 arcsec resolution) and to study the characteristics of the afterglow.
Fig. 4.1 depicts the satellite and detectors.
Figure 4.1: The Swift satellite. Left panel shows the satellite with BAT, XRT, and UVOT.
Right panel shows the coded mask used for localization by the BAT. Swift was intended
to be sensitive to the 15-350 keV energy range, but it was discovered that the mask
was transparent to photons above 150 keV. This has the unfortunate effect of drastically
reducing the number of photon spectral break energies observed.
When the BAT detects a burst, it rapidly transmits the location to other space and ground
based observatories via the Gamma-ray Coordinates Network (GCN) [78]. Swift then autonomously
slews to aim the XRT and UVOT at the source location within 20-75 s. Observations of the afterglow
spectral lines lead to redshift determinations in about 25% of detected bursts. Swift may also be
slewed manually to perform follow-up observations of GRBs initially detected by other satellites.

55
4.1.2 HETE-II
HETE-II, the High Energy Transient Explorer [79], was launched in 2000. It carries wide field
x-ray (WXM) and γ-ray (FREGATE) instruments and is sensitive to the 0.5-400 keV energy band.
The overlapping field of view of the detectors is about 2 sr. The satellite is capable of performing
localizations with ∼ 10 arcsec precision onboard within seconds of detecting a burst and transmitting
these positions to ground-based observatories. Since HETE-II is always pointed anti-solar, it is
guaranteed that optical telescopes will be able to make early afterglow measurements of detected
bursts. HETE-II was the first satellite to detect the weaker subclass of bursts known as X-Ray
Flashers (XRFs). Having long outlived its nominal mission of 2 years, the NiCD batteries on board
are wearing down, and operation is sporadic.
4.1.3 INTEGRAL
The International Gamma-Ray Astrophysics Laboratory (INTEGRAL) [80] was launched in
October 2002. It was designed to have high spectral and spatial resolution and to make simultaneous
observations in the optical, x-ray, and γ-ray bands. The high energy payload consists of two instru-
ments. The first is a spectrometer (SPI), able to detect the 20 keV - 8 MeV range, with an energy
resolution of 2.2 keV at 1.33 MeV, and a spatial resolution of 2.5
. SPI has a field of view of 16
.
The second instrument is an imager (IBIS), with a smaller field of view of 9
, but increased spatial
resolution of 12 arcminutes. Like Swift, INTEGRAL utilizes a coded mask algorithm to perform
localization.
4.1.4 IPN3
The 3rd Interplanetary Network (IPN3) [81] is a group of satellites that operate in concert to
localize GRBs through triangulation of burst detection times. Normally, the highly precise instru-
ments aboard satellites like Swift give much better positioning than IPN3, but in the case that a GRB
occurs outside the field of view of the precision satellites, one can still extract useful localizations
for afterglow followup or neutrino searches. Fig. 4.2 shows the method used to triangulate burst
positions. The main satellites currently contributing to IPN3 include Swift, Konus-Wind, Ulysses,
INTEGRAL, Suzaku, 2001 Mars Odyssey, RHESSI, MESSENGER, and AGILE. Taking effective

56
fields of view and duty cycles of all satellites into account, IPN3 is a full-time, all sky GRB monitor.
Figure 4.2: IPN3 uses a triangulation method to localize GRBs. An annulus of possible
locations can be determined by detection of burst times by 2 satellites. The center is
defined by the vector joining the two spacecraft, and the radius depends on the arrival
times detected by each instrument. Satellites that are further apart provide more precise
localizations. With more than two satellites, positions may be refined by finding the
intersection of the pair-wise annuli. (from [81])
4.1.5 Suzaku
The Suzaku satellite [82] was developed by the Japanese Institute of Space and Astronauti-
cal Science (ISAS) and launched in July of 2005. It is the first satellite to carry an x-ray micro-
calorimeter, capable of very precise energy measurements. These x-ray spectrometers are sensitive to
soft x-rays only, however. For detection of GRBs, Suzaku relies on its Hard X-Ray Detector (HXD),
sensitive to the 10-600 keV energy band. The HXD has a field of view of 34
below 100 keV and 4.5
above 100 keV. Its primary mission is not as a GRB monitor, but it does detect some by coincidence.
4.1.6 AGILE
AGILE [83, 84] is a mission of the Italian Space Agency (ASI), and was launched in April
of 2007. It carries a unique configuration of both a γ-ray (GRID, 30 MeV - 50 GeV) and hard

57
x-ray (Super-AGILE, 18-60 keV) instrument. It has a 2.5 sr field of view above 30 MeV (0.8 sr in
the keV band) and is able to localize bursts to within 1-3 arcminutes. AGILE is a multipurpose
instrument, designed to study AGNs, GRBs, galactic sources, and unidentified γ-ray emitters. Until
the Fermi Gamma Space Telescope was launched in 2008, it was the only satellite dedicated to
gamma-ray astrophysics above 30 MeV. With GRID, AGILE is ideally suited to studying the high
energy component of GRBs, before observed only rarely
1
.
4.2 AMANDA-II
The Antarctic Muon and Neutrino Detector Array (AMANDA) [85] was deployed between
1995 and 2000 in the deep glacial ice of the south pole. It consists of an array of vertical strings
of optical modules (OMs) deployed in the Antarctic Ice. The OMs are located at 10-20 m intervals
along the length of the strings, at a depth of 1550 - 2050 m. The initial 10 strings (302 OMs) were
deployed in a circular configuration of diameter ∼ 100 m between 1995 and 1997. This was called
AMANDA-B10
2
. 9 additional strings were deployed by 2000, creating an array of 677 OMs
3
and
200 m in diameter. Analog PMT signals are transmitted to the surface via cables
4
.
4.2.1 The Optical Module and µDAQ
Each Optical Module (OM) is built around an 8 in. Hammamatsu R-5912-2 Photomultiplier
tube. The PMT is enclosed in a glass sphere to withstand the pressure of the surrounding ice.
After traveling ∼ 2 km to the surface, the analog signal has weakened from ∼ 1 V to ∼ 10 mV. It also
undergoes broadening. These signals are then amplified with SWAMPs (SWedish AMPlifiers) and fed
to two outputs, one prompt and one delayed. The prompt output is routed through a discriminator
and then to the trigger and a TDC (Time to Digital Converter). The TDC records the times when
a pulse rises above (leading edge) or falls below (trailing edge) the discriminator threshold and may
record 16 such edges. The other output of the SWAMPs is delayed by 2 µs and fed to a peak-analog
to digital converter (ADC). The ADC determines the maximum amplitude over all pulses in the
1
EGRET observed about 10 GRBs during its 7 year lifetime. AGILE detection of GRBs by GRID is 5-10 per year.
2
AMANDA-A was a 4 string array deployed at a depth of 800-1000 m. It was discovered that the ice at this depth
contains many residual air bubbles which increase scattering of photons and make muon reconstruction impossible [86].
3
Only about 540 OMs are used in the analysis presented in this thesis, due to problems with individual modules or
entire strings.
4
String 18 contains prototype DOMs (see Sec. 4.3.1) which digitize the signal onboard.

58
Section 6 summarizes event classes for which the
reconstruction may fail and strategies to identify
and eliminate such events. The performance
of the reconstruction procedure is shown in
Section 7. We discuss possible improvements
in Section 8.
2. The AMANDA detector
The AMANDA-II detector (see Fig. 2) has been
operating since January 2000 with 677 optical
modules (OM) attached to 19 strings. Most of the
OMs are located between 1500 and 2000 m below
the surface. Each OM is a glass pressure vessel,
which contains an 8-in. hemispherical PMT and its
electronics. AMANDA-B10,
2
the inner core of 302
OMs on 10 strings, has been operating since 1997.
One unique feature of AMANDA is that it
continuously measures atmospheric muons in
coincidence with the South Pole Air Shower
Experiment surface arrays SPASE-1 and SPASE-2
[7]. These muons are used to survey the detector
and calibrate the angular resolution (see Section 7
and Refs. [8,9]
), while providing SPASE with
additional information for cosmic ray composition
studies [10].
The PMT signals are processed in a counting
room at the surface of the ice. The analog signals
are amplified and sent to a majority logic trigger
[11]. There the pulses are discriminated and a
trigger is formed if a minimum number of hit
PMTs are observed within a time window of
typically 2 ms: Typical trigger thresholds were 16
hit PMT for AMANDA-B10 and 24 for AMANDA-II.
For each trigger the detector records the peak
amplitude and up to 16 leading and trailing edge
times for each discriminated signal. The time
resolution achieved after calibration is s
t
C5 ns
for the PMTs from the first 10 strings, which are
read out via coaxial or twisted pair cables. For the
remaining PMTs, which are read out with optical
fibers the resolution is s
t
C3:5 ns: In the cold
environment of the deep ice the PMTs have low
noise rates of typically 1 kHz:
The timing and amplitude calibration, the array
geometry, and the optical properties of the ice are
determined by illuminating the array with known
optical pulses from in situ sources [11]. Time
offsets are also determined from the response to
ARTICLE IN PRESS
light diffuser ball
HV divider
silicon gel
Module
Optical
pressure
housing
Depth
120 m
AMANDA-II
AMANDA-B10
Inner 10 strings:
zoomed in on one
optical module (OM)
main cable
PMT
200 m
1000 m
2350 m
2000 m
1500 m
1150 m
Fig. 2. The AMANDA-II detector. The scale is illustrated by the Eiffel tower at the left.
2
Occasionally in the paper we will refer to this earlier
172
J. Ahrens et al. / Nuclear Instruments and Methods in Physics Research A 524 (2004) 169–194
Figure 4.3: The AMANDA-II detector in the Antarctic ice with Eiffel tower graphic
showing scale. Included is a schematic showing details of the Optical Module. (from [71])
OM and assigns this value to all hits in the channel. The trigger condition for events requires 24
hit channels within a time window of 2.5 µs. If this condition is met, the LE, TE and ADC values
for each hit are transmitted to the surface, and a trigger is sent to a GPS clock to timestamp the
event. This configuration of the data taking system is known as the µDAQ. A Transient Waveform
Recording (TWR) system was installed later and operated exclusively after 2006 when µDAQ was
shut off. As this thesis deals with the earlier dataset, we do not describe TWR in any more detail
here.
4.2.2 Calibration
Because the signal is transmitted to the surface before digitization and time recording a calibra-
tion must be applied to relate the leading edge (LE) times with the PMT hit times. This calibration
is performed by recording time-of-flight for YAG laser pulses sent from the surface down optical
cables and reflected. These cables emit the laser pulse into the ice where it is recorded by PMTs

59
and transmitted back to the surface. The time of this sequence then defines the offsets. The same
principle is used to determine the relative geometry of the OMs in the array. After calibration, the
B10 OMs (with coaxial or twisted-wire cables) have a timing resolution of 5 ns, while the optically
cabled OMs have a resolution of 3.5 ns [71]. Amplitude calibration is performed by dividing the mea-
sure peak-ADC values by the most likely values that would be generated by single photoelectrons
incident on the PMT.
4.3 IceCube
IceCube, when complete, will consist of 80 vertical strings of 60 Digital Optical Modules
(DOMs) each, buried in the deep Antarctic ice between a depth of 1450 and 2450 meters. Each DOM
consists of a 25 cm PMT enclosed in a glass pressure sphere, and associated electronics. The DOMs
are spaced at 17 m vertical intervals on the strings, with inter-string spacing of ∼ 125 m, with the full
detector instrumenting a physical volume of ∼ 1 km
3
. The spacing is chosen to optimize the event
reconstruction (see Chapter 3) for the energy range of primary interest (10 TeV to 10 PeV). At the
surface location of each string are additional DOMs frozen in water tanks, implementing an extensive
air shower array known as IceTop. In addition to cosmic ray physics, IceTop may be used as a veto
for neutrino detection with IceCube. The analysis presented in this thesis makes use of the 22-string
configuration of the detector, operational from April 2007 to April 2008.
4.3.1 The Digital Optical Module
The Digital Optical Module (DOM) [87] is the fundamental unit of the IceCube detector
array. Each DOM is designed to collect light, capture and convert waveform data to digital signals,
perform accurate timestamping, and transmit those signals to the surface. It consists of a 25 cm PMT
(Hammamatsu R7081-02) with an average quantum efficiency of 20%, a 2 kV high voltage power
supply, the DOM main board, a signal delay board, and an LED flasher board. These components
are enclosed in a 13 mm thick glass pressure sphere. The glass and PMT are optically coupled via
a gel chosen for its transmission qualities. The DOM is pressurized to 1/2 atmosphere with dry
nitrogen to ensure the structural integrity of the enclosing sphere. Communications and power are
supplied via a single twisted wire pair to the surface. Fig. 4.5 shows the wavelength dependence of

60
the quantum efficiency and transmittance of the glass/gel.
The PMT converts detected light to electronic pulses with a gain determined by the applied
high voltage. During the 22-string running period, the DOMs were operated at a nominal gain of
1×10
7
. The raw analog signal is sent to the DOM main board and split between a trigger discriminator
and the 75 ns signal delay board. If the discriminator threshold is surpassed (set to 0.25 SPE
5
for
this dataset), the delayed signal is sent to an Analog Transient Waveform Digitizer (ATWD)
6
and to
a PMT ADC. The ATWD contains 4 channels. The first 3 capture the PMT waveform with varying
gain (x16, x2, x0.25) while the 4th channel is responsible for high-speed monitoring of various DOM
functions (LC, clock, flashers, comms). The captured information is only digitized and buffered if
triggered by additional logical conditions (see Sec. 4.3.2.1). In this case, usually only the highest gain
channel is digitized. If this channel saturates (∼ 1% of the time), the lower gain channels are also
digitized. The PMT ADC captures waveforms over a longer time scale of 6.4 µs.
Timestamping at the DOM level is accomplished via a 40 MHz free-running high stability
crystal oscillator. Synchronization over the array is coordinated via a Reciprocal Active Pulsing
(RAPcal) [88] algorithm. With these processes, we are able to achieve a timing resolution of ∼ 2 ns.
Each DOM also contains an ultraviolet LED resident on the Mainboard and a dedicated
flasher board containing 12 LEDs. The onboard LED can stimulate the local PMT with zero to 10s
of photoelectrons which are used to measure transit times. The LEDs on the flasher board are used
to stimulate remote DOMs for calibration purposes or to mimic cascade-like events.
4.3.2 IceCube DAQ
The 60 DOMs on each string are connected to the surface via a single cable where it terminates
in a Surface Junction Box (SJB). The SJB also gathers the input from the 2 IceTop stations (each
containing 2 DOMs) at the top of each string. These signals are then sent to the IceCube Laboratory
(ICL) via a surface cable. Each string is controlled by a computer called a DOMHub, containing 8
DOM Readout (DOR) cards. The DOR card controls power, establishes boot-up, selects or loads
5
1 SPE is peak of the voltage output distribution measured for a large set of single photo electrons created in a
PMT by incident photons. The SPE distribution and peak are measured for each DOM.
6
There are actually 2 ATWDs resident on the DOM mainboard to reduce deadtime. The signal is sent to whichever
is free.

61
code, initiates calibration, requests data transfer, and manages time calibration.
Absolute timestamping is achieved by a Master Clock using the GPS satellite radio-navigation
system. Times are recorded in UTC and a static offset due to cable delays and GPS-UTC difference
is applied.
4.3.2.1 Local Coincidence
DOMs are connected to their vertical neighbors via local coincidence (LC) links. This allows
a DOM to transmit and receive LC tags from the DOMs above and below it. These LC tags may
be propagated further up or down the string, creating local coincidence chains of length l (nearest
neighbor=1, next-to-nearest neighbor=2, etc.). When a DOM is hit, it transmits an LC signal to its
neighbors and opens a receptive time window of ∼ 1µs. If it receives an LC tag from a neighboring
DOM during this time window the hit satisfies the local coincidence condition. For the 22-string
IceCube data taking run, a Hard Local Coincidence scheme was employed. In this mode, only hits
with LC tags are digitized and sent to the surface. In this way, isolated hits which are likely to be
noise do not use up valuable ATWD digitization time. Soft Local Coincidence is also possible, where
all hits are transmitted, with only timing information being sent for those hits that do not satisfy
LC conditions. This mode will first be used with the 59-string configuration of IceCube.

62
Figure 4.4: Schematic of the full IceCube detector. The shaded region indicates the
location of AMANDA-II.

63
Wavelength (nm)
200
250
300
350
400
450
500
550
600
PMT Quantum Efficiency
0
0.05
0.1
0.15
0.2
0.25
Wavelength (nm)
200
250
300
350
400
450
500
550
600
Gel Transmittance
0
10
20
30
40
50
60
70
80
90
100
Figure 4.5: Wavelength dependence of DOM properties. Left panel shows the quantum
efficiency of the PMT. It peaks at 400 nm, where the majority of Ceˇ renkov photons are
emitted. Right panel shows the transmittance of the gel. Note the sharp UV cutoff at
∼ 300 nm. The glass cuts off at higher wavelength. Above about 600 nm, the ice loses
transparency. (see Fig. 3.6)

64
Figure 4.6: Schematic of an IceCube Digital Optical Module (from [87])

65
ATWD 1 sample time
ATWD
1
bi
n content
ATWD 2 sample time
ATWD 2 bin content
ATWD 3 sample time
ATWD
3
bi
n content
PMT ADC sample time
PMT ADC bin content
0
100
200
300
400
500
600
700
800
0
100 200 300 400
0
20
40
60
80
100
120
140
0
100 200 300 400
-2
0
2
4
6
8
10
12
0
100 200 300 400
0
200
400
600
800
1000
0
2000 4000 6000
Figure 4.7: Sample waveforms from the 3 channels of the ATWD and the PMT ADC.
Horizontal scale is in ns. Note that information lost from saturation of the high gain
(upper left) channel is recovered by other channels. Distortion at long time in the PMT
ADC signal is due to transformer droop and may be software corrected. (from [87])

66
Chapter 5
Gamma-Ray Burst Selection
5.1 Satellites
The goal of the analyses is to identify neutrinos that originate from gamma-ray bursts. Since
the flux from any individual burst is expected to be low, we seek to maximize the number of potential
sources and perform a stacked search. Therefore, we take as our initial sample all GRBs that triggered
satellites during the periods of interest. We obtain information about each GRB from the notices,
circulars, and reports distributed by the Gamma-Ray Burst Coordinate Network (GCN) [78]. These
GCN communications can be easily referenced via the GRBlog database [89].
Much of the background rejection power of the analysis comes from the good directional
reconstruction of muons
1
. We thus in principle eliminate any bursts with a poor localization.
However, as most bursts trigger the Swift satellite, with its very precise angular resolution (see
Chapter 4), this does not turn out to be a concern. We further restrict ourselves to GRBs that
occur in the northern hemisphere or just below the horizon. This allows us to take advantage of the
shielding properties of the Earth with respect to atmospheric muons (see Chapter 3).
For the 2005-2006 AMANDA dataset, this results in a set of 119 well-localized, northern sky
bursts. For the 2007-2008 22-string IceCube dataset, the number is 48. These numbers may be
further reduced when checked against the status of the detectors.
1
We also leverage knowledge of the emission window and differences in energy spectra between signal and back-
ground.

67
10 min
2 hour
GRB Trigger
Figure 5.1: Definition of the blind time window surrounding a gamma-ray burst in the
2005-2006 AMANDA analysis. The principle for IceCube bursts is identical, though the
window is extended.
5.2 Blindness
We do not want to bias our searches by looking at possible signal events when optimizing
event selection. Rather, we seek to use a sample known to consist of only background events. This
is known as blinding the analysis. In the case of GRBs, the procedure is straightforward. We choose
a representative time window around each GRB trigger and set aside that data, to be looked at only
in the final analysis. The remaining off-time data may then be used as a known signal-free sample
with which to tune the analysis. This principle is illustrated in Figure 5.1. The size of the blinded
time window depends on the specific analysis. For AMANDA, we chose to blind a 10 minute window
centered on each GRB, extended for those bursts with extremely long prompt emission. This was
sufficient to blind the prompt signal, as well as leaving the precursor window available for future
work. In the case of IceCube, we wanted to perform a generic search with an extended time window,
encompassing emission both before and after the observed photons, and thus we blinded a window
of {-1,+3} hours around each GRB trigger.
5.3 AMANDA-II
Given the set of 119 northern hemisphere bursts observed by satellites during the 2005-2006
calendar years, we must determine for which bursts the AMANDA detector was taking data and
operating stably. We must also determine a suitable duration for each GRB in order to accurately

68
predict the associated on-time background.
5.3.1 Detector Stability Criteria
In order to determine the usability of each GRB in our sample, we first must associate bursts
with runs in the detector. We reference the AMANDA monitoring pages [90] and determine by eye
the runs corresponding to a two hour window surrounding each GRB, centered on the burst trigger
time. Such a window will yield not only the on-time data (which we blind), but also enough off-time
background to conduct detector stability studies for each burst in our sample. We note that we do not
automatically remove bursts from consideration which occur during the typically noisy or “unstable”
austral summer as is typically done. Nevertheless, several bursts are eliminated from the search, as
shown in Table 5.1.
Burst
Problem
Burst
Problem
GRB050117
Not Filtered
GRB060111B No Data
GRB050124
No Data
GRB060115
Not Filtered
GRB050126
No Data
GRB060121
Not Filtered
GRB050215A Not Filtered
GRB060123
Not Filtered
GRB050215B Not Filtered
GRB060124
Not Filtered
GRB050713A No Data
GRB060203
No Data
GRB050716
No Data
GRB060206
No Data
GRB051211B Not Filtered
GRB060210
No Data
GRB051221A Not Filtered
GRB060908
No Data
GRB051211B Not Filtered
GRB060927
No Data
GRB051227
Not Filtered
GRB061122
No Data
GRB061126
No Data
GRB061210
No Data
GRB061222A No Data
Table 5.1: GRBs lacking detector data in 2005-2006. Mass filtering was not conducted
on data from parts of the austral summer construction season and the decision was made
not to perform a specialized filter on those bursts that fell in this time period.
Table 5.2 shows several remaining bursts for which the two hour window of off-time data to
be used for stability tests is incomplete. None of this missing data affects the blind windows and
stability limited stability tests may be performed.
We perform three tests to the data surrounding each GRB to determine stability. All are
performed on data that has undergone the first level of filtering to select upgoing events. While the

69
Burst
Problem
GRB051109A Incomplete 2 hour window
GRB060501
Slightly incomplete 2 hour window
GRB060522
Slightly incomplete 2 hour window
GRB060906
Incomplete 2 hour window
Table 5.2: GRBs lacking full data in the off-time stability window in the 2005-2006
analysis.
data is highly background dominated at this filter level and thus little danger exists of observing
potential signal in the on-time windows, we nevertheless choose to blind these windows to be conser-
vative. First, we plot the rates in the extracted window as a function of time. Visual inspection will
immediately reveal GRBs with extremely unstable data. We discovered several bursts that lack data
during the blinded emission window and several in 2006 that exhibit very high detector rates. The
runs corresponding to these windows were found to coincide with calibration runs of the IceCube
detector, where LED flashers were being pulsed. For a few of these bursts, the flasher runs were not
near the emission window and the average rates during the emission were found to be stable. These
bursts were thus included in the analysis. To find more subtle stability issues we plot the distribu-
tion of detector event rate per 10 s interval and fit it with a Gaussian. Events in the tails reveal
anomalously low or high rates. At low level, the times between events are expected to be Poisson
distributed and thus can be fit with an exponential whose time constant matches the detector rate.
These additional tests reveal no additional unstable bursts in the sample that were not first detected
by the first test described above. However, they confirm the abnormal behavior of the detector in
each case of problematic data. A sample set of stability plots can be seen in Fig. 5.2. Stability plots
for all bursts in the 2005-2006 analysis can be found in Appendix E. Table 5.3 shows all bursts in the
AMANDA analysis that exhibited unstable data in 2 hour window and the final disposition of those
bursts. After all data is checked for stability, 86 northern hemisphere GRBs are found to have data
suitable for analysis. We remove the exceptionally long burst GRB060218
2
, leaving a final sample
of 85 gamma-ray bursts for the 2005-2006 AMANDA search.
2
This burst had an emission spanning several thousand seconds and exhibited weak photon emission despite being
relatively nearby. While GRB060218 is important to the gamma-ray burst community for its strong association with
SN2006aj, it is not a suitable candidate for inclusion in this analysis.

70
(a) event times
(b) rate distribution
(c) time between events
Figure 5.2: Sample detector stability plots at filter Level 1 for GRB050319. Panel (a)
shows the event times in a 2 hour window surrounding the trigger time. Panel (b) shows
the distribution in the event rate per 10 s, fitted with a Gaussian. Panel (c) shows time
difference between subsequent events in the detector, fitted with an exponential. Stability
plots for all bursts in the 2005-2006 analysis can be found in Appendix E.
5.3.2 Burst Duration Determination
The duration of a GRB has typically been quantified by T
90
, the time between which 5%
and 95% of the observed photon emission occurs. Reliable T
90
durations and start times relative to
the satellite trigger are not readily available. The figures listed publicly on the Swift collaboration
website [25] are first guesses, and not to be trusted. We investigated several methods for determination
of burst duration.
After consultation with Craig Markwardt, a member of the Swift collaboration, we extracted
duration information directly from the Swift data archives available online using the HEASARC
software package FTOOLS [91], and verified against the published lightcurves. For HETE and
Integral, only approximate T
90
information is available, and start times must be extrapolated from
the lightcurves (see Appendix D). For such bursts, we make conservative estimates of the burst
duration in order to include the maximum possible emission.

71
Burst
Problem
GRB050408
Only have data for first 14.5s of 34s
emission. Analyze shortened window
GRB050824
No data during GRB emission
GRB060105
Average rate during emission OK
GRB060110
Average rate during emission OK
GRB060111A Extremely high rate during emission.
Remove from analysis
GRB060202
Very high rate during emission. Re-
move from analysis
GRB060403
No data during GRB emission
GRB060413
No data during GRB emission
GRB060712
No data during GRB emission
GRB060825
Average rate during emission OK
GRB060929
Extremely high rate during emission.
Remove from analysis
Table 5.3: GRBs with problems in the data in 2005-2006. Some GRBs with periods of
anomalously high rates were shown to have average rates during the blinded time window
and are accepted into the analysis.
Butler et al. [92] present an independent calculation of Swift burst durations through August
2007. They similarly extract the Swift data from the archives online. They use an automated
algorithm to integrate the lightcurves and determine burst regions. These regions are extended
backwards and forwards in time to include exponential tails in their fitted, de-noised lightcurves.
They then calculate T
90
information based on these burst regions, as well as supplying T
90
error
information. However, they do not supply T
90
start times relative to trigger.
In private communications with Mike Stamatikos of the Swift collaboration, he agreed to
perform more detailed determinations of burst duration as a comparison with the Butler et al. result.
This work resulted in detailed T
90
information for all Swift bursts in the sample, including error and
start time relative to trigger. Interestingly, it was found that there existed large discrepancies between
some of these values and those calculated by Butler et al. It was surmised this was in part the result
of different noise reduction and baseline subtraction algorithms. As the numbers given by Stamatikos
were calculated within the Swift data group, using the latest techniques, it was decided in the end to
use these for our burst duration information. For those bursts not observed by the Swift satellite, we
supplement this information with the durations extracted from the lightcurves as described above.

72
We further pad these durations by one second before and after to be somewhat more conservative. In
unblinding, we start at the earlier of the trigger time or the T
90
start time to ensure that no prompt
emission is lost. These principles are illustrated in Fig. 5.3. Table 5.4 lists the full set of 85 GRBs
used in the 2005-2006 AMANDA analysis, including all spatial and temporal information relevant to
the search. The total prompt emission ontime for this analysis is 5343.8 s.
GRB Trigger Time
T
90
Pre-Burst
Post-Burst
δ
T
90
1s
1s
Figure 5.3: Burst duration definition for GRBs in the 2005-2006 dataset. Note that the
pre-burst and post-burst regions remain blind for potential future precursor or afterglow
emission searches.
Table 5.4: Spatial and Temporal Information for 85 GRBs Observed in 2005-2006
GRB
T
0
RA
Dec
T
1
T
2
Notes
GRB050319
09:31:18 154.2 43.5 -133.1
19.4
GRB050401
14:20:15 247.9
2.2
-5.6
27.0
GRB050408
16:22:51 180.6 10.9
0.0
14.5 T
90
from lightcurve
GRB050410
12:14:25
89.7 79.6
-27.0
37.0
GRB050416A 11:04:45 188.5 21.1
0.1
2.5
GRB050416B 22:35:54 133.9 11.2
0.2
3.6
GRB050421
04:11:52 307.3 73.7
0.2
8.6
GRB050422
07:52:40 324.5 55.8
-11.3
68.7
GRB050502A 02:13:57 202.4 42.7
0.0
20.0 T
90
from lightcurve
GRB050502B 09:25:40 142.5 17.0
-15.9
1.3
GRB050504
08:00:52 201.0 40.7
0.0
80.0 T
90
from lightcurve
GRB050505
23:22:21 141.8 30.2
-8.6
50.2
GRB050509A 01:46:28 310.6 54.1
-5.6
5.8
GRB050509B 04:00:19 189.1 29.0
-0.01
0.04
GRB050520
00:05:53 192.5 30.5
0.0
80.0 T
90
from lightcurve
GRB050522
06:00:21 200.1 24.8
0.0
20.0 T
90
from lightcurve
GRB050525A 00:02:53 278.1 26.3
0.3
9.2
GRB050528
04:06:45 353.5 45.9
-5.5
4.0
GRB050607
09:11:23 300.2
9.1
-11.4
36.6
Continued on next page...

73
Table 5.4: (continued)
GRB
T
0
RA
Dec
T
1
T
2
Notes
GRB050712
14:00:27
77.7 64.9
-13.3
38.4
GRB050713B 12:07:17 307.8 60.9
-0.0
56.9
GRB050714A 00:05:56
43.6 69.1
0.0
40.0 T
90
from lightcurve
GRB050802
10:08:02 219.3 27.8
-1.9
28.1
GRB050803
19:14:00 350.7
5.8
63.7 150.1
GRB050813
06:45:09 242.0 11.2
0.02
0.46
GRB050814
11:38:57 264.2 46.4
-10.1 143.9
GRB050815
17:25:19 293.6
9.1
-0.4
7.6
GRB050819
16:23:55 358.8 24.9
-11.8
36.2
GRB050820A 06:34:53 337.4 19.6
0.0 750.0
GRB050827
18:57:15
64.3 18.2
-22.8
25.3
GRB050904
01:51:44
13.7 14.1
24.4 198.6
GRB050925
09:04:33 303.5 34.3
0.1
0.2
GRB051006
20:30:33 110.8
9.5 -116.0
24.0
GRB051008
16:33:21 202.9 42.1
-1.6
10.8
GRB051016B 18:28:09 132.1 13.6
0.2
4.2
GRB051021A 13:21:57
29.1
9.1
-10.0
28.0 T
90
from lightcurve
GRB051022
13:07:58 359.0 19.6
50.0 250.0 T
90
from lightcurve
GRB051105A 06:26:41 265.3 34.9
0.0
0.06
GRB051109A 01:12:20 330.3 40.8
-2.5
34.7
GRB051109B 08:39:39 345.5 38.7
-6.8
7.4
GRB051111
05:59:41 348.1 18.4
-3.8
56.0
GRB051114
04:11:30 226.3 60.2
0.0
2.2
GRB051117A 10:51:20 228.4 30.9
-10.6 125.8
GRB060105
06:49:28 297.5 46.4
-17.8
36.6
GRB060108
14:39:11 147.0 31.9
-2.6
11.7
GRB060109
16:54:41 282.7 32.0
1.4 116.9
GRB060110
08:01:17
72.7 28.4
0.3
25.3
GRB060204B 14:34:24 211.8 27.7
-19.5 119.9
GRB060211A 09:39:11
58.4 21.5
54.0 180.4
GRB060211B 15:55:15
75.1 15.0
-9.9
18.9
GRB060219
22:48:05 241.8 32.3
-55.1
7.0
GRB060312
01:36:12
45.8 12.8
-25.7
19.6
GRB060319
00:55:42 176.4 60.0
2.5
13.1
GRB060323
14:32:36 174.4 50.0
-3.7
21.7
GRB060421
00:39:23 343.6 62.7
-1.0
11.2
GRB060424
04:16:19
7.4 36.8
-17.6
19.9
GRB060427
11:43:10 124.2 62.7
-8.0
54.0
GRB060428B 08:54:38 235.4 62.0
-15.0
81.0
GRB060501
08:14:58 328.4 44.0
-0.7
21.2
GRB060502A 03:03:32 240.9 66.6
-3.7
24.7
GRB060502B 17:24:41 278.9 52.6
0.0
0.2
Continued on next page...

74
Table 5.4: (continued)
GRB
T
0
RA
Dec
T
1
T
2
Notes
GRB060507
01:53:12
89.9 75.2
-3.5 179.7
GRB060510B 08:22:14 239.2 78.6
31.0 301.7
GRB060512
23:13:20 195.7 41.2
-3.6
4.8
GRB060515
02:27:52 127.3 73.6
2.1
54.4
GRB060522
02:11:18 323.0
2.9
5.3
69.3
GRB060526
16:28:30 232.8
0.3
0.3 298.5
GRB060602A 21:32:12 149.6
0.3
4.5
66.6
GRB060607B 23:32:44
42.0 14.7
0.6
28.2
GRB060717
09:07:38 170.9 29.0
-0.2
2.8
GRB060801
12:16:15 213.0 17.0
0.1
0.6
GRB060805
04:47:49 220.9 12.6
-1.2
4.3
GRB060807
14:41:35 252.5 31.6
-22.3
21.0
GRB060814
23:02:19 221.3 20.6
1.0 146.3
GRB060825
02:59:57
18.1 55.8
-2.0
6.0
GRB060904A 01:03:21 237.7 45.0
-1.0
79.1
GRB060906
08:32:46
40.7 30.4
-39.9
3.6
GRB060912A 13:55:54
5.3 21.0
-0.1
4.9
GRB060923A 05:12:15 254.6 12.3
-40.8
10.8
GRB060923C 13:33:02 346.1
3.9
8.9
77.3
GRB060926
16:48:41 263.9 13.0
0.2
8.2
GRB061002
01:03:29 220.4 48.7
-1.6
16.0
GRB061019
04:19:06
91.6 29.5 -167.8
12.5
GRB061028
01:26:22
97.2 46.3
56.4 162.6
GRB061110B 21:58:45 323.9
6.9
-13.7 120.3
Columns: T
0
– time of satellite trigger (UTC), RA – right ascension of GRB [
], Dec –
declination of GRB [
], T
1
– window start relative to trigger [s], T
2
– window end relative
to trigger [s]
5.4 IceCube
During the IceCube 22-string running period, 48 GRBs were observed by satellites in the
northern hemisphere. We perform stability studies similar to those used in the AMANDA analysis
to determine the suitability of individual bursts for analysis. A somewhat more conservative and
robust method is chosen to determine burst durations. In addition, in order to model the neutrino
flux from each burst, we must record the parameters of the photon emission. We extract these data

75
from GCN circulars, GCN reports, and the online databases for the satellites [78, 25, 84, 79, 80].
5.4.1 Detector Stability Criteria
During the 22-string IceCube data taking period, a special GRB filter ran online at the pole.
GCN notices were sent via satellite, triggering data extraction when bursts occurred. The filter
extracted raw data in a two hour window surrounding the trigger time of each burst for which an
alert was issued. The original purpose of this filter was to allow for the selection of specialized event
selection for GRB analyses starting at a very low level as well as providing an estimate of the off-time
background rate. However, studies showed that the standard upgoing muon filtering provided an
excellent starting point for northern hemisphere GRB searches, and experience with the 2005-2006
AMANDA analysis proved that in order to have sufficient statistics for accurate background rejection,
the entire year’s off-time data was needed
3
. The data from the GRB filter is thus used to measure
the stability of the detector in the time surrounding each burst.
We perform the same stability checks as in the AMANDA analysis, looking at the event times,
rate distribution, and times between events in the two hour stability region. A sample of these
tests is shown in Fig. 5.4. Of the 48 bursts originally in the northern sky sample, 7 are removed
due to various problems with the detector (see Table 5.5). One of these bursts, GRB080319B, was
the subject of a dedicated analysis [13] which served as a proof of concept for the application of an
unbinned likelihood method to GRB searches. This leaves a final sample of 41 gamma-ray bursts for
the 2007-2008 IceCube analysis.
5.4.2 Burst Duration Determination
A major goal in the IceCube analysis was to avoid the uncertainty and decision making that
was inherent in the determination of burst durations in the 2005-2006 analysis. In light of this, an
approach was adopted that gave consistent and conservative values for the duration of each burst.
In the GCN Report issued for each GRB, a quantity known as the T
100
of the burst is given. This
3
The filtered data is still very valuable for GRB searches focusing on the southern hemisphere [93] or searches for
GRB neutrino-induced cascades which are sensitive over the full sky [94].
4
This exceptionally bright burst occurred during a detector maintenance period, when only 9 strings were operating.
Due to its high interest to the astrophysical community, an individual analysis of this burst was conducted. For details,
see [13].

76
(a) event times
(b) rate distribution
(c) time between events
Figure 5.4: Sample detector stability plots for GRB070724. Panel (a) shows the event
times in a 2 hour window surrounding the trigger time. Note the loss of data at the end
of the window. Panel (b) shows the distribution in the event rate per 10 s, fitted with
a Gaussian. Panel (c) shows time difference between subsequent events in the detector,
fitted with an exponential.
Burst
Problem
GRB070610
missing strings 29,38
GRB070714A no data
GRB070810A no data
GRB080122A no data
GRB080207A occurred during flasher
run
GRB080210
high
rates,
probable
flasher run
GRB080319A no data
GRB080319B no IC22 data
4
Table 5.5: GRBs with problems in the data in 2007-2008. It was decided to include
GRB070610 in the analysis and produce a special simulation for this burst that took into
account the reduced number of strings.
is defined as the full time window used to integrate the burst fluence. Inspection of the associated
light curves reveals that T
100
is a conservative determination of the burst duration that includes all
relevant prompt emission. Furthermore, T
100
is well-defined for all bursts and start (T
1
) and end
(T
2
) times with respect to each trigger are given. We therefore opt to use this parameter as the burst
duration for all 41 GRBs in our final sample. The total prompt emission of the 41 GRBs in our
sample is 4960.6 s. Table 5.6 shows the spatial and temporal information for these bursts. For a full
listing of photon and neutrino spectral information refer to Section 8.2.

77
Table5.6:SpatialandTemporalInformationfor41GRBsObservedin2007-2008
GRB
T
0
RA
Dec
T
1
T
2
GRB
T
0
RA
Dec
T
1
T
2
GRB070610
08:52:26298.826.2
-0.8
4.4
GRB071101
05:53:46
48.262.5
-1.9
10.0
GRB070612A02:38:45121.437.3
-4.7418.0
GRB071104
11:41:23295.614.6
-5.0
17.0
GRB070616
04:29:33
32.256.9
-2.6602.2
GRB071109
08:36:05289.9
2.0
-5.0
35.0
GRB070704
08:05:57354.766.3-57.3400.8
GRB071112C06:32:57
39.228.4
-5.0
30.0
GRB070714B04:59:29
57.828.3
-0.8
65.6
GRB071118
08:57:17299.770.1-25.0110.0
GRB070724B11:25:09
17.657.7
-2.0120.0
GRB071122
01:23:25276.647.1-29.4
47.3
GRB070808
06:28:00
6.8
1.2
-0.7
41.4
GRB071125
01:56:42251.2
4.5
-0.5
8.5
GRB070810B03:19:17
9.0
8.8
0.0
0.1
GRB080121
09:29:55137.241.8
-0.4
0.4
GRB070917
07:33:57293.9
2.4
-0.1
11.4
GRB080205
07:55:51
98.362.8-10.1105.3
GRB070920A04:00:13101.072.3
15.1
75.0
GRB080211
07:23:39
44.060.0-10.0
50.0
GRB071003
07:40:55301.910.9
-7.6167.4
GRB080218A08:08:43355.912.2-12.8
18.6
GRB071008
09:55:56151.644.3-11.0
14.0
GRB080307
11:23:30136.635.1
1.7146.1
GRB071010B08:45:47150.545.7-35.7
24.1
GRB080310
08:37:58220.1-0.2-71.8318.7
GRB071010C10:20:22338.166.2
-2.0
20.0
GRB080315
02:25:01155.141.7
-5.0
65.0
GRB071011
12:40:13
8.461.1
-9.5
63.8
GRB080319C12:25:56259.055.4
-0.3
51.2
GRB071013
12:09:19279.533.9
-5.9
23.4
GRB080319D05:05:09
99.523.9
0.0
50.0
GRB071018
08:37:41164.753.8
-50417.7
GRB080320
04:37:38177.757.2-60.0
40.0
GRB071020
07:02:27119.732.9
-3.0
7.4
GRB080325
04:09:17277.936.5-29.3170.5
GRB071021
09:41:33340.623.7-31.4252.2
GRB080328
08:03:04
80.547.5
-2.2117.5
GRB071025
04:08:54355.131.8
38.5193.8
GRB080330
03:41:16169.330.6
-0.5
71.9
GRB071028A05:41:01119.821.5
0.0
48.9
Columns:
T
0
–timeofsatellitetrigger(UTC),RA–rightascensionofGRB[
],Dec–declinationofGRB[
],
T
1
–windowstart
relativetotrigger[s],
T
2
–windowendrelativetotrigger[s]

78
Chapter 6
Simulation
We use off-time data to determine background rates and therefore simulation of these backgrounds
is not strictly necessary in the final analyses. However, it is useful as a check of general agreement
between the expectation and the measurement, as well as to give an idea of what the contamination
of various backgrounds in the final data set is. Of course, we must also perform a simulation of the
signal neutrinos in order to determine the sensitivity of the analyses.
Simulation proceeds in several stages. In the first, generators create primary particles from
input flux models, assigning relevant information such as energy, direction, type, and so on. Prop-
agators then transport these primaries through various media (atmosphere, rock, ice) taking into
account energy losses and the production of numerous secondaries. Propagators also track the pho-
tons created via the Ceˇ renkov mechanism. Finally, a detector simulation models the response of the
detector. We discuss each in the following sections.
6.1 Generators
We simulate extensive air showers and propagate the resulting muons through the atmosphere
with Corsika [95]. We combine single downgoing muons to create coincident muon events at the
proper rate. For the AMANDA simulation, neutrinos are generated with nusim [96]. Cross sections
are calculated from the MRS parton distribution functions [97]. For IceCube, a re-implementation
of the neutrino generation package anis [98] is used, applying the CTEQ-5 [99] cross sections. These
packages are in general quite similar. Neutrinos are generated randomly on the Earth’s surface
and then propagated through it, taking into account absorption by charged current interactions and

79
energy losses due to neutral current interactions (and subsequent regeneration). The structure of
the Earth is given by the Preliminary Reference Earth Model (PREM) [100]. In order to reduce
computation times, it is assumed that all generated neutrinos that reach the detector interact with
the nearby rock or ice to produce secondary particles (we are interested only in the muons for the
analyses presented here). Each event is then assigned a weight representing the probability that the
interaction occurred. It is possible to select the neutrino generation spectrum as well and the spectral
slope is typically chosen to maximize statistics in the energy regime of interest. For GRB neutrinos we
use signal generated with an E
㡇 1
spectrum, while for simulating the atmospheric neutrino background
we choose E
㡇 2
. These choices increase event rates at high or low energies, respectively. Each event
is then re-weighted to match the actual spectra of interest. For signal, the models are described in
section 2.3. Atmospheric neutrinos are assumed to follow the flux given by Barr et al. [101].
6.2 Propagators
Once the neutrino interaction occurs or a muon passes through the atmosphere and penetrates
the Earth, we use Muon Monte Carlo (mmc) [67] to propagate the secondaries through rock
and ice and track the resulting energy losses. mmc takes both continuous and stochastic losses into
account and this information is passed to the photon transport simulation.
The Ceˇ renkov light generated by passing muons is propagated from the track through the
detector volume with the software package Photonics [76]. The full structure of the ice detailed
in section 3.5 is considered, varying scattering and absorption as a function of both wavelength and
depth. At each point in space the photon intensity and time residual information is stored in look-
up tables corresponding to different source orientations. When called, the probability distribution
functions for the simulated light pattern can then be quickly given.
6.3 Detector Simulation
The detector response to simulated photons is modeled by a group of software programs
operating in concert. Since AMANDA and IceCube operate on somewhat different principles, we
consider each individually.

80
6.3.1 AMANDA
The AMANDA response to Ceˇ renkov photons is simulated by amasim [102]. The detector
layout is described by a geometry file. This file also includes important information for each optical
module in the array, including discriminator threshold, noise rate, relative sensitivity, cable travel
times, and pulse shape definitions. Most of these parameters are measured on a per OM basis during
calibration tests. For example, since AMANDA uses a variety of cabling technologies (twisted wire
pair, coax, optical), the pulse shapes of the PMT response can vary substantially when read at the
surface. Thus, the shape for each OM can be set to most accurately reproduce measured data. The
behavior of the surface amplifiers is simulated, taking into account saturation effects. In the trigger
simulation, the number of overlapping pulses from hits is counted. If it exceeds the trigger condition,
the event is recorded.
6.3.2 IceCube
In the IceCube detector, all event information is digitized in situ. Therefore, the detector
response simulation starts and ends in the DOMs. The package IceSim collects various subroutines
that model each aspect of the DOM response. Geometry and calibration files are used to determine
the physical locations and operating status of each DOM in the detector. As described above, each
DOM queries the Photonics tables to determine the photon distribution at that point in space.
A simple PMT simulator then takes this light and produces an electrical waveform, assigning each
photon a charge sampled from a distribution that agrees with measurements
1
. A simulation of the
DOM is then performed. The discriminator threshold and ATWD launch are modeled and ATWD
and fADC waveforms are filled from the PMT simulation output. Local Coincidence conditions are
also checked. A simple module adds random noise hits throughout the array and a simulation then
checks whether the conditions are satisfied for different physics triggers. In the case an event is
triggered in simulation, the information is read out and processed identically to data.
1
Angle of incidence on the PMT and wavelength dependence are folded into Photonics.

81
Chapter 7
AMANDA-II Analysis
The AMANDA-II analysis consists of a search for high-energy muon neutrinos from 85 northern
hemisphere GRBs observed during 2005-2006 by the Swift, Integral, and HETE-II satellites. The
procedure by which these bursts were selected is outlined in Chapter 5. One can choose to optimize
a search for contribution from individual bursts, or for the integrated signal from a stacked collection
of bursts. In this analysis we use the latter approach and utilize a binned search method. We present
the full analysis chain, beginning with data filtering. We describe the way in which we optimize the
event selection and present the sensitivity and discovery potential of the analysis. Finally we discuss
the results of the search. For the reader primarily interested in final event samples and results, we
recommend beginning reading from section 7.5.
7.1 Filtering
We begin our analysis of this dataset with a sample of upgoing events, selected by a series of
quality filters common to many analyses. Simple and fast reconstructions are applied at low filter
levels, while more CPU-intensive reconstructions are applied after the dataset has been substantially
reduced. Table 7.1 summarizes these filters. They are described in detail in the following sections.
7.1.1 Level 1 Filter
We first performed a selection to remove bad files from the analysis and bad OMs from events.
A procedure was followed to remove those files or OMs with noise rates that deviated from the mean
by more than a certain amount. Studies showed that this cleaning had similar results to those that

82
Filter Level
Processing / Selection
Level 1
Hit Calibration
Modified Crosstalk Cleaning
Bad OM cleaning
Good Amplitude, TOT, LE Time selection
θ
JAMS
> 70
Level 2
Multiplicity Trigger Fired (N
ch
> 24)
θ
DW
> 80
Level 3
Add string-triggered Level 2 events
θ
P
> 80
Table 7.1: Summary of 2005-2006 AMANDA-II upgoing muon filters.
had been conducted for previous analyses. In addition, some OMs were removed completely from
the analysis based on known long term problems or geometrical reasons.
We also wished to remove unstable running periods from the analysis. The bad file selection
above showed that in general, the periods before February 16
th
and after October 31
st
were unstable,
due to increased activity during the austral summer construction seasons. However, for GRB analyses,
unlike time integrated searches, we are only concerned with the period immediately surrounding each
burst. Therefore, we do not exclude these unstable periods as such, but rather apply the detector
stability criteria as outlined in Chapter 5.
After the removal of unstable OMs from each remaining event, we calibrate the hits. We then
perform a cleaning to remove crosstalk induced hits between electrically coupled OMs. For this anal-
ysis we made a study to improve the cleaning algorithm and minimize the remove of signal-like events.
A method combining maps of electrical talkers and receivers, relations between measured charge and
time over threshold, and exceptions to retain particularly energetic events was implemented. We also
remove hits that are isolated in space or time, as these are likely to be due to random noise.
We reconstruct the direction of each event using the JAMS and Direct Walk algorithms
described in Chapter 3. Studies comparing the reconstructed track directions with true directions
of the injected neutrinos showed that JAMS had a lower fake rate for the same signal efficiency at
low filter level. We therefore use JAMS as our first, loose selection of upgoing muons and require
θ
JAMS
> 70
.

83
7.1.2 Level 2 Filter
After making a loose cut on the JAMS zenith angle, the data set is reduced enough to perform
more computationally intensive reconstructions. Single iteration likelihood fits are performed and the
results stored. The upgoing sample is further defined by selecting only those events with a Direct
Walk zenith angle above 80 degrees (θ
DW
> 80
). Finally, a software re-triggering is performed,
checking that the 24 channel multiplicity condition is still satisfied after OM and hit cleaning.
7.1.3 Level 3 Filter
In the final level of upgoing muon filtering, we perform the most complicated reconstructions. A
16-iteration fit is conducted using the single photo-electron Pandel function described in section 3.6.4.
This constitutes our most accurate unbiased reconstruction for the analysis. We also perform a 32-
iteration fit with a Bayesian weighted likelihood function
1
. To increase our sensitivity to high
quality events that may not have high multiplicity, we also include at this time a large sample of
string-triggered events. These are events that may have a lower total number of hit channels, but
have a number of hits per string that indicates a possible physics signature. For our full sample
of events, we require that our best reconstruction indicate an upgoing (or shallow horizon) track;
θ
P
> 80
.
7.1.4 Flare Checking
While the hit cleaning procedures we have outlined do an excellent job at removing random or
cross-talk induced hits from events, they do not handle another problem prevalent in AMANDA data.
Sometimes, due to surface winds, electromagnetic disturbances, and other factors, entire, completely
unphysical events will coalesce in the detector. We refer to these as “flares”. Flare checking procedures
have been standardized to determine the likelihood that an event is unphysical in origin [103]. We
removed events that appeared to be more flare-like based on these checks. Specifically, we correlated
hits between strings with twisted pair cabling and coaxial cabling to check for inductance coupling
as well as looking at the time-over-threshold of hits to determine if they seemed too short. Only a
1
In a rare (< 0.006%) subset of events, the zenith weighted reconstruction returns a track above the horizon. This
should not be possible, as the distribution function for downgoing muons goes to zero in this region. This is due to a
bug in the reconstruction code and these events are removed from the analysis.

84
very small number of events (0.02%) are classified as flary and removed from the analysis.
7.1.5 Starting Dataset
After applying the filters described above and summarized in Table 7.1, we have a sample of
5.21 million events from 2005 and 4.89 million events from 2006. The total livetimes are 199.29 days
and 186.95 days, respectively. The distributions of event variables between the years at this level
shows good agreement, as seen in Fig. 7.1.
2005
2006
Livetime (days)
199.29
186.95
Raw events
2.06 B
2.00 B
L1
184 M
177 M
L2
L3
5.21 M 4.89 M
Scaled to GRB ontime
1703.9
(5343.8 s)
Table 7.2: AMANDA-II upgoing filter passing rates.
7.2 Signal Spectrum
For this analysis, we search for neutrino emission during only the prompt phase of the GRB.
Using the diffuse all-sky flux calculated by Waxman and Bahcall [49, 104] (see section 2.3.1), we
determine the signal contribution from each burst in our sample, assuming each GRB produces
an equal number of neutrinos. We chose to use this approach rather than calculating a different
neutrino fluence for each burst for several reasons. First, we are performing a stacked analysis, and
so the individual contributions are not as important as the total signal expectation. Second, the
optimization is only weakly dependent on the spectral distribution. Finally, it was deemed to be
logistically impractical to collect the necessary burst data and perform the spectral calculations
2
.
We show the response of AMANDA to the Waxman-Bahcall model after applying upgoing muon
filters in Figure 7.2.
2
An increase in manpower and better dissemination of observation data from satellites made per burst spectral
calculation for large samples of GRBs a reality starting with the IceCube analysis presented later in this thesis.

85
Figure 7.1: Comparison of 2005 and 2006 data after all upgoing muon filters have been
applied as described in section 7.1. The difference in the center of gravity of hits between
the samples is due to a different file and OM selection for each year.(Figure courtesy Jim
Braun)

86
E
ν
[GeV]
3
10
4
10
5
10
6
10
7
10
8
10
9
10
]
-1
sr
-1
s
-2
dN/dE [GeV cm
2
E
-12
10
-11
10
-10
10
-9
10
-8
10
-7
10
-6
10
10
E
ν
[GeV]
log
1
2
3
4
5
6
7
8
events
0
0.05
0.1
0.15
0.2
0.25
0.3
0.35
-3
×10
Single Waxman Bahcall GRB: 0.0066 evts
Figure 7.2: The response of AMANDA-II to the neutrino fluence predicted by the Waxman
Bahcall model (shown at left) for a single average GRB. The simulation is averaged over the
full sky and the result is shown at upgoing muon filter level. Convolution of the spectral
shape and the detector effective area yields a strong peak in the event predication at
10
14
eV.
7.3 Event Selection Variables
After filtering is complete, the data set is still background dominated. Mis-reconstructed
cosmic-ray induced muons (downgoing but reconstructed as upgoing) dwarf the neutrino sample by
a factor 10
3
. Similarly, the atmospheric neutrinos are much more numerous than the predicted GRB
neutrino fluence (see Fig. 7.3). The event selection thus consists of finding a set of variables that
efficiently separate signal-like and background-like events and optimizing the cuts on these variables.
We describe the parameters used below. We also briefly discuss several promising event variables
that were investigated and the reason for their exclusion.
7.3.1 Paraboloid Sigma
We fit a parabola to the likelihood space of the iterative Pandel track reconstruction, centered
at the best-fit minimum. The width of this parabola, σ, gives an estimate of the reconstruction error
of the track. We perform this in 2 dimensions, obtaining σ
1
and σ
2
, the error estimates along the 2

87
cos
θ
P
-1 -0.8 -0.6 -0.4 -0.2 -0 0.2 0.4 0.6 0.8
1
events in GRB ontime
-3
10
-2
10
-1
10
1
10
2
10
3
10
data
downgoing muons
prompt GRB
ν
atm.
ν
Figure 7.3: Background contamination in the 2005-2006 dataset after application of the
upgoing muon filters. Data and background simulation have been rescaled to the total
prompt phase GRB ontime of 5343.8 s.
axes of the error ellipse. We then combine these to a single parameter
σ =
4
?
σ
2
1
σ
2
2
.
(7.1)
Well reconstructed tracks (upgoing neutrinos) will have a small reconstruction error, while mis-
reconstructed downgoing muons will tend to have a larger value of σ. Distributions at upgoing filter
level are shown in Fig. 7.4.
7.3.2 Likelihood Ratio
Our muon reconstructions return the likelihood that the found track is correct. We can then
compare the likelihood of two different reconstructions to make an estimate of which is more prob-
able. We find that the likelihood ratio between the unbiased Pandel reconstruction and the zenith

88
σ
[
°
]
0
5
10
15
20
25
Normalized Units
0
0.02
0.04
0.06
0.08
0.1
0.12
0.14
data
downgoing muons
prompt GRB
ν
atm.
ν
(a) differential
σ
[
°
]
0
5
10
15
20
25
Normalized Units
0
0.2
0.4
0.6
0.8
1
(b) integral
Figure 7.4: Differential and integral distributions of the track reconstruction error esti-
mator σ at upgoing muon filter level. Vertical axes are normalized to highlight differences
in shape. Note that truly upgoing events (neutrinos) have a better error estimate that
mis-reconstructed muons.
weighted reconstruction L
P
/L
B
forms an excellent quality parameter for rejecting mis-reconstructed
downgoing muons. The strong separation power is shown in Fig. 7.5. It is important to note, how-
ever, that this parameter is strongly zenith dependent. Near the horizon, there is not much difference
between an upgoing and downgoing reconstruction. Near the vertical, the separation power increases
vastly.
7.3.3 Space Angle
Although mis-reconstructed downgoing events can be reduced by track quality selections as
described above, there remains an irreducible background of upgoing atmospheric neutrinos. This
remaining background is reduced by selecting only events that occur within an angular bin around
the location of each GRB. We define this space angle ψ as the dot product between the direction of
the burst and the direction of the best reconstructed track
ψ = arccos (sin θ
GRB
sin θ
P
cos(φ
GRB
㡇 φ
P
) + cos θ
GRB
cos θ
P
).
(7.2)

89
Likelihood Ratio
0
10
20
30
40
50
60
Normalized Units
0
0.02
0.04
0.06
0.08
0.1
0.12
data
downgoing muons
prompt GRB
ν
atm.
ν
(a) differential
Likelihood Ratio
0
10
20
30
40
50
60
Normalized Units
0
0.2
0.4
0.6
0.8
1
(b) integral
Figure 7.5: Ratio of reconstruction likelihood for unbiased vs. zenith weighted reconstruc-
tions at upgoing muon filter level. Vertical axes are normalized to highlight differences
in shape. In this figure, distributions are averaged over the whole sky, projecting out the
strong angular dependence.
ψ
[
°
]
0
20
40
60
80 100 120 140 160 180
Normalized Units
0
0.05
0.1
0.15
0.2
0.25
data
downgoing muons
prompt GRB
ν
atm.
ν
(a) differential
ψ
[
°
]
0
20
40
60
80 100 120 140 160 180
Normalized Units
0
0.2
0.4
0.6
0.8
1
(b) integral
Figure 7.6: Space angle distribution at upgoing muon filter level for a sample GRB places
at θ = 90
, φ = 220
. Backgrounds are isotropically distributed in relation to the burst
direction, while the signal is strongly correlated.

90
7.3.4 Other Variables
Recall that we define direct hits as those which fall within a certain time window relative to
the expectation from unscattered Ceˇ renkov light. In principle direct hits should be an excellent event
quality parameter. Many direct hits indicates a well-reconstructed track that agrees with the expected
light distribution as well as indicating high energies (many hits in the detector). We therefore initially
considered using direct hits in our event selection, as well as several other parameters based on direct
hits such as track length and smoothness (a measure of the evenness of light deposition along the
track). However, we found a peculiar feature whereby higher energy events oftentimes had a number
of direct hits exactly equal to zero. In fact, the fraction of such events increases proportional to the
energy (see Fig. 7.7).
E
ν
[GeV]
10
log
1
2
3
4
5
6
7
8
fraction
0.0
0.1
0.2
0.3
0.4
0.5
GRB signal with Ndirb=0
GRB signal with Ndirc=0
Figure 7.7: Fraction of GRB signal neutrinos with a number of direct hits exactly equal to
zero. The increase proportional to energy indicates an unphysical situation. We show the
distribution for two definitions of direct hits; b (㡇 15 < t
res
< 25) and c (㡇 15 < t
res
< 75),
given in units of ns. Note that for a more relaxed time window, the problem is less severe,
in agreement with the explanation given in the text.

91
It was also discovered that many of these events are extremely well-reconstructed, which does
not seem to make sense. Studies of this phenomena showed that this effect was due to a feature of
the reconstruction algorithm. We use the Pandel likelihood describing the probability distribution
function for a single photoelectron. In reality, for high energy events, we have many photon hits
in each optical modules. We therefore should be fitting the first of many photoelectrons. While
the track direction itself is not affected, this causes a systematic shift to earlier vertex times
3
.
Depending on the definition of the direct hit window, this causes a fraction of events with a large
number of hits to register as having no direct hits. Once this problem was identified, we began to
use a multi-photoelectron PDF that correctly describes the first photon of many. However, for this
analysis (and the IceCube analysis we describe in Chapter 8) this MPE fit was not available and so we
found alternate solutions. For the 2005-2006 analysis this consisted of removing from consideration
variables based on direct hits. We found that the event variables described above were robust and
sufficient to reduce the background to low levels.
7.3.5 Temporal Coincidence
The expected temporal coincidence of prompt GRB neutrinos with the observed photon emis-
sion allows for extremely powerful background suppression. Scaling the full background to the total
prompt emission ontime for this analysis of 5343.8 s, we achieve a 99.98% rejection of backgrounds.
By leveraging this temporal coincidence we will be able to make statistically significant discoveries
with only a very few events, as we will discuss further later.
7.4 Optimization
We now address the question of how best to reject the overwhelming backgrounds while leaving
ourselves able to detect the predicted signal. We must first decide what we will optimize and then
how we will go about doing it. In many experiments, one uses signal over square root background
as the figure of merit. However, this breaks down in the very low statistics regime in which we find
ourselves. Another possibility is to choose cuts to maximize the limit setting potential in the event of
a non-observation [105]. In principle this would be a sound choice. However, the ability of a stacked
3
This is due to the formulation of the single photon PDF. The peak expected time is systematically later than the
first of many photons, and the reconstruction tries to match each first photon to the later peak.

92
GRB analysis to set limits scales with the number of bursts in the sample. A previous search with
AMANDA data for coincidences with a sample of over 400 bursts has been performed and an upper
limit set [8]. Due to the large size differences between the data samples, we do not expect to be
able to challenge this limit. Rather, our sole aim is to make a discovery. To this end, we choose
to optimize our event selection to maximize such a discovery potential using the method of Hill et
al. [106].
In the Model Discovery Potential (MDP) method, we determine what factor of a predicted
flux is necessary in order to make an observation (discovery) at a stated significance level, and seek to
minimize that factor. The concept is best illustrated by example. Let us assume we have a predicted
neutrino flux Φ(E). After convolution with the detector response and application of background
rejecting cuts, this flux produces a number of events in the detector n
s
. With the same cuts, we
have a background prediction n
b
. We unblind our data and make an observation n
obs
. In order to
determine whether n
obs
is consistent with the background only hypothesis, we must determine what
the probability is of observing the same or greater number of events P (≥ n
obs
|n
b
). Conversely, we can
define some small probability α a priori, and ask what is the necessary n
obs
to reject the background
only hypothesis at that confidence level. We define the critical number of events as
α > P (≥ n
crit
|n
b
)
(7.3)
where in our case, P is given by the Poisson distribution. Presumably an observation of n
crit
would
indicate the presence of a signal
4
. In this case, the probability (or statistical power) of observing
n
crit
is given by
1 㡇 β = P (≥ n
crit
|n
b
+ n
lds
).
(7.4)
1 㡇 β tells us the percentage of hypothetical experiments that would make a discovery at the α
significance level given a least detectable signal n
lds
. The ratio of n
lds
to the signal prediction n
s
then gives the flux factor necessary for a discovery. We term this the Model Discovery Factor (MDF).
4
Note that an observation inconsistent with the background only hypothesis says nothing whatsoever about the
origins of the signal that is seen. It merely rejects the lack of something.

93
By varying the cut selection and repeating this calculation, we can minimize the MDF necessary. For
the 2005-2006 AMANDA analysis, we choose to let α = 5.73 × 10
㡇 7
and 1 㡇 β = 0.9. That is, we
seek to minimize the flux needed to make a 5σ discovery in 90% of experiments.
One possible method to implement the event selection is to feed all chosen variables into a
machine-learning algorithm and then optimize the discovery potential on the single output parameter.
We conducted studies using a Support Vector Machine (SVM) with encouraging results. However,
the gains over traditional methods were modest and the accompanying reduction in transparency
was deemed too large. This method was therefore not used for this analysis. However, the technique
was later adopted by collaborators in a search for GRB neutrinos in the 22-string IceCube dataset
complementary to that presented in this thesis [93, 107]. The effort expended in understanding and
implementing an SVM for GRB searches was thus well founded. Details of this optimization strategy
may be found in Appendix C.
We choose instead to perform an iterative optimization, scanning the multidimensional pa-
rameter space of our selected event variables to find the set that globally maximizes the discovery
potential of the analysis. Furthermore, even a casual inspection of Fig. 7.3 reveals a strong zenith
dependence in the signal and background rates. Near the horizon, both background and signal rates
are much larger than near the vertical. The reasons for this are several. In the background case,
contamination from downgoing muons is greater near the horizon, where the difference in track re-
constructions is not as great. For GRB neutrinos, the reason is somewhat different. At very high
energies, neutrinos begin to be absorbed by the Earth (see Fig. 3.1). As more Earth is traversed
the absorption increases, and thus for a hard energy spectrum like that of GRBs, we expect a peak
in signal rates near the horizon. In addition to differences in rates, the distributions of our event
variables have an angular dependence. Track reconstructions are generally better for more vertical
events, giving a zenith dependent resolution. The likelihood ratio between the unbiased and zenith
weighted reconstructions is similarly zenith dependent. Even for excellent neutrino tracks recon-
structed near the horizon, the ratio is low because there is not much difference between the upgoing
and downgoing track hypotheses. For all these reasons, we choose to perform a zenith dependent
event selection optimization.

94
We therefore place fake sources at intervals of 10 degrees in zenith. Because our simulation
is generated isotropically over the sky, this involves re-weighting of the Monte Carlo. In order to
preserve the event distributions of the zenith angle under consideration, we choose only events that
fall within a ±1
band around the chosen source location. The simulation is then scaled by the
ratio of the solid angle within that zenith band to the total simulated solid angle. This procedure
does a good approximation of point sources located at the positions specified without necessitating
a dedicated simulation production.
We simultaneously optimize the cuts on our event variables in each zenith band, weighting the
signal contribution to the full expectation from our 85 GRB sample. In each bin, a minimum MDF
is found. We plot the set of optimal cuts and determine a parameterization that spans the entire
zenith range based on these values. We strive to remain as close to the optimal cuts as possible, while
still respecting the parameter distributions. The final cut parameterizations are depicted in Fig. 7.8
and summarized in Table 7.3. The cut on space angle is slightly tighter at higher zenith angles,
reflecting the improved angular resolution away from the horizon. For the likelihood ratio, the cut
must decrease near the horizon to allow for the weakening of the distinction between upgoing and
downgoing reconstructions here. Away from the horizon, a strong cut is used to ensure background
rejection. The Model Discovery Potential space is rather flat, so fixing the cut at high zenith values
does not cause a large change in MDF. The paraboloid sigma cut decreases towards the vertical as
well, once again reflecting the improved angular resolution. We choose to keep the cut tight near the
horizon to help remove the relatively larger amounts of background.
Variable
Parameterized Cut
σ < 3.2 㡇 0.02 · Θ(θ
P
㡇 105) · (θ
P
㡇 105)
L
P
/L
B
> 36 㡇 0.18 · Θ(115 㡇 θ
P
) · (115 㡇 θ
P
)
ψ < 4.6 · Θ(120 㡇 θ
P
) + 3.7 · Θ(θ
P
㡇 120)
Table 7.3: Parameterized event selection for the 2005-2006 AMANDA analysis. Θ is the
Heaviside unit step function.

95
θ
GRB
[°]
σ
[°]
θ
GRB
[°]
Likelihood Ratio
θ
GRB
[°]
ψ
[°]
Figure 7.8: Optimized cuts and parameterization for the 2005-2006 AMANDA analysis.
Red squares indicate the optimal cut in each zenith band. Solid black line shows the
parameterized cuts for the full zenith range. Efforts were made to choose cuts that followed
the zenith dependence of the variables while still retaining sufficient background rejection.
For this reason, we tended on the side of a stricter event selection.

96
θ
P
[
°
]
90 100 110 120 130 140 150 160 170 180
]
°
[
σ
0
2
4
6
8
10
12
14
16
18
20
(a) data
θ
P
[
°
]
90 100 110 120 130 140 150 160 170 180
]
°
[
σ
0
2
4
6
8
10
12
14
16
18
20
(b) GRB signal
θ
P
[
°
]
90 100 110 120 130 140 150 160 170 180
Likelihood Ratio
10
15
20
25
30
35
40
45
50
(c) data
θ
P
[
°
]
90 100 110 120 130 140 150 160 170 180
Likelihood Ratio
10
15
20
25
30
35
40
45
50
(d) GRB signal
Figure 7.9: Zenith dependence of the σ and likelihood ratio event variables. z-axes rep-
resent the probability distribution and are shown in log scale. Parameterized cuts are
overlaid (solid black line). This projection clearly shows the benefit derived from the cuts
selected.

97
σ
[
°
]
0
2
4
6
8
10
12
14
events
-7
10
-6
10
-5
10
10
-4
-3
10
10
-2
10
-1
1
10
10
2
data
prompt GRB
ν
(a) filter level
σ
[
°
]
0
2
4
6
8
10
12
14
events
-7
10
-6
10
-5
10
10
-4
-3
10
10
-2
10
-1
1
10
10
2
data
prompt GRB
ν
(b) all but σ cut
Likelihood Ratio
0
10
20
30
40
50
60
events
-7
10
-6
10
-5
10
10
-4
-3
10
10
-2
10
-1
1
10
10
2
data
prompt GRB
ν
(c) filter level
Likelihood Ratio
0
10
20
30
40
50
60
events
-7
10
-6
10
-5
10
10
-4
-3
10
10
-2
10
-1
1
10
10
2
data
prompt GRB
ν
(d) all but likelihood ratio cut
Figure 7.10: We show here the effect of applying all final cuts except one on a given
parameter. Left panels show rates of data (black dots) and GRB signal (blue lines) at
filter level. Right panels show the same distributions after applying the space angle cut
and either the likelihood ratio cut (top right) or σ cut (bottom right). In each case it is
clear that additional separation power is available in the remaining variable, and we take
advantage of this. All plots are for a fake source placed at θ
GRB
= 135
.

98
7.5 Final Event Sample
We obtain a precise estimate of the background by applying the event selection described above
to the full livetime of the 2005 and 2006 datasets and rescaling the remaining events to the summed
GRB emission windows. As described in Chapter 5, we ensure that this sample contains no signal
by removing 10 minutes of data centered around each burst
5
. To determine the signal retention, we
re-weight our simulation to approximate point sources at the locations of each GRB using the method
outlined in section 7.4. This allows us to fold in the full angular dependence of the detector response
to our signal. We also take into account detector deadtime. For each GRB we consult the run logs
associated with that time period and determine the deadtime fraction. For the full 2005-2006 GRB
sample, the averaged deadtime is 16.6%. Simulated signal and background is downscaled accordingly.
Taking this into account, we expect a stacked signal from the 85 burst sample of 0.166 events, on a
background of 0.00087 events. This is summarized in Table 7.4. Our choice of optimization strategy
results in an extremely low background prediction, allowing a significant detection with only a small
number of events. The zenith distribution of the final sample is shown in Fig. 7.11. Distributions
in our event selection parameters are shown in Figures 7.12, 7.13, and 7.14. As can be seen, with
this event selection, most of the data is atmospheric neutrinos. The remaining downgoing muon
contamination is estimated at 18%. Signal efficiency averaged over the whole sky is 39.7%, although
there is a strong zenith dependence, as shown in Fig. 7.15.
Filter Level Filter Level Scaled Final Cuts
2005-2006 Data
10.1 M
1703.9
0.00087
85 GRBs
0.418
0.418
0.166
Table 7.4: Event rates for the 2005-2006 AMANDA analysis after final event selection.
We compare to earlier filter levels to show the background rejection power of the analysis.
Scaling is to the total prompt phase emission time window of 5343.8 s.
5
A select few bursts have duration longer than 10 minutes. For these we extend the blinded window to encompass
the emission.

99
cos
θ
P
-1 -0.8-0.6-0.4 -0.2 -0 0.2 0.4 0.6 0.8 1
events
-7
10
-6
10
-5
10
10
-4
-3
10
10
-2
10
-1
data
prompt GRB
ν
atm
ν
Figure 7.11: Simulation and data comparison at final cut level. No downgoing muon sim-
ulation survives all cuts. Atmospheric neutrinos simulation and data agree well and are
highly supressed relative to predicted prompt GRB signal neutrinos. We can directly com-
pare this to the upgoing muon filter level distribution of Fig. 7.3, where the backgrounds
highly dominate the event rate.
7.6 Sensitivity
The sensitivity of our analysis is defined by the upper limit that can be placed in the case of a
non-detection. We follow the procedure of Hill and Rawlins [105] to determine our average sensitivity
given an ensemble of hypothetical experiments.
Given a dataset, theoretical prediction, and certain set of cuts, we have an expected background
n
b
, expected signal n
s
, and observation after unblinding n
obs
. The confidence interval is dependent
on both the observation and the background expectation. We are free to chose the coverage of this
interval, and in this analysis we choose 90%. In the case that the interval contains 0, we have an
upper limit. For a given background and observed event number, we calculate the confidence interval
using the Feldman-Cousins unified approach [108] to determine the event upper limit.

100
σ
[
°
]
0
0.5
1
1.5
2
2.5
3
events
-7
10
-6
10
-5
10
10
-4
-3
10
10
-2
10
-1
data
prompt GRB
ν
atm
ν
Figure 7.12: Error estimate σ of the track reconstruction at final cut level. Only simulation
and data that survive the angular cuts around each of the 85 GRB locations are plotted.
(0.0, µ
eul
) = µ
90
(n
obs
, n
b
)
(7.5)
However, in order to calculate this, we need to know n
obs
which is not possible in blinded data. We
therefore determine the limit (sensitivity) for a collection of experiments where we allow the observed
events to vary. Eq. 7.6 gives the average event upper limit for an ensemble of experiments with known
background n
b
and observations n
obs
that fluctuate according to Poisson statistics.
µ¯
90
(n
b
) =
?
n
obs
=0
µ
90
(n
obs
, n
b
)
(n
b
)
n
o
bs
(n
obs
)!
e
㡇 n
b
(7.6)
Our sensitivity to a model is then given by the ratio of the average upper limit for our analysis to
the number of predicted signal events surviving in the final event sample
µ¯
90
n
s
.
(7.7)

101
Likelihood Ratio
30
35
40
45
50
55
60
events
-7
10
-6
10
-5
10
10
-4
-3
10
10
-2
10
-1
data
prompt GRB
ν
atm
ν
Figure 7.13: Likelihood ratio between the unbiased and zenith weighted track reconstruc-
tions at final cut level. Only simulation and data that survive the angular cuts around
each of the 85 GRB locations are plotted.
This gives the multiple of the predicted fluence that we will be able to reject on average at the 90%
confidence level. We therefore refer to it as the Model Rejection Factor (MRF). In the unblinded
data, an upward or downward fluctuation in the background may result in a worse or better final
limit.
Given our background expectation of 0.00087 events and signal prediction of 0.166 events
at final cut level, we calculate our analysis to have a MRF of 14.7 with respect to the Wax-
man Bahcall model of neutrino emission from GRBs. This corresponds to a sensitivity of 6.6 ×
10
㡇 8
GeV s
㡇 1
cm
㡇 2
sr
㡇 1
to the diffuse flux prediction at 100 TeV.
7.7 Discovery Potential
Our optimization strategy results in very strong background rejection that allows us to make a
significant discovery with only a small number of events. With a background expectation of 0.00087
events, we can make a 5σ discovery by observing 2 events in the stacked emission window. A single

102
ψ
[
°
]
0 0.5 1 1.5 2 2.5 3 3.5 4 4.5
events
-7
10
-6
10
-5
10
10
-4
-3
10
10
-2
10
-1
data
prompt GRB
ν
atm
ν
Figure 7.14: Space angle distribution at final cut level. The discrete change in the cut
from 3.7
to 4.6
is clearly visible.
event would constitute a 3σ observation. It is important to recognize that by rigorously optimizing
the event selection and applying tight quality criteria, a higly significant discovery can be made with
very few events. This demonstrates and emphasizes the inherent advantage of searches for transient
sources well-localized in both space and time.
We can evaluate what chance we have of making these observations given the final signal
prediction with our flux model of 0.166 events. We compare the statistical power of the experiment
to the flux factor (MDF) of the prediction necessary to produce the desired significance, shown in
Fig. 7.17. Table 7.5 shows the resulting percentage of experiments that will make a discovery for
different signal fluxes and significances.
7.8 Results
After unblinding the prompt emission region around each burst and applying all event selection
criteria we observe 0 remaining events. This result is consistent with the low background expectation
of 0.00087 events. We therefore set an upper limit on the emission of high energy neutrinos during

103
θ
GRB
[
°
]
90 100 110 120 130 140 150 160 170 180
Signal Events Retained
μ
ν
-4
10
-3
10
-2
10
(a) signal retained per GRB
θ
GRB
90 100 110 120 130 140 150 160 170 180
Background Events Retained
-12
10
-11
10
-10
10
-9
10
-8
10
-7
10
-6
10
-5
10
-4
10
-3
10
-2
10
-1
10
1
(b) background retained per GRB
θ
GRB
[
°
]
90 100 110 120 130 140 150 160 170 180
Signal Retained
μ
ν
Percent of
0
10
20
30
40
50
60
70
80
90
100
(c) percent signal retained
Figure 7.15: Signal and background retention after applying final event selection to all
GRBs in the 2005-2006 sample. Note that because of the strong zenith dependence in
detector acceptance, the absolute number of retained signal events decreases as zenith
increases, while the percent relative to the total before cuts increases.
the prompt emission of the 85 gamma-ray bursts included in our sample. We once again utilize the
Feldman-Cousins unified ordering principle [108] to determine the 90% confidence interval. This gives
an event upper limit of 2.43 events. Under the assumption of emission following the Waxman-Bahcall
model from an ensemble of 85 bursts this translates into an 90% C.L. upper limit on E
2
multiplied by

104
10
E
ν
[GeV]
log
1
2
3
4
5
6
7
8
]
2
effective area [m
μ
ν
-5
10
10
-4
-3
10
10
-2
10
-1
1
10
10
2
3
10
10
4
0
°
<
δ
< 90
°
0
°
<
δ
< 19
°
19
°
<
δ
< 42
°
42
°
<
δ
< 90
°
Figure 7.16: Muon neutrino effective area for the AMANDA detector as a function of
energy at final cut level. Solid black line is averaged over the half sky, while the other
angular ranges correspond to the most horizontal, middle, and most vertical thirds of the
northern sky in cos δ. Comparison with previous work shows the effective area to be very
similar, even with a very different optimization strategy.
Significance Power MDF
14.8%
1.0
50%
4.2
90%
13.9
1.1%
1.0
50%
10.1
90%
23.4
Table 7.5: Comparison of the discovery potential of the 2005-2006 GRB search for various
significance levels and statistical powers.
the neutrino emission during the prompt phase of 6.6× 10
㡇 8
GeV s
㡇 1
cm
㡇 2
sr
㡇 1
at 100 TeV. The 90%
contained energy range of the analysis is 21.0 TeV to 4.9 PeV. We have converted our fluence limit

105
MDF (# of WB fluxes)
0
5
10 15 20 25 30 35 40
percent of experiments
0
20
40
60
80
100
Figure 7.17: Model Discovery Potential at 3σ and 5σ confidence levels for the 2005-2006
AMANDA analysis. x-axis represents the multiple of the predicted Waxman Bahcall emis-
sion needed to make a discovery with the stated significance. y-axis shows the statistical
power.
into a diffuse flux limit in order to directly compare with theory and previous results. We discuss
the effect of systematic errors on our upper limit in Chapter 9.

106
E
ν
(GeV)
4
10
5
10
6
10
7
10
)
-1
sr
-1
s
-2
( GeV cm
ν
/ dE
ν
dN
ν
2
E
10
-11
-10
10
-9
10
-8
10
-7
10
Waxman-Bahcall GRB Flux
AMANDA 05-06 90% C.L. Limit (85 GRBs)
Figure 7.18: 90% Confidence Level upper limit on the emission of neutrinos during the
prompt phase of Gamma-Ray Bursts. Limit is based on the non-detection of neutrinos
from 85 GRBs observed in the northern sky in 2005-2006.

107
Chapter 8
IceCube Analysis
The data for this analysis were taken using the 22-string configuration of the IceCube detector
between May 2007 and April 2008. We perform a stacked search for neutrino emission from 41
northern hemisphere GRBs observed by satellites. As in the case of the AMANDA-II analysis, the
majority of these bursts were observed by Swift. The resolution of the GRB position from these
satellites is better than 0.1
and hence lies well below that of the IceCube detector. It is therefore
neglected in these analyses.
Rather than focusing solely on the prompt emission phase, this analysis searches for neutrinos
from all phases of the GRB (see Chapter 2). Furthermore, we seek to improve our estimation of the
signal by modeling the emission from each burst individually, using what electromagnetic observations
we have from satellites and ground-based telescopes. For the first time in stacked GRB searches, we
utilize an unbinned maximum likelihood technique to improve the sensitivity of the analysis.
A binned search on the same data set was performed utilizing a Support Vector Machine (SVM)
for event selection. The intent was to compare the binned and unbinned methods to determine what
percent improvement could be achieved with the more advanced technique. We present sensitivities
for this search, but do not describe it in detail. For further information, see [107, 93]. An overview
of the SVM optimization technique is given in Appendix C.
8.1 Filtering
In order to obtain a starting sample of quality upgoing muons on which to perform our seach,
we employ a series of filters to reject downgoing muon backgrounds. These are summarized in

108
Table 8.1 and described below.
Filter Level
Processing / Selection
Online / Level 1
LF
≥ 70
AND N
ch
≥ 10) OR
LF
≥ 60
AND N
ch
≥ 40) OR
LF
≥ 50
AND N
ch
≥ 50)
Level 2
Processing of high level reconstructions
Level 3
1-iteration θ
P
> 80
1-iteration reduced log-likelihood< 13
32-iteration θ
P
> 80
Table 8.1: Summary of 22-string IceCube upgoing muon filters.
8.1.1 Online Muon Filter / Level 1 Filter
A filter was applied in online processing during data-taking at the south pole to select a sample
of candidate upgoing muon events. This filter used the fast first-guess algorithm LineFit to estimate
the track direction, and used N
ch
as an energy estimator. It was designed to select events that were
clearly upgoing or alternately to allow events with less clear direction but that seemed to be of high
energy. The filter settings changed throughout the year as understanding of the detector was gained,
and all data was reprocessed from tape with a final configuration known as Level 1.
8.1.2 Level 2 Filter
No event selection is done during the Level 2 filtering, but rather a wide variety of standard
processing is performed, yielding high level data that is useful across many analyses. These recon-
structions use a hit set that has been time cleaned. The cleaning keeps only hits within 6 µs, finding
that window which keeps the most hits. Single iteration unbiased reconstructions are performed,
as well as the zenith-weighted fit, and a fit that splits the hit series into two parts to help reject
coincident muons. These are explained in more detail in section 8.3.
8.1.3 Level 3 Filter
Performing many-iteration likelihood reconstructions is computationally intensive, and there-
fore some loose event selection is done on the Level 2 filtered dataset before continuing. The single

109
iteration Pandel fit is required to give a track with θ
P
> 80
and the reduced log-likelihood of the
same reconstruction is required to be less than 13. After the 32-iteration Pandel reconstruction is
performed, the returned angle is also required to be greater than 80
. For events that pass these
filters, further event quality reconstructions (32-iteration paraboloid, umbrella) are calculated, as
well as several energy estimators.
8.1.4 Starting Event Sample
After applying the upgoing muon filters described above and selecting only those data runs
that correspond to stable running periods, we are left with a sample of 77 million events reconstructed
as upgoing. A {㡇 1 h, +3 h} window is blinded around each burst, leaving a livetime of 268.9 days in
the off-time window. We use the large dataset to precisely estimate the background contamination
during the GRB emission windows. At this level, the data has a rate of 3.3 Hz and is still dominated
by downgoing muons, as shown in Fig. 8.1. Given its larger size, IceCube has a much bigger contam-
ination of coincident downgoing muons that mimic upgoing tracks than AMANDA. We will have to
leverage new rejection techniques to deal with this background.
8.2 Signal Spectrum
To maximize the scope of the analysis, we search for GRB neutrinos in several emission win-
dows. Where possible we calculate the expected neutrino fluence based on the observed photon
spectrum. We describe the signal prediction for each search window below.
8.2.1 Precursor Emission
For the precursor phase (section 2.3.2), the fireball is expected to be optically thick and thus no
photon emission is observeable. We therefore assume each GRB has a fluence given by the Razzaque
et al. model [50]. The emission is expected to occur from 10 㡇 100 s preceding the prompt photons,
and we take as our time window the range {㡇 100 s, 0 s} relative to the satellite trigger. The detector
response to such emission from a single burst is shown in Fig. 8.2.

110
θ
rec
[
°
]
80 90 100 110 120 130 140 150 160 170
events
1
10
10
2
3
10
10
4
5
10
6
10
7
10
σ
dir
[
°
]
0
1
2
3
4
5
6
7
8
9 10
events
1
10
10
2
3
10
10
4
5
10
6
10
7
10
L
red
4
5
6
7
8
9
10 11 12 13
events
1
10
10
2
3
10
4
10
5
10
6
10
7
10
L
U/D
0
10
20
30
40
50
60
events
1
10
10
2
3
10
4
10
5
10
6
10
7
10
N
dir
0
5
10
15
20
25
30
35
40
events
1
10
10
2
3
10
4
10
5
10
6
10
7
10
θ
min
[
°
]
0
20 40 60 80 100 120 140 160 180
events
1
10
10
2
3
10
4
10
5
10
6
10
7
10
ε
est
0
1
2
3
4
5
6
7
8
9
events
1
10
2
10
3
10
10
4
5
10
6
10
7
10
Figure 8.1: Comparison between data (solid circles) and simulation in the quality param-
eters used to reject mis-reconstructed atmospheric muons at upgoing muon filter level.
Monte Carlo shown includes atmospheric muons (green solid), coincident muons (ma-
genta dot-dashed), atmospheric neutrinos (red dashed), and prompt GRB neutrinos (blue
dotted). As a simple shape comparison, the GRB signal is assumed to follow an average
Waxman-Bahcall spectrum and is normalized to the rate of atmospheric neutrinos.

111
10
E
ν
[GeV]
log
1
2
3
4
5
6
7
8
9
events
-8
10
-7
10
-6
10
-5
10
-4
10
-3
10
-2
10
prompt GRB
ν
precursor GRB
ν
Figure 8.2: IceCube response at upgoing muon filter level to the precursor neutrino flux
of Razzaque et al. [50] from one GRB. For comparison, we also shown the response to the
canonical Waxman Bahcall flux from a single burst. Response is averaged over the full
sky.
8.2.2 Prompt Emission
For the prompt phase (section 2.3.1), we use the windows calculated in section 5.4.2 for each
burst (integrated emission time of 4960.6 s). GRB spectral parameters vary substantially from burst
to burst, and the average values used to calculate the canonical Waxman Bahcall flux are based
on data from BATSE that do not accurately represent the Swift dominated GRB sample we use.
We therefore calculate the neutrino fluence on a per burst basis, using the formalism developed in
section 2.3.1. The photon spectral parameters for each burst are measured by satellites and ground-
based observatories and reported via GCN circulars and reports. In the case that a parameter was
not measured, we use average values derived from the Swift GRB population [51], shown in Table 8.2.
Some parameters needed to calculate the predicted neutrino fluence are never measured, and must
be assumed. These include the time variability (t
var
), isotropic luminosity in γ-rays (L
iso
γ
), bulk jet
Lorentz factor (㡇), fraction of jet energy in electrons ( ξ
e
), fraction of jet energy in the magnetic field
B
), and ratio between energy in electrons and protons (f
e
). For these, the best guess values based
on observations and physical inferences are also shown in Table 8.2. The measured and calculated

112
spectral parameters for each burst are presented in Table 8.3. Fig. 8.3 shows the derived neutrino
spectra for the prompt phase emission for each GRB in comparison the Waxman Bahcall model. The
wide variance and overall reduction in normalization highlights the importance of individual fluence
modeling.
parameter
average value
f
γ
1.3MeV
㡇 1
cm
㡇 2
z
2
?
γ
0.2 MeV
α
γ
1
β
γ
2
L
iso
γ
10
51
erg cm
㡇 2
315
t
var
0.01 s
ξ
e
0.1
ξ
B
0.1
f
e
0.1
Table 8.2: Average values of GRB parameters in the Swift population.

113
Table8.3:Spectralinformationfor41northernskyGRBsobservedin2007-2008
γ
-rayspectrum
ν
spectrum
GRB
z
f
γ
?
b
γ
α
γ
β
γ
f
ν
?
b
ν
?
s
ν
α
ν
β
ν
γ
ν
GRB070610
2.00
2.7e
020.201.762.76
1.6e
100.35
8.54
0.241.243.24
GRB070612A2.00
1.5e+000.201.692.69
2.3e
080.35
8.54
0.311.313.31
GRB070616
2.00
3.3e+000.201.612.61
1.4e
070.35
8.54
0.391.393.39
GRB070704
2.00
6.0e
010.201.792.79
2.5e
090.35
8.54
0.211.213.21
GRB070714B0.92
2.5e
010.201.362.36
2.7e
070.8513.34
0.641.643.64
GRB070724B2.00
4.0e
010.081.153.15
1.7e
040.85
8.54-0.151.853.85
GRB070808
2.00
3.1e
010.201.472.47
8.5e
080.35
8.54
0.531.533.53
GRB070810B2.00
2.8e
030.201.442.44
1.1e
090.35
8.54
0.561.563.56
GRB070917
2.00
2.0e
010.211.363.36
6.8e
070.33
8.54-0.361.643.64
GRB070920A2.00
7.0e
020.201.692.69
1.0e
090.35
8.54
0.311.313.31
GRB071003
2.00
1.5e+010.800.972.97
4.1e
040.09
8.54
0.032.034.03
GRB071008
2.00
6.4e
030.202.233.23
1.2e
130.35
8.54-0.230.772.77
GRB071010B0.95
1.8e
010.031.252.65
3.3e
055.7113.16
0.351.753.75
GRB071010C2.00
1.3e+000.201.002.00
2.2e
040.35
8.54
1.002.004.00
GRB071011
2.00
6.7e
010.201.412.41
4.1e
070.35
8.54
0.591.593.59
GRB071013
2.00
5.7e
020.201.602.60
2.8e
090.35
8.54
0.401.403.40
GRB071018
2.00
1.6e
010.201.632.63
5.4e
090.35
8.54
0.371.373.37
GRB071020
2.15
1.3e+000.320.652.65
1.5e
020.20
8.13
0.352.354.35
GRB071021
2.00
1.7e
010.201.702.70
2.3e
090.35
8.54
0.301.303.30
GRB071025
2.00
6.6e
010.201.792.79
2.8e
090.35
8.54
0.211.213.21
GRB071028A2.00
2.4e
020.201.872.87
3.6e
110.35
8.54
0.131.133.13
GRB071101
2.00
2.0e
030.202.253.25
3.0e
140.35
8.54-0.250.752.75
GRB071104
2.00
1.3e+000.201.002.00
2.2e
040.35
8.54
1.002.004.00
GRB071109
2.00
1.3e+000.201.002.00
2.2e
040.35
8.54
1.002.004.00
GRB071112C0.82
2.2e+000.201.092.09
1.1e
040.9514.07
0.911.913.91
GRB071118
2.00
8.1e
020.201.632.63
2.7e
090.35
8.54
0.371.373.37
GRB071122
1.14
6.3e
020.201.772.77
2.6e
100.6911.97
0.231.233.23
Continuedonnextpage...

114
Table8.3:(continued)
γ
-rayspectrum
ν
spectrum
GRB
z
f
γ
?
b
γ
α
γ
β
γ
f
ν
?
b
ν
?
s
ν
α
ν
β
ν
γ
ν
GRB071125
2.00
7.9e+000.300.623.10
2.3e
010.24
8.54-0.102.384.38
GRB080121
2.00
2.4e
040.202.603.60
5.9e
170.35
8.54-0.600.402.40
GRB080205
2.00
8.9e
020.202.083.08
1.0e
110.35
8.54-0.080.922.92
GRB080211
2.00
8.7e+000.350.612.62
1.4e
010.20
8.54
0.382.394.39
GRB080218A2.00
1.2e
020.202.343.34
6.0e
140.35
8.54-0.340.662.66
GRB080307
2.00
9.1e
020.201.782.78
4.3e
100.35
8.54
0.221.223.22
GRB080310
2.43
4.6e
020.202.323.32
3.5e
130.27
7.47-0.320.682.68
GRB080315
2.00
1.5e
030.202.513.51
1.1e
150.35
8.54-0.510.492.49
GRB080319C1.95
2.3e+000.111.011.87
7.2e
040.68
8.68
1.131.993.99
GRB080319D2.00
2.2e
020.201.922.92
1.8e
110.35
8.54
0.081.083.08
GRB080320
2.00
3.6e
020.201.702.70
4.7e
100.35
8.54
0.301.303.30
GRB080325
2.00
6.9e
010.201.682.68
1.2e
080.35
8.54
0.321.323.32
GRB080328
2.00
2.0e+000.281.133.13
6.5e
050.25
8.54-0.131.873.87
GRB080330
1.51
3.5e
030.202.533.53
1.5e
150.5010.20-0.530.472.47
Columns:
f
γ
[MeV
1
cm
2
],
?
γ
[MeV],
f
ν
[GeV
1
cm
2
],
?
b
ν
[PeV],
?
s
ν
[PeV].Theparameters
f
γ
and
f
ν
arethefluxesat
?
γ
and
?
b
ν
ofthegamma-rayandneutrinospectrum,respectively.

115
E
ν
(GeV)
3
10
4
10
5
10
6
10
7
10
8
10
9
10
)
-2
dN/dE (GeV cm
×
2
E
-8
10
-7
10
-6
10
-5
10
-4
10
-3
10
-2
10
-1
10
1
10
2
10
3
10
4
10
41 individual bursts
Sum of 41 individual bursts
Average WB burst
Sum of 41 WB bursts
Figure 8.3: Neutrino energy spectra for 41 northern sky GRBs observed by satellites
in 2007-2008. Comparison is made to the Waxman Bahcall spectrum calculated from
average parameters of the BATSE satellite. Overall reduction in normalization is due to
the signi?cantly weaker burst population observed by Swift.
8.2.3 Extended Window Search
One limitation of GRB searches is that in order to maximize the sensitivity, we typically allow
the search to be very model dependent.
extende
In th
d
esearch window, we seek to mitigate this bias.
Rather than incorporate the measured and assumed quantities, along with the many accompanying
uncertainties, into a signal prediction we instead assume
E
a
2
simenergyple, sphard,ectrum for all
bursts. We search in a time wi㡇 ndo1
h;
w+3
h
around each GRB trigger. This window is motivated
by a desire to include potential precursor and afterglow emission in the search, while still retaining
signi?cant background rejection from a short time window. For a few of the bursts in our sample,
data in the full search window is incomplete. For these bursts, we search in shortened time windows
de?ned in Table 8.4.

116
T
1
㡇 T
0
[s] T
2
㡇 T
0
[s]
GRB070610
㡇 1593
+10800
GRB070714B
㡇 3600
+3930
GRB071021
㡇 3600
+5391
GRB071109
㡇 3022
+10800
GRB080205
㡇 3600
+6289
GRB080211
㡇 3600
+8399
GRB080320
㡇 389
+8440
Table 8.4: Modified extended time windows for GRBs with gaps in the data.
8.3 Event Selection
A positive detection in our search consists of an excess of events over background in coincidence
in space and time with known GRBs. We can increase the significance of a detection by reducing
the background of mis-reconstructed atmospheric muons in our data sample. If we do this perfectly,
however, we are still left with a sample of atmospheric neutrinos. These events can only be statistically
distinguished from our signal, leveraging the differences in energy spectrum and spatial distribution.
We therefore gain no benefit from reducing our data sample beyond a set of high-quality neutrino
candidates. For the final GRB search, we will employ a maximum likelihood technique (described
in section 8.4). At the moment, we strive to find an event selection that removes the majority of
downgoing muons while retaining a large fraction of neutrino candidates. We investigate a set of
event variables that have good background rejection potential.
8.3.1 Reduced Log-Likelihood
Each of our advanced reconstructions returns a likelihood that the found track represents
reality. When we divide this likelihood by the number of degrees of freedom of the fit, we are left
with a parameter, L
red
that is largely unbiased and gives a good measure of the quality of the
reconstruction for each event. We take the log
10
for mathematical convenience and use the resulting
reduced log-likelihood associated with our highest iteration Pandel fit.

117
8.3.2 Bayesian Likelihood Ratio
The Bayesian likelihood ratio is defined by the ratio between log-likelihoods of the unbiased
and zenith weighted reconstructions. We present it variously as L
B
or L
U/D
. As in the AMANDA
analysis, it provides a strong discrimination between truly upgoing events and mis-reconstructed
downgoing muons.
8.3.3 Paraboloid Sigma
Similar to the AMANDA analysis, we fit a parabola to the likelihood space of the iterative
Pandel track reconstruction, centered at the best-fit minimum. The definition of the error ellipse is
slightly different, given by
σ =
?
σ
2
1
+ σ
2
2
2
.
(8.1)
8.3.4 Umbrella Likelihood Ratio
The Umbrella likelihood reconstruction searches for a subset of events that reconstruct in
the wrong hemisphere. In this respect, it is somewhat like the Bayesian likelihood. However, the
implementation is quite different. The best unbiased Pandel track reconstruction is used as a seed.
The parameter space is then restricted to the opposing hemisphere (evocative of an umbrella, hence
the name) and a new likelihood is minimized using the inversion of the Pandel track as the seed.
The likelihood ratio between the two tracks, L
P
/L
Um
gives a good estimator of whether the track
was reconstructed in the proper hemisphere. This parameter is good at discriminating against small,
‘blob’-like events that can equally well reconstruct in a variety of directions. In addition, it helps to
find and retain a particular class of events that for unknown reasons reconstruct about 120
away
from their true direction.
8.3.5 Split Reconstruction Minimum Zenith
In the split reconstruction we divide the hit set into two parts, split at the median time. Each
of these hit sets is then treated as a separate event and new reconstructions performed. If the original
event was truly upgoing, it is likely that both split reconstructions will point in the same, upgoing

118
direction. On the other hand, if the event was caused by a coincident muon, one or both of the split
reconstructions are likely to be downgoing. We use the minimum zenith angle θ
min
of the two fits as
a figure of merit for rejecting background.
8.3.6 Direct Hits
Direct hits represent light that reaches the PMTs of the detector in agreement with the pre-
diction of a Ceˇ renkov cone. We define the time window for direct hits by 㡇 15 ns< t
res
< 75 ns.
Although we use the same reconstruction algorithms as in the AMANDA analysis, and thus still
suffer from the so-called direct hits problem (see section 7.3.4), we may make use of it if careful. For
example, a high energy neutrino that has zero direct hits due to shifted vertex times may still be very
well reconstructed. In this case, we could employ an OR condition with the reduced log-likelihood
L
red
to retain the event, while rejecting those background events that are both poorly reconstructed
and have few hits in the detector.
8.3.7 Cut Selection and Neutrino Level Sample
In order to choose which cuts will be most effective in rejecting the background, we plot the
efficiency of each, shown in Fig. 8.4. We see that the most efficient cuts are the reduced log-likelihood
of the Pandel fit and the Bayesian likelihood ratio. We investigated several combinations of cuts and
eventually settled on the same selection as used in a time integrated point source search conducted
on 22-string IceCube data [109]. This event selection yielded the best sensitivity as well as retaining
a large fraction of low energy signal. This property makes these cuts appropriate for the precursor
phase GRB search as well, which peaks at 10 TeV. The chosen cuts are summarized in Table 8.5 and
the resulting distributions of our selection variables are shown in Fig. 8.5. Note the use of a box cut
in the reduced log-likelihood vs. direct hits parameters space that allows us to retain high energy
events that suffer from the shifted vertex time bug.
Applying these cuts results in a sample of more than 90% atmospheric neutrinos. The event
rate has been reduced to 2.1×10
㡇 4
Hz. We show the cumulative point spread function of the surviving
events in Fig. 8.6 and the muon neutrino effective area in Fig. 8.7. Signal efficiency is depicted in
Fig. 8.8 and summarized in Table 8.6.

119
signal fraction
0.1 0.2 0.3 0.4 0.5 0.6 0.7 0.8 0.9
background fraction
0
0.05
0.1
0.15
0.2
0.25
0.3
0.35
0.4
0.45
0.5
L
red
L
U/D
θ
min
σ
dir
L
P
/L
Um
L
red
L
U/D
θ
min
σ
dir
L
P
/L
Um
Figure 8.4: Cut efficiency for several event selection parameters. Reduced log-likelihood
of the best guess track reconstruction is by far the most efficient rejector of background.
Variable
Cut Value
θ
P
> 85
σ < 3
θ
min
> 70
L
P
/L
B
> 30
L
P
/L
Um
> 15
L
red
< 9.5
L
red
< 8.5 for N
dir
< 8
L
red
< 7.8 for N
dir
< 7
N
dir
> 8 for L
red
> 8
N
dir
> 7 for L
red
> 7.8
Table 8.5: Event selection criteria for the 2007-2008 IceCube GRB search.

120
θ
rec
[
°
]
80 90 100 110 120 130 140 150 160 170
events
1
10
10
2
3
10
σ
dir
[
°
]
0
0.5
1
1.5
2
2.5
3
events
1
10
10
2
3
10
L
red
4
5
6
7
8
9
10
11
events
1
10
10
2
3
10
L
U/D
30
35
40
45
50
55
60
events
1
10
10
2
3
10
N
dir
0
5
10
15
20
25
30
35
40
events
1
10
10
2
3
10
θ
min
[
°
]
80
100
120
140
160
180
events
1
10
10
2
3
10
ε
est
1
2
3
4
5
6
7
8
events
1
10
10
2
3
10
Figure 8.5: Comparison between data (solid circles) and simulation in the quality param-
eters used to reject mis-reconstructed atmospheric muons at neutrino level. Monte Carlo
shown includes atmospheric muons (solid lines), coincident muons (dot-dashed lines), at-
mospheric neutrinos (dashed lines), and prompt GRB neutrinos (dotted lines). As a sim-
ple shape comparison, the GRB signal is assumed to follow an average Waxman-Bahcall
spectrum and is normalized to the rate of atmospheric neutrinos.

121
cumulative point spread function (degrees)
0
2
4
6
8
10
fraction
0
0.2
0.4
0.6
0.8
1
prompt GRB
ν
precursor GRB
ν
E
-2
atm.
ν
Figure 8.6: Cumulative point spread function for 2007-2008 analysis at final cut level.
Filter Level
Final Cuts
evts
eff.
evts
eff.
2007-2008 Data
77 M 100% 4988 6.5 × 10
㡇 4
%
prompt spectrum
0.062 100% 0.033
53%
precursor spectrum
1.8
100%
0.53
29%
E
㡇 2
100%
37%
Table 8.6: Event rates for the 2007-2008 IceCube analysis after final cuts. Efficiency is
given relative to upgoing muon filter level. Rates for the prompt and precursor emission
are calculated for 41 GRBs using the spectra described in section 8.2. Normalization of the
E
㡇 2
fluence is arbitrary. The unbinned likelihood search will be applied to the surviving
events to distinguish GRB signal neutrinos from background atmospheric neutrinos.

122
10
E
ν
[GeV]
log
2
3
4
5
6
7
8
9
]
2
effective area [m
μ
ν
-5
10
-4
10
-3
10
-2
10
-1
10
1
10
2
10
3
10
4
10
0
°
<
δ
< 90
°
0
°
<
δ
< 19
°
19
°
<
δ
< 42
°
42
°
<
δ
< 90
°
Figure 8.7: Muon neutrino effective area for the 22-string IceCube detector as a function
of energy at final cut level. Solid black line is averaged over the half sky, while the other
angular ranges correspond to the most horizontal, middle, and most vertical thirds of the
northern sky in cos δ.

123
E
ν
[GeV]
10
log
1
2
3
4
5
6
7
8
9
fraction
0
0.1
0.2
0.3
0.4
0.5
0.6
0.7
0.8
0.9
1
N
ch
20
40
60
80
100
fraction
0
0.1
0.2
0.3
0.4
0.5
0.6
0.7
0.8
0.9
1
-cos
θ
rec
0
0.2
0.4
0.6
0.8
1
fraction
0
0.1
0.2
0.3
0.4
0.5
0.6
0.7
0.8
0.9
1
prompt GRB
ν
precursor GRB
ν
E
-2
atm.
ν
Figure 8.8: Signal efficiency at neutrino level relative to upgoing muon filter level for
2007-2008 IceCube analysis. Top panel shows efficiency as a function of neutrino energy.
However, many high energy events skim the detector, so a better measure of efficiency is
perhaps vs. number of hit channels. We can see this distribution in the bottom left panel
for several energy spectra. The efficiency looks very good already at N
ch
= 100. Bottom
right panel shows efficiency as a function of zenith angle. Harder spectra are suppressed
towards the vertical, but the overall efficiency is higher. With the chosen event selection
we have an excellent chance of observing events that deposit a lot of energy in the detector.

124
8.4 Unbinned Analysis Method
For the first time in stacked GRB searches, we implement an unbinned maximum-likelihood
approach. The method is similar to that described by Braun et al. [110] and has been employed
previously in a search for emission from the single extremely bright burst GRB080319B. [13] We
describe the method in detail.
After the event selection described above we are left with a high-purity sample of neutrino
candidates. These belong either to the background distribution of atmospheric neutrinos, or the
signal distribution from our GRB sample. In order to distinguish them, we make use of the spatial
and temporal clustering expected from GRB neutrinos. We also note that our signal exhibits a harder
energy spectrum than the background neutrinos
1
. This information is incorporated into probability
distribution functions (PDFs) for both signal, S(?x
i
, t
i
, ?
i
), and background, B(?x
i
, t
i
, ?
i
).
We define the probability of occurrence via the extended maximum likelihood function [111].
In the standard maximum likelihood definition, the PDF P (x
i
|a) is normalized to one. We instead
employ a definition where the normalization is allowed to scale with the total number of observed
events N. This is useful in cases where we do not know a priori what the event rate will be. Given
a mean background contribution n
b
and signal contribution n
s
, we then have
?
Q(x
i
|a) dx ≡ n
t
?
P (x
i
|a) dx = n
t
(8.2)
n
t
= n
s
+ n
b
(8.3)
We can relate the probability of observing N given the expectation n
t
via Poisson statistics. Convo-
luting this with the PDF and summing over all observed events gives the likelihood function
1
Atmospheric neutrinos follow an E
㡇 3.7
power law, while in the region of highest sensitivity (TeV-PeV) signal
neutrinos from all phases of the emission follow power laws between E
㡇 1
and E
㡇 3
.

125
L = e
㡇 n
t
n
N
t
N!
×
?
N
i=1
P (x
i
|a)
ln(L) = 㡇 n
t
+ N ln n
t
㡇 ln N! +
?
N
i=1
ln (P (x
i
|a))
= 㡇 n
t
㡇 ln N! +
?
N
i=1
ln (n
t
P (x
i
|a))
= 㡇 n
t
+
?
N
i=1
ln (Q(x
i
|a))
(8.4)
where we note that N! is just an offset that is independent of the relative contributions of signal
and background and can thus be removed. Recall that Q(x
i
|a) is the likelihood of observing the
set of parameters x
i
given some hypothesis a for a single event i. We rewrite this in terms of the
reconstructed direction, time, and energy estimate of each event i in our final event sample, (?x
i
, t
i
, ?
i
),
the known mean background measured from off-time data, n
b
, and a hypothetical signal contribution,
n
s
:
ln(L) = 㡇 n
s
㡇 n
b
+
?
N
i=1
ln
n
s
S
tot
(?x
i
, t
i
, ?
i
) + n
b
B(?x
i
, t
i
, ?
i
)
?
(8.5)
In the case of no signal contribution, the likelihood is instead given by
ln (L
0
) = 㡇 n
b
+
?
N
i=1
ln (n
b
B(?x
i
, t
i
, ?
i
))
(8.6)
By taking the ratio between the likelihood that a data set contains signal, L, and the likelihood that
it is composed entirely of background, L
0
, we form a test statistic ln (R).
ln (R) = ln
?
L
L
0
?
= 㡇 n
s
+
?
N
i=1
ln
?
n
s
S
tot
(?x
i
, t
i
, ?
i
)
n
b
B(?x
i
, t
i
, ?
i
)
+1
?
(8.7)
We then maximize ln (R) by varying the mean signal contribution n
s
. The maximum likelihood
ln (R(nˆ
s
)) then tells us the most probable number of signal events nˆ
s
in our data set.
In Eq. 8.7, S
tot
(?x
i
, t
i
, ?
i
) represents a weighted sum of the signal PDFs for each of the 41 bursts

126
in our sample. Similar strategies have been successfully employed in the past [112]. We expand it as
S
tot
(?x
i
, t
i
, ?
i
) =
?
j
w
j
S
j
(?x
i
, t
i
, ?
i
)
?
j
w
j
.
(8.8)
Here S
j
(?x
i
, t
i
, ?
i
) is the signal PDF for the jth GRB and w
j
is a weight that corresponds to how
much we think a particular burst will contribute to the total signal. For the precursor and prompt
phase searches, w
j
is proportional to the calculated neutrino fluence for each burst, as well as the
zenith dependent detector response. For the extended window search we set w
j
= 1 for all bursts to
maintain generality.
All that remains is to define our PDFs, S
j
(?x
i
, t
i
, ?
i
) and B(?x
i
, t
i
, ?
i
). Each is composed of
spatial, temporal and energy dependent terms.
S
j
(?x
i
, t
i
, ?
i
) = S
S
j
(?x
i
) × S
T
j
(t
i
) ×S
E
j
(?
i
)
(8.9)
B(?x
i
, t
i
, ?
i
) = B
S
(?x
i
) × B
T
(t
i
) × B
E
(?
i
)
(8.10)
We investigate the form of each of these partial probability distributions.
S
S
j
(?x
i
) represents the probability that an observed event i with reconstructed direction ?x
i
was
produced at a true source location ?x
j
associated with the GRB j. In order to quantify this, we make
use of the event by event reconstruction error σ to describe the distribution as a Gaussian
S
S
j
(?x
i
) =
1
2πσ
2
exp
?
|?x
i
㡇 ?x
j
|
2
2
?
(8.11)
Recall, however, that we utilize a 2-dimensional error estimate of the track reconstruction. To
incorporate this into the general spatial PDF given by Eq. 8.11, we rotate each event into the
coordinate system centered on the error ellipse and oriented along its axes. The location of the GRB
j relative to the event i is then given simply by distance along these axes (x
1
, x
2
) and we rewrite
S
S
j
(?x
i
) as

127
S
S
j
(?x
i
) =
1
2πσ
2
1
σ
2
2
exp
?
x
2
1
2
1
x
2
2
2
2
?
(8.12)
A sample distribution is shown in Fig. 8.9.
Figure 8.9: Spatial probability density function rotated to the coordinate system of the
2-dimensional track reconstruction error ellipse.
The spatial PDF of the background, B
S
(?x
i
), must incorporate the known asymmetry of the
IceCube detector. We create a probability map in the detector coordinate system from all remaining
events in our off-time data sample, shown in Fig. 8.10. We perform a Gaussian smearing between
bins to remove discontinuities in the probability space.
The temporal signal PDF represented by S
T
j
(t
i
) is assumed to be flat over the on-time window
of each burst. For the prompt phase search this is given by the range {T
1
, T
2
} defined for each GRB
in Table 5.6. For the precursor search the range is given by {㡇 100 s, 0 s} relative to the satellite
trigger for all bursts, and in the extended window, we search the range {㡇 1 h, +3 h}. The likelihood
falls off smoothly in a Gaussian on either side to avoid discontinuities and allow for small shifts in
the neutrino emission. The width of this Gaussian is set to be equal to the search window with a
minimum of 2 s and a maximum of 25 s. Variable widths were chosen to allow some padding around
bursts while ensuring that the tails do not dominate the PDF. We show an example of such a temporal
PDF in Fig. 8.11. For the background, B
T
(t
i
) is assumed to be flat, corresponding to a constant

128
Figure 8.10: Probability map of off-time data for the 22-string IceCube detector. Events
are at neutrino level and are shown in the detector coordinate system. The 22-string
configuration is highly asymmetric, resulting in higher data rates in the direction of the
long axis.
average rate over the year. We discuss the systematic error associated with seasonal variations in the
the background rate in Chapter 9.
Figure 8.11: Temporal probability density function for a sample GRB of duration 60 s.
x-axis is in units of time with respect to the burst trigger. Note that in this example we
have not enforced the restriction on the maximum width of the Gaussian tails of 25 s.

129
S
E
j
(?
i
) and B
E
(?
i
) incorporate the information we know about the energy of the event, where
?
i
represents an estimator of that energy. We determine the probability that the event comes from
an energy distribution given by the signal spectrum under consideration, P (?
i
sig
). As energy
estimator, we take the reconstruction given by the mue algorithm of section 3.6.7.2. This estimator
shows clear separation between signal spectra and background. The PDFs for several input spectra
are shown in Fig. 8.12. Studies were conducted as part of this work that showed minimal differences
in final sensitivity between using the calculated prompt spectra from each GRB and simply assuming
an E
㡇 2
spectrum for all GRBs. We therefore employ the more generic method
2
. This has the
added benefit of increasing our chances of discovery if the true spectra turn out to be softer than the
prediction. We use the precursor GRB neutrino spectrum for that search. While in principle we could
use the distribution of data for the background PDF, in practice the low statistics at final cut level
lead us to estimate the distribution with a simulation weighted to the Barr et al. [101] atmospheric
neutrino flux. We note from Fig. 8.5 the excellent agreement between data and simulation in this
parameter. Because the detector response to a given energy is highly dependent on zenith angle, we
use a different PDF for each GRB location in our 41 burst sample.
2
Note, however, that we utilize the calculated spectra for each burst to determine the expected event rate and thus
the weighting for that burst in the likelihood function.

130
E
ν
[GeV]
3
10
4
10
5
10
6
10
7
10
8
10
9
10
]
-1
sr
-1
s
-2
dN/dE [GeV cm
2
E
-11
10
-10
10
-9
10
-8
10
-7
10
-6
10
-5
10
10
log
2
3
4
5
6
7
8
-10
10
-9
10
-8
10
-7
10
-6
10
-5
10
10
-4
-3
10
10
-2
10
-1
atm.
ν
-2
ν
E
prompt GRB
ν
precursor GRB
ν
Figure 8.12: Probability distributions for several neutrino energy spectra. True signal
neutrino spectra are shown for reference. Note the clear separation between signal and
the background atmospheric neutrinos. Prompt signal shown is for the canonical Waxman
Bahcall spectrum. Detector response is averaged over the full sky. ? is uncalibrated and
thus does not correspond to a specific energy.

131
8.5 Sensitivity and Discovery Potential
The best estimate of the signal contribution in our data set nˆ
s
gives us a maximum value of
the test statistic ln (R(nˆ
s
)) for that data set. In order to assess the significance of our observation, we
must determine the probability of obtaining a value of ln (R(nˆ
s
)) equal to or greater than we see. This
is accomplished by determining the value of ln (R(nˆ
s
)) for a large sample of background only data
sets. We implement this by performing 10
8
randomizations of our final off-time data sample, taking
into account the up-time of the detector
3
. For each randomized skymap, we compute the value of
ln (R(nˆ
s
)). This forms a distribution, shown in Fig. 8.13. When we perform our observation on the
actual data, we compare ln (R(nˆ
s
)) to this distribution and determine what fraction of background
only datasets have the same or greater value. This represents the p-value of the analysis.
ln R(n
s
)
0
5
10
15
20
25
30
fraction
-8
10
-7
10
-6
10
-5
10
-4
10
-3
10
-2
10
-1
10
1
Figure 8.13: Distribution of the test statistic ln (R(nˆ
s
)) for the prompt phase search. 10
8
randomized background only datasets are shown in yellow (solid line). Distributions for
one and two injected signal events are shown with dotted and dashed lines, respectively.
We calculate the probability of observing a certain significance (discovery potential), in the
following way. We choose a significance level, and determine the value of ln (R(nˆ
s
)) above which
3
The events are randomized in time. After coordinate transformation, this is identical to randomization in Right
Ascension.

132
the appropriate fraction of data sets exist. For example, if we choose 5σ significance, we must find
the value of ln (R(nˆ
s
)) where only 10
8
· 5.73 × 10
㡇 7
= 57 data sets have a higher value. We then
choose a statistical power P and determine the mean number of signal events needed such that a
fraction P of data sets containing the injected signal pass this ln (R(nˆ
s
)) threshold. In principle,
this means we must generate the full ln (R(nˆ
s
)) distribution for each infinitesimal increase in n
s
.
Such a procedure is computational prohibitive, however, so instead we inject only discrete signal
events (N = 0, 1, 2, ...), distributed among the GRBs according to their relative weights w
j
. We then
form a set of ln (R(nˆ
s
)) distributions, one for each integer amount of injected signal. The statistical
power of a mean signal fluence n
s
is then given by weighting the power of each discrete distribution
by the Poisson probabilities P (N|n
s
) and summing them. We can then rapidly search the space
of n
s
to find the mean signal strength that gives us the desired power P . Recall that the Model
Discovery Factor (MDF) is the multiple of the predicted flux that must exist for us to make the
observation. Given the above, it is then found by dividing the necessary number of mean signal
events by the number of events expected given our model prediction. We show the distribution of
MDF versus statistical power for various discovery significances in Fig. 8.14, comparing to a binned
search that was conducted on the same data. At the 5σ with 50% power, the unbinned method we
have implemented shows a factor 1.8 improvement over the binned search.
The 90% C.L. sensitivity of the analysis is given by the mean signal strength for which 90%
of data sets containing that amount of signal have an equal or higher value of ln (R(nˆ
s
)) than the
mean of a large number of background only data sets. For the distribution of Fig. 8.13, the mean is
at 0, and hence we quote this case. In the event of a non-detection, the actual event upper limit will
depend on the value of ln (R(nˆ
s
)) measured in the unblinded skymap. We summarize the sensitivity
and discovery potential for our three searches in Table 8.7.
8.5.1 Trials Factors
Since we conduct both the unbinned search outlined above and a complementary binned
search [93] on the same data set, there is an issue of trials factors. For a diffuse or point source
search with two analyses, where ∼ 10 signal events would be needed for a discovery, one would typi-
cally choose the more sensitive analysis a priori and use the second analysis as a check. This is what

133
MDF
0
20
40
60
80
100
120
140
power
0
0.2
0.4
0.6
0.8
1
Likelihood method at 3.3
σ
Likelihood method at 5.0
σ
Binned method at 3.3
σ
Binned method at 5.0
σ
Figure 8.14: Discovery potential for the 2007-2008 IceCube prompt phase GRB Search.
We compare the unbinned likelihood search (solid) with a binned search on the same data
(dashed). Shown is the fraction of data sets with at least the desired significance (power)
as a function of the the factor of the predicted flux required to make the observation
(MDF). Similar distributions exist for the precursor and extended searches, though no
binned analysis was performed for these time windows.
Sensitivity (90% C.L.) Discovery Potential (50% Power)
factor
C.L. factor
evts
prompt
73
3.3σ
23
0.74
39
1.3
precursor
9.7
3.3σ
3.4
0.9
8.0
2.1
extended
3.6
Table 8.7: Sensitivity and discovery potential for the prompt, precursor, and extended
window unbinned likelihood GRB searches. Columns: factor – multiple of the predicted
fluence, evts – mean signal events necessary to make the detection. The normalization of
the E
㡇 2
flux used in the extended search is arbitrary and we therefore quote event rates.
was done in the case of 22-string IceCube point source searches, for example. However, in the GRB
search, where only 2 events are needed for a 5σ discovery, it is entirely possible that one of these
critical events could reside in the less sensitive data set
4
. In light of this fact, we need to be able to
4
This is a result of using the a point source optimized event selection for the unbinned search, and a GRB specific
SVM optimized selection for the binned analysis. If we were using the same data set for both analyses, we would just
pick the more sensitive one.

134
quote a significance for an observation in either of the 2 analyses. We outline the procedure below.
In each analysis there is a p-value distribution for the case of the null hypothesis. For the
binned analysis, the p-values are discrete, corresponding to 0, 1, 2, ...n events on time, on source in a
randomized skymap. In the unbinned analysis, the distribution is a continuum, corresponding to the
distribution of the likelihood test statistic for zero injected signal and randomized background. In
order to calculate the significance of the combined analysis, we want to know how often one analysis
is more sensitive than the other. We do many (20 million) randomizations of the background only
skymaps for each analysis in a synchronized way. (Each event is randomized in time according to
its event number, run number, and a seed number that is common to both analyses). We then take
the smallest of the two p-values that result and form a new p-value distribution. When we perform
the actual analysis we will once again take the maximum resultant p-value and compare it to this
combined distribution to obtain the final significance. We need only apply this procedure in the
event of a positive detection. Otherwise, we will set an upper limit based on the more sensitive of
the analyses.
8.6 Results
Unblinding consists of applying the likelihood analysis to the unscrambled dataset, determining
the value of the test statistic, and calculating the resultant p-value. The procedure is identical for each
of our searches; we just change the PDFs in the likelihood function to match the signal prediction.
For all emission scenarios considered (prompt, precursor, extended), the value of the ln (R(nˆ
s
)) and
of nˆ
s
are zero and thus consistent with the background only hypothesis. We therefore calculate the
90% C.L. upper limit on the neutrino fluence from the 41 GRBs in our sample in the prompt phase
of 3.7 × 10
㡇 3
erg cm
㡇 2
(72 TeV – 6.5 PeV) and in the precursor phase of 2.3 × 10
㡇 3
erg cm
㡇 2
(2.2
TeV – 55 TeV). The energy ranges given correspond to the 90% containment region for predicted
signal events. In neither case is the limit strong enough to constrain the model. For the extended
search, we place a limit of 2.7 × 10
㡇 3
erg cm
㡇 2
(3 TeV – 2.8 PeV) on an E
㡇 2
flux. These results are
summarized in the context of the predictions in Table 8.8 and limits for the prompt and precursor
searches are shown in Fig. 8.15. We discuss the impact of systematic errors on our upper limits in
Chapter 9.

135
n
exp
n
limit
factor
prompt
0.033
2.4
72
precursor
0.26
2.5
9.7
extended
2.7
Table 8.8: Upper limits for three searches performed on 22-String IceCube data taken in
2007-2008. Columns: n
exp
– number of expected events from 41 GRBs at final cut level,
n
limit
– 90% C.L. event upper limit, factor – multiple by which the upper limit exceeds
the model prediction.
E
ν
(GeV)
4
10
5
10
6
10
7
10
8
10
9
10
)
-2
fluence (GeV cm
×
2
E
-5
10
-4
10
-3
10
-2
10
-1
10
1
10
E
ν
(GeV)
4
10
5
10
6
10
7
10
8
10
9
10
)
-2
fluence (GeV cm
×
2
E
-5
10
-4
10
-3
10
-2
10
-1
10
1
10
Figure 8.15: 90% C.L. upper limits (black) on the neutrino fluence from 41 northern
hemisphere GRBS observed in 2007-2008. Shown are the precursor (dashed) and prompt
(solid) phase results with model predictions (grey) for comparison.

136
Chapter 9
Systematic Error Analysis
We use off-time all sky data from the entire livetime to estimate the background in the search window
surrounding each gamma-ray burst. This gives us a precision determination of our background that
is largely free from systematic errors that would arise from the use of simulation. However, this
method makes the assumption that the data rate is constant in time. In addition, we make use of
Monte Carlo simulation for signal prediction and limit setting. We thus consider the various sources
of systematic error introduced and the effect on our calculated limits. These errors are typically
nonlinear and dependent on the spectrum under consideration. We therefore vary each parameter
in the simulation and re-perform the analysis in order to determine the final effect. The results of
these studies are summarized in Table 9.1 and Table 9.2 for the AMANDA and IceCube analyses,
respectively. We describe the sources of systematic error in detail below.
Error
prompt (WB)
neutrino cross section
±3%
muon propagation
±2%
reconstruction bias
+5%
ice simulation
±5%
timing resolution
±2%
DOM efficiency
+6%
background rate
< 1%
sum
+10
㡇 7
%
Table 9.1: Effect of systematic errors on upper limits in the 2005-2006 AMANDA-II GRB
Search. Each burst is assumed to follow a Waxman-Bahcall energy spectrum.

137
Error
prompt precursor extended
neutrino cross section
±3%
±3%
±3%
muon propagation
±3%
±3%
±3%
reconstruction bias
+5%
+5%
+5%
ice simulation
±10%
±10%
±10%
timing resolution
±2%
±2%
±2%
DOM efficiency
±5%
±10%
±7%
background rate
< 1%
< 1%
< 1%
sum
+13
㡇 12
%
+16
㡇 15
%
+14
㡇 13
%
Table 9.2: Effect of systematic errors on upper limits in the 2007-2008 IceCube GRB
Search. For the prompt search, each GRB has an individually modeled fluence. For the
precursor search all bursts follow the Razzaque et al. model [50] which is well approximated
by an E
㡇 2
spectrum below 10 TeV. For the extended search, we use an E
㡇 2
spectrum.
9.1 Sources of Systematic Error
9.1.1 Neutrino Cross-Section
Uncertainty on the neutrino cross section will create a change in the normalization of the
expected signal fluence. We estimate this uncertainty from the errors in the Parton Distribution
Functions used in the neutrino generation simulation. For AMANDA, a 3% error in the charged
current deep-inelastic neutrino-nucleon cross-section is estimated. For IceCube, the CTEQ5 structure
functions are implemented and an error of 2% is estimated from the errors given on the CTEQ6 PDFS
in the energy range 100 TeV to 1 PeV [113]. The differences in cross-section between CTEQ5 and
CTEQ6 are only present above 10
8.5
GeV and are thus beyond the range of our analyses.
9.1.2 Muon Propagation / Earth Model
The cross-sections for muon energy loss mechanisms at the energies of interest to GRB analyses
are known to within a few percent [114]. We adopt the estimate of [115] in a 1% effect on the neutrino
event rate, independent of muon energy. The event rate is also affected by the density of the bedrock
input into the propagation simulation. Applyng a 10% variation in the rock density [115] yields a 2%
variation in event rate in the AMANDA detector for a hard spectrum at angles near the horizon where
most events lie. An independent study for the deep sea ANTARES detector shows a comparable 3%

138
variation in event rates [116].
9.1.3 Reconstruction Bias
In both the AMANDA and IceCube analyses we utilize as an error estimate on the track
direction a fit of a paraboloid to the likelihood space. These error estimates are systematically lower
by about 8% for simulation compared to data, indicating that we may be reconstructing simulated
events better than real events. To account for this we increase the point spread function and repeat
our analyses. This results in a ∼ 5% worsening of our limits for all searches.
9.1.4 Ice Properties
The largest source of uncertainty is our understanding and modeling of the detector medium.
While extremely clear, the ice of the south pole contains many layers of dust (see Section 3.5). These
layers result in depth dependent variations in the scattering and absorption coefficients of the ice
that must be modeled correctly if we are to reproduce the structures seen in data. Even if the
properties of the ice are perfectly understood, if we do not propagate the photons from the track to
the PMTs correctly (using PHOTONICS), errors will be introduced. Because changes in the ice and
propagation affect light detection on the most basic level, resulting in perhaps completely different
event reconstructions, we must generate new Monte Carlo to study the effect. For the AMANDA
analysis, we adopt the 5% error result of [115].
For the IceCube analysis, we consider the worst imaginable case; that the ice is twice as clear
or dirty as we believe it to be. We thus stretch the nominal AHA ice model by a factor of two around
the average values (see Fig. 9.1). This results in a 40% reduction in the efficiency for GRB neutrinos.
However, as seen in Fig. 9.2(a), the effect on the structure is negligible. Only an overall reduction in
rate is observed. We thus adopt a new approach. The efficiency of each DOM is scaled as a function
of depth to match the differences between observed data and simulation. In order to be conservative,
we double this scaling, shown in Fig. 9.2(b). We then perform the likelihood analyses on the rescaled
simulation to determine the effect on our upper limits. We note that the DOM efficiency is not the
actual cause of the systematic differences, but is merely used to simulate the effect of our lack of
understanding of the ice and photon propagation.

139
Figure 9.1: Scattering coefficient at 400 nm for the stretched ice model compared to the
default AHA model. Deviations from average were stretched by 100% around the mean.
(courtesy Kurt Woschnagg)
(a)
(b)
Figure 9.2: Panel (a) depicts the lack of effect on structure due to stretching the AHA ice
model by 100%. Only an overall reduction in rate is visible. Panel (b) shows the depth
dependent scaling of DOM efficiency relative to the AHA ice model used to account
for uncertainties in the ice and photon propagation. Increasing DOM number on a string
corresponds to increasing depth below the antarctic surface. (courtesy Alexander Kappes)
9.1.5 Timing Resolution
The timing of the Optical Modules in AMANDA is known to better than 5 ns, measured with
YAG laser pulses. IceCube’s DOMs are internally calibrated to a precision of better than 2 ns. This
results in an overall impact on the final event rates of less than 2%, adopted from [115].

140
9.1.6 (D)OM Efficiency
The efficiency of the Optical Modules (or DOMs for IceCube) depends on the PMT quantum
efficiency, glass and gel transmission, and the re-frozen hole ice surrounding the strings. Studies with
atmospheric neutrinos in the AMANDA detector have constrained the uncertainty in OM efficiency
to +10%/㡇 7% around a nominal value of 85% [117]. Measurements of IceCube DOMs in a controlled
setting at Chiba University set DOM uncertainty at 8%. We apply a conservative variation of 10%.
Because the effect of changing the (D)OM efficiency is both nonlinear and spectrally dependent we
generate simulation with the extreme values and determine the resulting changes in final event rates.
9.1.7 Seasonal Background Variations
The background in our analyses is estimated from a measurement of the off-time all sky data
in the full livetime. While this provides a precise determination of the rate, it tends to smear out
any variation that could occur on a per burst basis. In fact, the downgoing muon rate is highly
seasonally dependent, varying based on the temperature of the atmosphere. A cold, thin atmosphere
decreases interaction rates while a warm, thick atmosphere increases the rate of background muons.
This is shown for the full 22-string IceCube livetime in Fig. 9.3. After final event selection, mostly
atmospheric neutrinos remain and the variation is of only a few percent. To be conservative we allow
the rate to vary by up to 10%
1
. Due to the extremely high background rejection in our analyses,
this results in a < 1% change in the upper limits.
1
Another reason we allow for a large variation is to take into account detector asymmetries in the AMANDA
analysis. For the IceCube analysis, asymmetries are incorporated into the background PDF in the likelihood function.

141
Figure 9.3: Seasonal variation in data rate for the full 22-string IceCube livetime at
upgoing muon filter level

142
Chapter 10
Conclusions
10.1 Summary
We have performed searches for muon neutrinos from gamma-ray bursts using both the
AMANDA-II and IceCube neutrino telescopes. The 2005-2006 AMANDA analysis searched for
prompt phase emission from 85 northern sky GRBs. This analysis utilized a binned method, op-
timized for discovery potential. No events were observed in the on-time window at final cut level,
allowing us to set an upper limit on muon neutrino emission from these 85 bursts. The 90% C.L.
upper limit on the diffuse flux is a factor 14.7 times higher than the model prediction of Waxman-
Bahcall. 90% of simulated signal events are containing in the energy region 21.0 TeV to 4.9 PeV. The
normalization of E
2
times this flux limit is 6.6 × 10
㡇 8
GeV s
㡇 1
cm
㡇 2
sr
㡇 1
at 100 TeV.
The 22-string IceCube analysis searched for prompt and precursor phase emission from 41
northern sky GRBs observed in 2007-2008. In addition, a generic search for high energy emission
from GRBs was performed over a wide time window. For the first time in stacked GRB searches,
an unbinned maximum likelihood technique was used. In all cases examined the on-time data were
consistent with the background only hypothesis. We therefore set limits on the muon neutrino fluence
for each search. For the prompt phase, the 90% C.L. upper limit is a factor 72 times higher than
the predicted neutrino fluence summed over all bursts in the sample. The 90% energy containment
region is 72 TeV to 6.5 PeV. The integral fluence limit over this range is 3.7 × 10
㡇 3
erg cm
㡇 2
. For the
precursor phase, the 90% C.L. upper limit is a factor 9.7 times higher than the predicted neutrino
fluence of Razzaque et al.. The 90% energy containment region is 2.2 TeV to 55 TeV. The integral

143
fluence limit over this range is 2.3 × 10
㡇 3
erg cm
㡇 2
. The 90% energy containment region for the
extended search is 3 TeV to 2.8 PeV, yielding a 90% C.L. upper limit on the integrated fluence of
2.7 × 10
㡇 3
erg cm
㡇 2
. In none of our searches is the limit strong enough to constrain the models.
10.2 Discussion
10.2.1 Previous Results
We compare our results with previous work, focusing on the muon neutrino channel. AMANDA
has performed searches for emission of neutrinos during the prompt and precursor phases for a large
sample of GRBs observed between 1997 and 2003 [8, 118]. These searches utilized binned methods
and in all cases, no events survived in the final on-time sample. In the search for prompt phase
emission, an average Waxman-Bahcall flux was assumed for each of 419 GRBs. For the precursor
search, a subset of 60 GRBs from 2001-2003 were analyzed. The event predictions and upper limits of
these experiments are summarized in Table 10.1. We see that in the case of the prompt phase search,
a downward fluctuation in the background allowed that analysis to set an upper limit significantly
better than the sensitivity.
N
Bursts
n
b
n
s
n
obs
event upper limit factor
1997-2003 prompt
419
1.74
0.78
0
1.1
1.3
2005-2006 prompt
85
0.00087 0.166
0
2.4
14.7
2007-2008 prompt
41
0.033
2.4
72
2001-2003 precursor
60
0.20
0.16
0
2.3
14
2007-2008 precursor
41
0.26
2.5
9.7
Table 10.1: Results of previous and current searches for muon neutrinos from GRBs with
both AMANDA-II and IceCube. Columns: n
b
– mean background expected, n
s
– mean
signal expected, factor – multiple of the predicted fluence excluded at 90% C.L. [8, 118].
We also note that the achievable limit for a stacked GRB search is directly proportional to
the number of bursts analyzed. For this reason, it was known a priori that the 2005-2006 AMANDA
analysis on 85 GRBs would not be competitive in terms of limit setting. This was partial motivation
for the decision to focus on the detectability of a signal in that analysis.
For a pair of binned analyses it is straightforward to combine results. One simply combines the

144
expected background in order to calculate a new event upper limit and then divides to the combined
mean signal expectation to determine the corresponding flux factor. If we apply this method to the
97-03 and 05-06 analyses, we find that the limit improves from a factor 1.3 above the prediction to
1.2. This reinforces the point that given the same detector, we require large additional data sets to
significantly improve our limits. We should note as well that the GRBs in the 05-06 analysis tend
to be fainter than the bursts used in the 97-03 analysis, and thus combining results assuming that
they come from the same population (and hence model) is not entirely correct. However, because
the potential gains are so small, we do not undertake a detailed examination of this effect here.
A more interesting question would be whether we can combine the AMANDA limits with
those set by our 22-string IceCube analysis, as the effective area for the latter is so much larger.
In Fig. 10.1, we compare the prompt and precursor IceCube results with those of the published
AMANDA work, converting the diffuse flux limits to per burst fluences and scaling to the 41 burst
dataset of 2007-2008. We see that in the case of the prompt search, with a factor 10 fewer bursts in
our sample, we are only a factor ∼ 3 worse in limit setting ability. For the precursor search, we do
substantially better, giving the strongest limits to date on such emission from GRBs.
While it is attractive to combine these results, it is not practical to do so. The reason is that
one search is binned while the other is not. We presented above the straightforward method for the
combination of limits for a pair of binned searches, namely the calculation of a combined event upper
limit based on the summed background expectation and observed events in each analysis. However,
for an unbinned search, there is no such “background expectation”. Rather, we have a large (∼ 5000)
sample of neutrino candidates for which we evaluate the likelihood that each belongs to the signal
or background distribution. The event upper limit comes not from a background number prediction,
but rather from the distribution of the test statistic of the unblinded data (see section 8.5). Thus,
in order to produce a combined result, one would have to reanalyze the AMANDA data with an
unbinned search and determine the p-value of the combined unblinded data. Such an analysis is
beyond the scope of this work.
As a final question, we ask whether the downward fluctuation of the earlier analysis impacts
the significance of a future discovery. That is, as we observed 0 events on a predicted background

145
E
ν
(GeV)
4
10
5
10
6
10
7
10
8
10
)
-2
fluence (GeV cm
×
2
E
-5
10
-4
10
-3
10
-2
10
-1
10
1
10
2
10
E
ν
(GeV)
4
10
5
10
6
10
7
10
8
10
)
-2
fluence (GeV cm
×
2
E
-5
10
-4
10
-3
10
-2
10
-1
10
1
10
2
10
precursor spectrum
precursor limit (IC-22)
precursor limit (97-03)
prompt spectrum
prompt limit (IC-22)
prompt limit (97-03)
Figure 10.1: Comparison of 22-string IceCube results with previous AMANDA limits.
Dark solid and dashed lines indicate the 22-string limits with light lines showing the
prediction from 41 bursts. Dark dotted and dot-dashed lines show the fluence limits
derived from the AMANDA diffuse GRB flux limits of [8, 118].
of ∼ 2, are we “due an event”? To answer this we consider two approaches. First, we compare the
analysis techniques to determine whether it is reasonable to penalize future work in this way. We then
look at the problem from a different direction, disregarding such arguments and instead performing
a conservative calculation of the combined significance of a set of GRB analyses, including some with
null result.
There are several reasons we might argue that previous work should not penalize future discov-
eries. Previous analyses were optimized to maximize the limit setting potential (section 7.6), while
current and future searches maximize the potential for making a significant discovery. Because of
this, higher background rates were tolerated when choosing event selections, leading to the possibility
for a downward fluctuation as was observed. The improved angular resolution of IceCube relative
to AMANDA as well as updated event selection strategies have resulted in near-zero backgrounds

146
in the latest searches. Furthermore, GRBs are individual events. It is well known that the most
likely scenario for a positive detection in neutrinos is a bright, nearby burst. It is therefore not
surprising that we observe a large sample of bursts with no neutrinos before making a discovery. In
fact, we expect this. Even in the case where the summed contribution from many bursts is in excess
of one event, this simply means that we have more chances for that single, rare, upward fluctuation.
What we should focus on is increasing the signal expectation with the fewest number of bursts in the
sample, rather than analyzing large samples of bursts. In this way, each GRB need fluctuate less to
contribute a detectable signal event.
Let us now disregard the above considerations and proceed from a purely statistical standpoint.
To determine a combined significance for an ensemble of experiments, we would like to be able to
combine the likelihood that each observation was not due to the background only hypothesis. If one
makes an observation in excess of the expected background, this is straightforward. In our case, the
probability of observing n
obs
on an expected background of n
b
is given by the Poisson probability
P (n
obs
|n
b
). However, a downward fluctuation represents an unexpected case. For example, the 97-
03 prompt GRB search has P (0, 1.74) = 0.176. However, this certainly does not mean that the
null hypothesis is rejected at 82.4% C.L.. Rather, it just tells us that the chance of this particular
downward fluctuation from the prediction is 17.6%
1
. It is difficult to incorporate such a probability
into a combined significance. We therefore consider a slightly modified question. We define the
p-value for each analysis as the probability that the same or a more extreme observation would be
made in repeated experiments. Thus, an observation of 0 will always correspond to a p-value of 1
(all experiments will observe at least 0 events), while observations of more events will have p-values
depending on the background expectation. In this case for a given observation n
obs
and background
expectation n
b
, we have
p(n
obs
, n
b
) = 1 㡇
n
obs
?
㡇 1
i=0
P (i|n
b
)
(10.1)
where P (i|n
b
) is once again the Poisson probability. We can then combine the final p-values for
1
We note here that if the background hypothesis were determined via simulation, we might argue that it was
overestimated. However, the background is known from off-time experimental data, and thus the fluctuation does not
correspond to a rejection of the null hypothesis.

147
our ensemble of n independent analyses into one test statistic via Fisher’s combined probability
test [119, 120].
χ
2
2n
= 㡇 2
?
n
i=1
ln(p
i
)
(10.2)
The p-value of χ
2
is then interpolated from a chi-square table having 2n degrees of freedom. The
chi-square integral can be solved analytically, giving the combined significance as
p
tot
= k
n
?
㡇 1
i=0
(㡇 ln(k))
i
i!
(10.3)
where k = p
1
· p
2
· ... · p
n
is the product of the p-values for all analyses. In the case of combining only
two analyses, this becomes p
tot
= k 㡇 k ln(k). Let us now consider our example of combining a highly
significant (5σ, p = 5.73 × 10
㡇 7
) discovery of a future analysis with our previous result of observing 0
on an expectation of 1.74 (p = 1)
2
. In this case we have k = 5.73×10
㡇 7
and p
tot
= 8.8×10
㡇 6
, still an
order of magnitude more significant than 4σ. A less significant discovery (3σ, p = 2.7 × 10
㡇 3
) would
be reduced to p = 0.019 in the same situation. In this case it makes sense that we wouldn’t consider
this discovery significant, as it was marginal in the first case. This example serves to emphasize why
we choose a high threshold for discovery (5σ). It shields us against previous null results and trial
factors we may miss.
10.2.2 Sensitivity to gamma rays from GRBs
It has been proposed that IceCube could be used as an observatory for TeV gamma-ray sources
in the southern sky [121, 122, 123], and AMANDA has set a limit on the photon emission from the
giant soft-gamma repeater SGR 1806-20 [124]. We investigate whether it is possible to observe such
a TeV scale gamma flux from GRBs, likely associated with π
0
decay (see section 2.3).
Gamma rays interact in the atmosphere to produce muons which then propagate through
the Earth to the detector. The muons and hence gammas must have a certain minimum energy in
order to penetrate the ∼ 1.5 km ice overburden. However, we must also consider the suppression of
2
Note that the large downward fluctuation is incorporated here. If we had observed 1 on 1.74 for example, we would
instead have p = 0.82.

148
cosmological high energy photons due to pair-pair interactions on the cosmic microwave background
(CMB) and extragalactic background light (EBL). Finally, we take into account the large background
rates of cosmic ray-induced downgoing muons.
The absorption model of Stecker et al [125] (Fig. 10.2) shows that even for relatively nearby
sources the suppression of TeV scale gamma-rays due to EBL and CMB pair production processes is
large. To determine the feasibility of further studies, we perform a test case ignoring this suppression.
The nearest GRB so far recorded was at a redshift of z = 0.008, and we claim that the EBL absorption
from this distance could be negligible. We take the TeV photon emission from the test GRB to follow
an E
㡇 2
power law, in agreement with predictions of the accelerated protons, and apply a standard flux
normalization of 10
㡇 11
TeV
㡇 1
cm
㡇 2
s
㡇 1
sr
㡇 1
at 1 TeV. We apply a cut-off to the the energy spectrum
at 100 TeV, allowing for possible absorption at high energies and incorporating a lack of knowledge
of the exact burst physics.
E
γ
(GeV)
1e+00
1e+01
1e+02
1e+03
1e+04
1e+05
τ
1e-02
1e-01
1e+00
1e+01
1e+02
1e+03
1e+04
1e+05
1e+06
1e+07
z = 5
z = 3
z = 2
z = 1
z = 0.5
z = 0.2
z = 0.117
z = 0.03
Fig. 8.— The optical depth of the universe to γ-rays from interactions with photons of the IBL and CMB for
having energies up to 100 TeV. This is given for a family of redshifts from 0.03 to 5 as indicated. The solid lines are for
the fast evolution IBL cases and the dashed lines are for the baseline IBL cases.
1e+03
Figure 10.2: Opacity of the universe to high energy photons. Absorption on the combined
CMB and EBL background light is shown for several redshifts. The average GRB is
located at z = 1 㡇 2. (from [125])
Assuming such a flux incident at Earth, we adopt the analytical solution of the cascade equa-
tions of O´ Murchadha [126], which updates earlier estimates [127] of the gamma-induced muon flux.

149
This work includes pion and kaon production in the atmosphere and subsequent decay, as well as
muon pair production both directly and via electrons. Resulting muons and muon bundles are prop-
agated through the Earth assuming the standard energy loss equations in order to determine the
remaining flux at the depth of IceCube.
?
dE
dx
?
= 㡇 a 㡇 bE
(10.4)
Here, a = 2.59 × 10
㡇 6
TeV (g/cm
2
)
㡇 1
and b = 3.63 × 10
㡇 6
TeV (g/cm
2
)
㡇 1
[67]. The effective area of
IceCube is calculated from Monte Carlo event rates at zenith angles of 0, 30, and 45 degrees with
respect to the downgoing vertical.
For a test GRB located at the zenith, following the flux described above, and with 10 s of
photon emission, we calculate 2.3 background muons and 0.00031 signal gamma-induced muons.
In order to instead have a 5σ discovery, the flux normalization would have to increase to 2.5 ×
10
㡇 7
TeV
㡇 1
cm
㡇 2
s
㡇 1
sr
㡇 1
at 1 TeV. This result is roughly the same if the GRB is instead located at
30
from vertical.
Based on these results for the most optimistic case of an extremely close, short burst, we
conclude that the prospects for detecting TeV-scale gamma-rays from GRBs are slim to non-existent.
A burst would have to be both very nearby and exceedingly bright to offer any hope of detection. In
this case an observation would certainly not be unique to IceCube, and in fact the predicted neutrino
flux would be quite large.
10.3 Outlook
With the launch of the Fermi Gamma Space Telescope [28] in July of 2008, the rate of GRB
observations has nearly tripled. In addition, Fermi is sensitive to higher energies than Swift, allowing
measurement of photon spectral break indices and creating a complementary satellite network with
both full sky coverage and excellent pointing resolution (when Swift is able to slew to make afterglow
measurements). These additional opportunities for neutrino detection will be exploited in the future
to rapidly improve the sensitivity of analyses.
Furthermore, our detector is itself growing every year. IceCube has been operating in a 40-

150
string configuration since April 2008 and first analyses using this data are nearing maturity. With
this geometry IceCube is already as large as the full detector along the major axis, giving us the
increased angular resolution that comes from longer lever arms. 19 additional strings were deployed
during the 2008-2009 austral summer, and the 59-string detector began data taking in May of 2009.
In the 2009-2010 deployment season, the remainder of the low-energy Deep Core system will be
installed, extending our sensitivity in the sub TeV regime, notably for precursor GRB emission.
Work is ongoing to optimize the layout of the final 9 strings of the detector to extend sensitivities at
the highest energies. We discuss our efforts on this front and the implications for GRB searches in
Appendix B.
Initial studies of the sensitivity of the full detector to high energy neutrinos from GRBs [128]
are encouraging, with preliminary results showing that IceCube will be able to detect the leading
models with a high level of significance within the first year of operation. These calculations are
described in detail in Appendix B. Fig. 10.3 illustrates the substantial increase in neutrino effective
area as the detector grows in physical size.
10
E
ν
[GeV]
log
2
3
4
5
6
7
8
]
2
effective area [m
μ
ν
-3
10
10
-2
10
-1
1
10
10
2
3
10
IceCube 86
IceCube 22
AMANDA-II
Figure 10.3: Muon neutrino effective area angle-averaged over the northern hemisphere
for AMANDA-II, the 22-string configuration of IceCube, and the full 86-string IceCube
detector. The Deep Core extension extends the effective area at low energies for the full
detector.

151
While the analyses presented in this thesis have not constrained models of neutrino emission
from GRBs, they have demonstrated important new search techniques. It has been shown that by
implementing careful and stringent event selections, a highly significant discovery of a transient source
can be made with only a few observed events. Furthermore, by incorporating the energy information
of each event in an unbinned likelihood analysis, nearly a factor of two improvement in discovery
potential can be achieved relative to the prototypical analysis that searches for events within a
specified spatial and temporal bin around a source location and time. We have also demonstrated that
substantial sensitivity is gained by modeling the neutrino emission from individual GRBs based on
observed photon spectral characteristics. By building on the knowledge gained through these analyses
and leveraging increasing data samples and collection area, IceCube will soon see the first neutrinos
from gamma-ray bursts or else will set strong constraints on the emission of such neutrinos. In either
case, we will gain valuable insight into the physical processes that occur within these fascinating
astrophysical objects.

152
Bibliography
[1] T. Stanev, P. Biermann, and T. Gaisser, “Cosmic rays IV. the spectrum and chemical
composition above 10
4
GeV,” A&A 274 (1993) 902, astro-ph/9303006.
[2] J. Hoerandel, “On the knee in the energy spectrum of cosmic rays,” Astropart. Phys. 19
(2003) 193, astro-ph/0210453.
[3] J. Cronin, S. Swordy, and T. Gaisser, “Cosmic rays at the energy frontier,” Sci. Am. 276
(1997) 32.
[4] M. Longair, High Energy Astrophysics Vol. 2. Cambridge, 1981.
[5] R. Blandford and J. Ostriker, “Particle acceleration by astrophysical shocks,” ApJ 221 (1978)
L29.
[6] A. Bell, “The acceleration of cosmic rays in shock fronts. I,” Mon. Not. R. astr. Soc. 182
(1978) 147.
[7] A. Hillas, “The origin of ultra-high-energy cosmic rays,” Ann. Rev. Astron. Astrophys. 22
(1984) 425.
[8] IceCube Collaboration, A. Achterberg et al., “The search for muon neutrinos from northern
hemisphere gamma-ray bursts with AMANDA,” ApJ 674 (2008) 357, arXiv:0705.1186.
[9] R. Bay, Search for High Energy Emission from Gamma-Ray Bursts with the Antarctic Muon
and Neutrino Detector Array (AMANDA). PhD thesis, University of California, Berkeley,
2000.
[10] R. Hardtke, The Search for High Energy Neutrinos from Gamma-Ray Bursts with the
AMANDA Detector. PhD thesis, University of Wisconsin-Madison, 2002.
[11] IceCube Collaboration, A. Achterberg et al., “Search for neutrino-induced cascades from
gamma-ray bursts with AMANDA,” ApJ 664 (2007) 397, arXiv:astro-ph/0702265.
[12] M. Stamatikos, Probing for Correlated Neutrino Emission from Gamma-Ray Bursts with
Antarctic Cherenkov Telescopes: a Theoretical Modeling and Analytical Search Paradigm in
the Context of the Fireball Phenomenolgy. PhD thesis, State University of New York, Buffalo,
2006.
[13] IceCube Collaboration, R. Abbasi et al., “Search for high-energy muon neutrinos from the
‘naked-eye’ GRB 080319B with the IceCube neutrino telescope,” accepted for publication in
ApJ (2009) , arXiv:0902.0131.
[14] NASA, “The Vela satellite program,” 1965.
http://heasarc.gsfc.nasa.gov/docs/vela5b/vela5b.html.

153
[15] R. Klebesadel, I. Strong, and R. Olson, “Observations of gamma-ray bursts of cosmic origin,”
ApJ 182 (1973) L85.
[16] W. Wheaton et al., “The direction and spectral variability of a cosmic gamma-ray burst,”
ApJ 185 (1973) L57.
[17] T. Cline, U. Desai, R. Klebesadel, and I. Strong, “Energy spectra of cosmic gamma-ray
bursts,” ApJ 185 (1973) L1.
[18] NASA, “Burst and Transient Source Experiment - BATSE,” 1991.
http://www.batse.msfc.nasa.gov/batse/.
[19] C. Kouveliotou et al., “Identification of two classes of gamma-ray bursts,” Astrophys. J. Lett.
413 (1993) no. 2, L101–L104.
[20] C. Meegan et al., “Spatial distribution of γ-ray bursts observed by BATSE,” Nature 355
(1992) 143–145.
[21] W. Paciesas et al., “The fourth BATSE gamma-ray burst catalog (revised),” Astrophy. J.
Suppl. 122 (1999) 465–495, astro-ph/9903205.
[22] ASI, “BeppoSAX,” 1996. http://www.asdc.asi.it/bepposax/.
[23] M. Metzger et al., “Spectral constraints on the redshift of the optical counterpart to the γ-ray
burst of 8 May 1997,” Nature 387 (1997) 878–880.
[24] N. Gehrels et al., “The Swift gamma-ray burst mission,” ApJ 611 (2004) 1005.
[25] NASA, “Swift satellite,” 2004. http://swift.gsfc.nasa.gov/docs/swift/swiftsc.html.
[26] N. Gehrels et al., “A short γ-ray burst apparently associated with an elliptical galaxy at
redshift z = 0.225,” Nature 437 (2005) 851, astro-ph/0505630.
[27] J. Greiner et al., “GRB 080913 at redshift 6.7,” ApJ 693 (2009) 1610, arXiv:0810.2314.
[28] NASA, “Fermi Gamma Space Telescope,” 2008.
http://www.nasa.gov/mission pages/GLAST/main/index.html.
[29] Fermi Collaboration, A. Abdo et al., “Fermi observations of high-energy gamma-ray emission
from GRB 080916C,” Science 323 (2009) 1688.
[30] S. Woosley, “Gamma-ray bursts from stellar mass accretion disks around black holes,” ApJ
405 (1993) 273.
[31] S. Woosley and A. Heger, “The progenitor stars of gamma-ray bursts,” ApJ 637 (2006) 914,
astro-ph/0508175.
[32] T. Galama et al., “Discovery of the peculiar supernova 1998bw in the error box of
GRB980425,” Nature 395 (1998) 670, astro-ph/9806175.
[33] D. Eichler, M. Livio, T. Piran, and D. N. Schramm, “Nucleosynthesis, neutrino bursts and
γ-rays from coalescing neutron stars,” Nature 340 (1989) 126.
[34] C. Fryer, S. Woosley, and D. Hartmann, “Formation rates of black hole accretion disk
gamma-ray bursts,” ApJ 526 (1999) 152, astro-ph/9904122.
[35] P. Meszaros and M. J. Rees, “Relativistic fireballs and their impact on external matter -
models for cosmological gamma-ray bursts,” ApJ 405 (1993) 278.

154
[36] P. Meszaros, “Gamma-ray bursts,” Rept. Prog. Phys. 69 (2006) 2259–2322,
astro-ph/0605208.
[37] D. Band et al., “BATSE observations of gamma-ray burst spectra: I. spectral diversity,” ApJ
413 (1993) 281.
[38] E. Molinari et al., “REM observations of GRB 060418 and GRB 060607A: the onset of the
afterglow and the initial fireball Lorentz factor determination,” A&A 469 (2007) L13.
[39] J. Rhoads, “The dynamics and light curves of beamed gamma ray burst afterglows,” ApJ 525
(1999) 737, astro-ph/9903399.
[40] R. Sari, T. Piran, and J. Halpern, “Jets in GRBs,” ApJ 519 (1999) L17, astro-ph/9903339.
[41] F. Harrison et al., “Optical and radio observations of the afterglow from GRB990510:
Evidence for a jet,” ApJ 523 (1999) L121, astro-ph/9905306.
[42] D. Frail et al., “Beaming in gamma-ray bursts: Evidence for a standard energy reservoir,”
ApJ 562 (2001) L55, astro-ph/0102282.
[43] J. Bloom, D. Frail, and S. Kulkarni, “Gamma-ray burst energetics and the gamma-ray burst
Hubble diagram: Promise and limitations,” ApJ 594 (2003) 674, astro-ph/0302210.
[44] B. Zhang, “Gamma-ray bursts in the Swift era,” Chin. J. Astron. Astrophys. 7 (2007) 1–50,
astro-ph/0701520.
[45] E. Waxman and J. N. Bahcall, “High-energy neutrinos from cosmological gamma-ray burst
fireballs,” Phys. Rev. Lett. 78 (1997) 2292, astro-ph/9701231.
[46] D. Guetta et al., “Neutrinos from individual gamma-ray bursts in the BATSE catalog,”
Astropart. Phys. 20 (2004) 429, astro-ph/0302524.
[47] F. Halzen and D. Hooper, “High-energy neutrino astronomy: The cosmic ray connection,”
Rep. Prog. Phys. 65 (2002) 1025, astro-ph/0204527.
[48] E. Waxman, S. Kulkarni, and D. Frail, “Implications of the radio afterglow from the
gamma-ray burst of May 8, 1997,” ApJ 497 (1998) 288, astro-ph/9709199.
[49] E. Waxman and J. Bahcall, “High energy neutrinos from astrophysical neutrinos: An upper
bound,” Phys. Rev. D59 (1999) 023002, hep-ph/9807282.
[50] S. Razzaque, P. Meszaros, and E. Waxman, “Neutrino tomography of gamma ray bursts and
massive stellar collapses,” Phys. Rev. D68 (2003) 083001, astro-ph/0303505.
[51] J. K. Becker, “High-energy neutrinos in the context of multimessenger astrophysics,” Phys.
Rep. 458 (2008) 173–246, arXiv:0710.1557.
[52] E. Waxman and J. N. Bahcall, “Neutrino afterglow from gamma-ray bursts: ∼ 10
18
eV,” ApJ
541 (2000) 707, astro-ph/9909286.
[53] R. Davis Jr., “Solar neutrinos. II. experimental,” Phys. Rev. Lett. 12 (1964) no. 11, 303–305.
[54] J. Bahcall and R. Davis Jr., “Solar neutrinos: a scientific puzzle,” Science 191 (1976) 264–267.
[55] Q. Ahmad et al., “Measurement of the rate of ν
e
+ d → p + p + e
interactions produced by
8B solar neutrinos at the Sudbury Neutrino Observatory,” Phys. Rev. Lett. 87 (2001) 071301,
nucl-ex/0106015.

155
[56] H. Athar, C. Kim, and J. Lee, “The intrinsic and oscillated astrophysical neutrino flavor
ratios,” Mod. Phys. Lett. A21 (2006) 1049–1066, hep-ph/0505017.
[57] T. Kashti and E. Waxman, “Flavoring astrophysical neutrinos: Flavor ratios depend on
energy,” Phys. Rev. Lett. 95 (2005) 181101, astro-ph/0507599.
[58] R. Gandhi et al., “Neutrino interactions at ultrahigh energies,” Phys. Rev. D58 (1998)
093009, hep-ph/9807264.
[59] J. Learned and K. Mannheim, “High-energy neutrino astrophysics,” Annu. Rev. Nucl. Part.
Sci. 50 (2000) 679–749.
[60] P. Lipari and T. Stanev, “Propagation of multi-TeV muons,” Phys. Rev. D44 (1991) 113543.
[61] P. Price and K. Woschnagg, “Role of group and phase velocity in high-energy neutrino
observatories,” Astropart. Phys. 15 (2001) 97, hep-ex/0008001.
[62] P. Ceˇ renkov, “Visible emission of clean liquids by action of radiation,” C. R. Ac. Sci.
U.S.S.R. 8 (1934) 451.
[63] P. Ceˇ renkov, “Visible radiation produced by electrons moving in a medium with velocities
exceeding that of light,” Phys. Rev. 52 (1937) 378–379.
[64] I. Frank and I. Tamm, “Coherent radiation of fast electrons in a medium,” C. R. Ac. Sci.
U.S.S.R. 14 (1937) 107.
[65] M. Longair, High Energy Astrophysics Vol. 1. Cambridge, 1981.
[66] J. Jackson, Classical Electrodynamics. Wiley, 1998.
[67] D. Chirkin and W. Rhode, “Muon Monte Carlo: A high-precision tool for muon propagation
through matter,” preprint (2004) , hep-ph/0407075.
[68] G. Fiorentini, V. Naumov, and F. Villante, “Atmospheric neutrino flux supported by recent
muon experiments,” Phys. Lett. B510 (2001) 173, hep-ph/0106014.
[69] AMANDA Collaboration, P. Desiati et al., “Response of AMANDA-II to cosmic ray
muons,” in Proc. 28th International Cosmic Ray Conference (ICRC’03), p. 1373. Tsukuba,
Japan, 2003.
[70] AMANDA Collaboration, M. Ackermann et al., “Optical properties of deep glacial ice at
the South Pole,” J. Geophys. Res. 111 (2006) D13203.
[71] AMANDA Collaboration, J. Ahrens et al., “Muon track reconstruction and data selection
techniques in AMANDA,” Nucl. Inst. Meth. A524 (2004) 169, astro-ph/0407044.
[72] ANTARES Collaboration, J. Aguilar et al., “Transmission of light in deep sea water at the
site of the Antares neutrino telescope,” Astropart. Phys. 23 (2005) 131, astro-ph/0412126.
[73] S. Grullon, D. Boersma, and G. Hill, “Photonics-based log-likelihood reconstruction in
IceCube,” Tech. Rep., IceCube, 200807001-v3, 2008.
[74] M. Ackermann, Searches for Signals from Cosmic Point-like Sources of High Energy
Neutrinos in 5 Years of AMANDA-II Data. PhD thesis, Humboldt-Universit¨at zu Berlin,
Germany, 2006.

156
[75] A. Karle, “Monte Carlo simulation of photon transport and detection in deep ice: Muons and
cascades,” in Proc. Simulation and Analysis Methods for Large Neutrino Telescopes, p. 174.
DESY, Zuethen, Germany, 1999.
[76] J. Lundberg et al., “Light tracking for glaciers and oceans: Scattering and absorption in
heterogeneous media with Photonics,” Nucl. Inst. Meth. A581 (2007) 619,
astro-ph/0702108.
[77] IceCube Collaboration, J. Zornoza, D. Chirkin, et al., “Muon energy reconstruction and
atmospheric neutrino spectrum unfolding with the IceCube detector,” in Proc. 30th
International Cosmic Ray Conference (ICRC’07). Merida, Mexico, Aug. 2007.
arXiv:0711.0353.
[78] NASA, “Gamma-Ray Burst Coordinates Network - GCN,” 2009. http://gcn.gsfc.nasa.gov.
[79] NASA, “High Energy Transient Explorer - HETE-II,” 2000. http://space.mit.edu/HETE/.
[80] ESA, “International Gamma-Ray Astrophysics Laboratory - INTEGRAL.”
http://www.sciops.esa.int/index.php?project=INTEGRAL&page=index.
[81] IPN, “3
rd
interplanetary network - IPN3,” 1990. http://www.ssl.berkeley.edu/ipn3/.
[82] ISAS, “Suzaku,” 2005. http://www.isas.jaxa.jp/e/enterp/missions/suzaku/index.shtml.
[83] M. Tavani et al., “The AGILE space mission,” Nucl. Inst. Meth. A588 (2008) 52–62.
[84] ASI, “AGILE,” 2007. http://agile.rm.iasf.cnr.it/.
[85] AMANDA Collaboration, E. Andres et al., “The AMANDA neutrino telescope: Principle of
operation and first results,” Astropart. Phys. 13 (2000) 1–20, astro-ph/9906203.
[86] AMANDA Collaboration, P. Askebjer et al., “Optical properties of the south pole ice at
depths between 0.8 and 1 km,” Science 267 (1995) 1147, astro-ph/9412028.
[87] IceCube Collaboration, R. Abbasi et al., “The IceCube data acquisition system: Signal
capture, digitization, and timestamping,” Nucl. Inst. Meth. A601 (2009) 294–316,
arXiv:0810.4930.
[88] R. Stokstad, D. Lowder, J. Ludvig, D. Nygren, and G. Przybylski Tech. Rep., LBNL, 43200,
1998.
[89] R. Quimby, “GRBlog homepage,” 2009. http://grad40.as.utexas.edu/.
[90] AMANDA Collaboration, “AMANDA monitoring homepage,” 2006.
http://butler.physik.uni-mainz.de/amanda-monitoring/html/mainmenu.html.
[91] NASA, “HEASARC software homepage,” 2009.
http://heasarc.gsfc.nasa.gov/docs/software.html.
[92] N. Butler et al., “A complete catalog of Swift GRB spectra and durations: Demise of a
physical origin for pre-Swift high-energy correlations,” ApJ 671 (2007) 656–677,
arXiv:0706.1275.
[93] A. Roth, A Search for Muon Neutrinos from Gamma-Ray Bursts with the IceCube 22-String
Detector. PhD thesis, University of Maryland, 2009.

157
[94] IceCube Collaboration, K. Hoffman, K. Meagher, P. Roth, I. Taboada, et al., “Search for
neutrinos from GRBs with IceCube,” in Proc. 31st International Cosmic Ray Conference
(ICRC’09). L´od´z,Poland,2009.
[95] D. Heck et al., “CORSIKA: A monte carlo code to simulate extensive air showers,” Tech.
Rep., FZKA, 6019, 1998.
[96] G. Hill, “Detecting neutrinos from AGN: New fluxes and cross sections,” Astropart. Phys. 6
(1997) 215, astro-ph/9607140.
[97] A. Martin, R. Roberts, and W. Stirling, “Pinning down the glue in the proton,” Phys. Lett.
B354 (1995) 155, hep-ph/9502336.
[98] A. Gazizov and M. O. Kowalski, “ANIS: High energy neutrino generator for neutrino
telescopes,” Comp. Phys. Comm. 172 (2005) 203, astro-ph/0406439.
[99] H. Lai, J. Huston, S. Kuhlmann, J. Morfin, F. Olness, J. Owens, J. Pumplin, and W. Tung,
“Global QCD analysis of parton structure of the nucleon: CTEQ-5 parton distributions,”
Eur. Phys. J. C12 (2000) 375, hep-ph/9903282.
[100] Dziewonski and Anderson, “Preliminary reference Earth model,” Phys. Earth. Planet. Int. 25
(1981) 297–356.
[101] G. D. Barr et al., “Three-dimensional calculation of atmospheric neutrinos,” Phys. Rev. D70
(2004) 023006, astro-ph/0403630.
[102] S. Hundertmark, Simulation und Analyse von Myonereignissen im
AMANDA-B4-Neutrinoteleskop. PhD thesis, Humboldt-Universit¨at zu Berlin, Germany, 1999.
[103] A. Pohl, A Statistical Tool for Finding Non-Particle Events from AMANDA Neutrino
Telescope. Licentiate thesis, Uppsala and Kalmar Universities, Sweden, 2004.
[104] J. Bahcall and E. Waxman, “High energy astrophysical neutrinos: The upper bound is
robust,” Phys. Rev. D64 (2001) 023002, hep-ph/9902383.
[105] G. Hill and K. Rawlins, “Unbiased cut selection for optimal upper limits in neutrino detectors:
the model rejection potential technique,” Astropart. Phys. 19 (2003) 393, astro-ph/0209350.
[106] G. C. Hill, J. Hodges, B. Hughey, A. Karle, and M. Stamatikos, “Examining the balance
between optimising an analysis for best limit setting and best discovery potential,” in Proc.
PHYSTAT O5: Statistical Problems in Particle Physics. Oxford, United Kingdom, Sep, 2005.
[107] IceCube Collaboration, R. Abbasi et al., “Search for muon neutrinos from Gamma-Ray
Bursts with the IceCube neutrino telescope,” In Prep. (2009) .
[108] G. Feldman and R. Cousins, “A unified approach to the classical statistical analysis of small
signals,” Phys. Rev. D57 (1998) 3873, physics/9711021.
[109] IceCube Collaboration, R. Abbasi et al., “First neutrino point-source results from the
22-string icecube detector,” Submitted to ApJ. Lett. (2009) , arXiv:0905.2253.
[110] J. Braun, J. Dumm, F. de Palma, C. Finley, A. Karle, and T. Montaruli, “Methods for point
source analysis in high energy neutrino telescopes,” Astropart. Phys. 29 (2008) 299,
arXiv:0801.1604.
[111] R. J. Barlow, Statistics. Wiley, 1989.

158
[112] HiRes Collaboration, R. Abbasi et al., “Search for cross-correlations of ultrahigh-energy
cosmic rays with BL Lacertae objects,” ApJ 636 (2006) 680, arXiv:astro-ph/0507120.
[113] J. Pumplin, D. Stump, J. Huston, H. Lai, P. Nadolsky, and W. Tung, “New generation of
parton distributions with uncertainties from global QCD analysis,” J. High Energy Phys.
0207 (2002) 12, hep-ph/0201195.
[114] E. Bugaev, I. Sokalski, and S. Klimushin, “Simulation accuracy of long range muon
propagation in medium: analysis of error sources,” hep-ph/0010323.
[115] IceCube Collaboration, A. Achterberg et al., “Five years of searches for point sources of
astrophysical neutrinos with the AMANDA-II neutrino telescope,” Phys. Rev. D75 (2007)
102001, astro-ph/0611063.
[116] T.Montaruli and I. Sokalski, “Influence of neutrino interaction and muon propagation media
on neutrino-induced muon rates in deep underwater detectors,” Tech. Rep., ANTARES-Phys,
2003-001, 2003.
[117] J. Kelley, Searching for Quantum Gravity with High-Energy Atmospheric Neutrinos and
AMANDA-II. PhD thesis, University of Wisconsin-Madison, 2009.
[118] K. Kuehn, The Search for Muon Neutrinos from Northern Hemisphere Gamma-Ray Bursts
with AMANDA-II. PhD thesis, University of California, Irvine, 2007.
[119] R. Fisher, Statistical Methods for Research Workers. Oliver and Boyd, 1925.
[120] R. Fisher, “Combining independent tests of significance,” Amer. Stat. 2 (1948) no. 5, 30.
[121] F. Halzen, T. Stanev, and G. Yodh, “Gamma ray astronomy with muons,” Phys. Rev. D55
(1997) 4475, astro-ph/9608201.
[122] J. Alvarez-Muniz and F. Halzen, “Muon detection of TeV gamma rays from gamma ray
bursts,” ApJ 521 (1999) 928, astro-ph/9902039.
[123] F. Halzen and D. Hooper, “Gamma ray astronomy with IceCube,” JCAP 0308 (2003) 006,
astro-ph/0305234.
[124] IceCube Collaboration, A. Achterberg et al., “Limits on the high-energy gamma and
neutrino fluxes from the SGR 1806-20 giant flare of December 27th, 2004 with the
AMANDA-II detector,” Phys. Rev. Lett. 97 (2006) 221101, astro-ph/0607233.
[125] F. Stecker, M. Malkan, and S. Scully, “Intergalactic photon spectra from the far IR to the UV
lyman limit for 0 < z < 6 and the optical depth of the universe to high energy gamma-rays,”
ApJ 648 (2006) 774, astro-ph/0510449.
[126] F. Halzen, A. Kappes, and A. O´ Murchadha, “Gamma-ray astronomy with muons: Sensitivity
of IceCube to PeVatrons in the southern sky,” In Prep. (2009) .
[127] F. Halzen, K. Hikasa, and T. Stanev, “Particle physics with cosmic accelerators,” Phys. Rev.
D34 (1986) 2061.
[128] IceCube Collaboration, A. Kappes, P. Roth, and E. Strahler, “Searches for neutrinos from
GRBs with the IceCube 22-string detector and sensitivity estimates for the full detector,” in
Proc. 31st International Cosmic Ray Conference (ICRC’09). L´od´z, Poland, July, 2009.
[129] D. Chirkin, “A new method for identifying neutrino events in IceCube data,” in Proc. 31st
International Cosmic Ray Conference (ICRC’09). L´od´z, Poland, July, 2009.

159
[130] V. Vapnik, The Nature of Statistical Learning Theory. Springer-Verlag, 1995.
[131] C. Cortes and V. Vapnik, “Support-vector networks,” Machine Learning 20 (1995) no. 3, 273.
[132] C. Burges, “A tutorial on support vector machines for pattern recognition,” Data Min.
Knowl. Discov. 2 (1998) 121–167.
[133] R. Fletcher, Practical Methods of Optimization. Wiley, 1987.
[134] M. Aizerman, E. Braverman, and L. Rozonoer, “Theoretical foundations of the potential
function method in pattern recognition learning,” Automation and Remote Control 25 (1964)
821.
[135] T. Joachims, “Making large-scale SVM learning practical,” Tech. Rep., MIT Press, 1998.
[136] T. Joachims, “SVM
light
homepage,” 1999. http://svmlight.joachims.org/.
[137] C. Hsu, C. Chang, and C. Lin, “A practical guide to support vector classification,” Tech.
Rep., Department of Computer Science, National Taiwan University, 2003.

160
Appendix A
List of Abbreviations
ADC
Analog to Digital Converter
AGILE
Astro-rivelatore Gamma a Immagini Leggero
AHA
the Norwegian pop music band
AMANDA
Antarctic Muon and Neutrino Detector Array
ATWD
Analog Transient Waveform Digitizer
BAT
Burst Alert Telescope
BATSE
Burst and Transient Source Experiment
CGRO
Compton Gamma Ray Observatory
CMB
Cosmic Microwave Background
CP
Charge-Parity
CTEQ
Coordinated Theoretical-Experimental Project on QCD
DAQ
Data Acquisition System
DOM
Digital Optical Module
EBL
Extragalactic Background Light
EGRET
Energetic Gamma Ray Experiment Telescope
fADC
Fast Analog to Digital Converter
FPGA
Field-Programmable Gate Array
FREGATE
French Gamma-ray Telescope
GBM
Gamma-ray Burst Monitor

161
GCN
Gamma-ray Burst Coordinate Network
GRID
Gamma-ray Imaging Detector
GRB
Gamma-ray Burst
GZK
Greisen-Zatsepin-Kuzmin
HE
High Energy
HEASARC
NASA’s High Energy Astrophysics Science Archive Research Center
HETE-II
High Energy Transient Explorer
HXD
Hard X-ray Detector
IBIS
Imager on Board INTEGRAL
INTEGRAL International Gamma-Ray Astrophysics Laboratory
IPN3
Third Interplanetary Network
ISM
Interstellar Medium
JAMS
Just Another Muon Search
JEM-X
Joint European X-ray Monitor
LAT
Large Area Telescope
LE
Leading Edge
LC
Local Coincidence
PDF
Probability Distribution Function
PMT
Photomultiplier Tube
MDF
Model Discovery Factor
MDP
Model Discovery Potential
MMC
Muon Monte Carlo
MNS
Maki-Nakagawa-Sakata
MPE
Multiple Photo-Electron
MRF
Model Rejection Factor
MRS
Martin-Roberts-Stirling
OM
Optical Module

162
PREM
Preliminary Reference Earth Model
RA
Right Ascension
RAPCal
Reciprocal Active Pulsing Calibration
RQPM
Recombination Quark Parton Model
SBM
Subset Browsing Method
Sne
Supernovae
SPE
Single Photo-Electron
SPI
Spectrometer on INTEGRAL
SVM
Support Vector Machine
SWAMP
Swedish Amplifier
SXC
Soft X-ray Camera
TDC
Time to Digital Converter
TE
Trailing Edge
TOT
Time Over Threshold
TWR
Transient Waveform Recording
UHECR
Ultra-High Energy Cosmic Ray
UTC
Coordinated Universal Time
UVOT
UV and Optical Telescope
WB
Waxman-Bahcall
WXM
Wide Field X-ray Monitor
XRF
X-ray Flasher
XRT
X-ray Telescope
YAG
Yttrium Aluminium Garnet crystal (Nd:Y
3
Al
5
O
12
)

163
Appendix B
Sensitivity Studies for the Full Detector
The full IceCube detector is scheduled to be completed during the 2010-2011 austral summer. With
the inclusion of Deep Core, this will result in 86 instrumented strings in the ice. There exists an
opportunity to optimize the configuration of the final nine strings for physics analyses. Given that
Deep Core extends the detector towards lower energies, we instead look towards a geometry that
enhances the response to the highest energy events. With highly peaked emission in the 100 TeV -
10 PeV energy range, GRBs make a natural candidate for the investigation of potential improvements.
We present a study of the sensitivity of the full IceCube detector to muon neutrinos from GRBs
considering a geometry selected to increase the effective area for high energy events.
B.1 Geometries
We consider two geometries for the 86 strings of the full detector in our study. The six strings
of Deep Core are located in identical positions for both. In the default configuration, the 80 In-Ice
strings are spaced in a hexagonal grid, as illustrated in Fig. B.1(a). In the extended geometry, the
final nine strings are instead arranged in a circle of radius 423 m, as shown in Fig. B.1(b). Such
spacing is dictated by logistics, as it enables the drill camp to be located at the center of the ring
and the hot water drill hose to reach all proposed hole locations within a single season.
B.2 GRB Sample
Satellite observation rates yield about 200 GRBs/yr detected by Fermi and 100/yr by Swift.
Because many photon spectral parameters are correlated, we sample entire bursts from a large num-
ber observed by both detectors between 2007 and 2009 according to these rates. These bursts are
then distributed randomly and isotropically in detector coordinates to achieve a representative GRB

164
x
[
m
]
y
[
m
]
147151816291731018411195122061321
22
23
24
25
26
27
28
29
30
31
32
33
34
35
36
37
38
39
40
41
42
43
44
45
46
47
48
49
50
51
52
53
54
55
56
57
58
59
606875616976627077637178647265736674
67
79
80
-1000
-750
-500
-250
0
250
500
750
1000
-1250 -1000 -750 -500 -250
0
250 500 750
(a) default
x
[
m
]
y
[
m
]
1
23456
7
14
15
8
16
9
17
1018
1119
1220
1321
22
23
24
25
26
27
28
29
30
31
32
33
34
35
36
37
38
39
40
41
42
43
44
45
46
47
48
49
50
51
52
53
54
55
56
57
58
59
606875616976627077637178647265736674
67
79
80
-1000
-750
-500
-250
0
250
500
750
1000
-1250 -1000 -750 -500 -250
0
250 500 750
(b) extended
Figure B.1: Default and extended configurations of the 86-string IceCube detector.
sample. Applying this procedure to 365 days of detector livetime results in 142 GRBs in the northern
hemisphere with a total prompt emission window of 6839 s. For bursts in which all spectral param-
eters were not measured we use the same average parameters as in Table 8.2 with one exception.
The Fermi satellite observes higher energy bursts akin to BATSE, and thus for Fermi bursts we set
L
iso
γ
= 10
52
erg/s. For each burst we then calculate the neutrino fluence via the method described in
section 2.3.1. The result of these calculations is shown in Fig. B.2. We will calculate the response
of IceCube to these GRBs assuming both the individual parameters and also assuming each has
an average Waxman-Bahcall spectrum. We also perform a sensitivity study for precursor neutrinos
assuming each burst has a Razzaque et al. spectrum of duration 100 s.
B.3 Event Selection
Neutrinos and atmospheric muons are simulated over the full sky with both detector geome-
tries. These events are then reconstructed using a standard 32-iteration multi-photoelectron fit
1
.
We separate neutrinos from the muon background using a machine-learning algorithm known as an
SBM [129]. Relatively low simulation statistics limit the background rejection potential, however.
1
We note that the reconstruction algorithms used are optimized for the DOM spacing of the default detector
configuration. To properly gage the improvement of the extended geometry the reconstructions would have to be
re-tuned to take into account the greater distance between DOMS. Nevertheless, a good ‘first guess’ may be made
without changes.

165
E
ν
(GeV)
3
10
4
10
5
10
6
10
7
10
8
10
)
-2
dN/dE (GeV cm
×
2
E
-8
10
10
-7
-6
10
-5
10
-4
10
-3
10
10
-2
-1
10
1
10
10
2
3
10
10
4
142 individual bursts
Sum of 142 individual bursts
Average WB burst
Sum of 142 WB bursts
Figure B.2: Neutrino spectra for 142 northern sky GRBs. This corresponds to 1 yr. of
IceCube livetime assuming Fermi and Swift observation rates. We compare to the result
from the average Waxman-Bahcall spectra calculated from BATSE parameters.
Table B.1 illustrates simulated events remaining after this initial selection.
neutrinos downgoing muons coincident muons
default
7292
7
4
extended
7361
6
7
Table B.1: Unweighted simulated events remaining after application of SBM event selec-
tion. Low statistics limit the characterization of the background (each background event
has a weight of several hundred in the analysis).
We now tighten the cut on the SBM parameter to eliminate all downgoing muons above 85
in
detector coordinates. We show the initial SBM parameter distribution and the angular distribution
after the final quality cut for the default geometry in Fig. B.3 and for the extended geometry in
Fig. B.4. We show the effective area of the default configuration as well as the increase with the
extended configuration in Fig. B.5

166
Figure B.3: Default geometry event selection. Left panel shows the distribution in the
SBM parameter above 85
for simulated signal and background before final cut. Right
panel shows the zenith angle distribution at final cut level.
Figure B.4: Extended geometry event selection. Left panel shows the distribution in the
SBM parameter above 85
for simulated signal and background before final cut. Right
panel shows the zenith angle distribution at final cut level.
B.4 Method
We employ a strategy similar to the 2005-2006 AMANDA binned analysis to get a fast es-
timation of the sensitivity. The simulated neutrinos are re-weighted to approximate point sources
located at the locations of each of the 142 GRBs in the fake data sample. This is accomplished by
taking all simulated GRB signal events in a zenith band within 2.5
of the GRB position, weight-
ing by the appropriate solid angle ratio, and transforming the azimuth coordinates in the detector
frame to fall on the GRB location. This method preserves all information about the reconstruction
resolution for individual events. Background simulation is scaled to the summed emission window

167
Figure B.5: Muon neutrino effective areas for the 86-string IceCube detector after final
event selection. Left panel shows the default configuration in several zenith bands. Right
panel shows the ratio in effective area between the extended and default geometries. An
increase of ∼ 20% is seen near the horizontal for the highest energies. A small statistical
sample at low energies means that ratios below 1 TeV should be disregarded.
of the 142 bursts. We then make an angular cut of 2
around the position of each burst to remove
remaining background. This value is estimated based on the predicted angular resolution of the full
IceCube detector of < 1
. This cut retains 70–90% of the signal depending on declination and energy
spectrum. Recall that we consider three cases. First, that each burst follows an average Waxman-
Bahcall spectrum. Second, that each burst has a spectrum calculated according to individual photon
parameters. Finally, precursor emission assuming the Razzaque et al. flux. For the case of individual
flux modeling, we have not applied the angular cut to simulation. However, based on Fig. B.2, we
argue that the average spectral shapes are similar and apply the same overall passing rate as for the
Waxman-Bahcall flux. The final event counts and passing rates for both geometries are shown in
Table B.2. We compare the discovery potential (see section 7.4) of the two configurations in Fig. B.6.
We have not shown the final sensitivity for the individual flux modeling, but because the background
is the same, it will simply scale linearly from the average model. We see that for the average prompt
and precursor fluxes, the difference between the geometries using the method outlined here is negligi-
ble. This could be considered surprising, as the effective area for the extended geometries increases at
high energies. However, the event rate for GRBs is highly peaked at 100 TeV, and falls off rapidly as
energy increases. Therefore, in a simple counting experiment such as we have proposed, little benefit
is to be gained from a high energy extension. One must consider methods that incorporate the energy

168
of each event such as the unbinned analysis presented in this thesis to truly take advantage of the
additional effective area at the highest energies. What we should focus on in Fig. B.6, rather, is that
we will be able to detect an average prompt emission in greater than 90% of potential experiments
within a single year of full IceCube operations. In the event that we make no such detection, we will
be able to set meaningful limits on the emission scenarios.
signal events passing rate background events
Default
prompt (Waxman-Bahcall)
6.17
78%
0.006
prompt (individual)
14.72
78%
0.006
precursor
5.2
69%
0.015
Extended
prompt (Waxman-Bahcall)
6.22
75%
0.0047
prompt (individual)
15.2
75%
0.0047
precursor
5.16
65%
0.009
Table B.2: Final event rates for signal and background for the default and extended
86-string IceCube geometries. Three emission models are considered. Columns: signal
events – mean GRB neutrinos after all cuts, passing rate – angle and energy averaged
signal passing rates after angular cut relative to SBM cut level, background events –
background events expected after scaling to total emission ontime window.

169
factor of predicted flux
0
0.2
0.4
0.6
0.8
1
1.2
1.4
1.6
1.8
2
statistical power
0
20
40
60
80
100
5σ (prompt)
5σ (HE prompt)
5σ (precursor)
5σ (HE precursor)
Discovery Potential
Figure B.6: Discovery Potential for 1 yr. of 86-string IceCube operations. 142 gamma-
ray bursts are included in the fake data set. In this figure, prompt refers to an average
Waxman-Bahcall spectrum for all bursts. x-axis represents the multiple of the predicted
emission needed to make a discovery with the stated significance. y-axis shows the statis-
tical power. Based on this study, we will be able to discover the Waxman-Bahcall flux at
greater than 90% power within a single year.

170
Appendix C
Event Selection with Support Vector Machines
Support Vector Machines (SVMs) [130, 131] are a set of related supervised learning methods used
for classification and regression. For the purposes of physics analysis, we will restrict ourselves to
the classification case. SVMs have the useful property of simultaneously minimizing the classifica-
tion error and maximizing the margin between classes; that is, they maximally separate signal and
background while having low mis-classification. We present here an overview of the theory of SVMs,
describing the method by which they operate and the algorithms solved by software implementations.
We then show the application to a GRB analysis, with examples from the 2005-2006 AMANDA-II
dataset. For a more thorough description of the underlying principles and extensive details, see the
SVM tutorial by Burges [132].
Support vector machines map input vectors to a higher dimensional space where a maximal
separating hyperplane can be constructed. (In 2-dimensional space, a hyperplane is a line, in 3-
dimensional space it is a plane, and we generalize to higher dimensions.) Two parallel hyperplanes
are then constructed on each side of the hyperplane that separates the data. The best separating
hyperplane is that which maximizes the distance between the two parallel hyperplanes. Fig. C.1
illustrates this concept schematically.
Before exploring the operation of SVMs in more detail, we summarize the basic concepts of
what tools we use and what we wish to accomplish. In the sections that follow, we illustrate examples
for the case of 2 -dimensional data to simplify the discussion.
• We represent each data point as an n-dimensional vector. In the case of a physics analysis, this
vector contains all the variables of interest for each event.
• Each data point belongs to one of 2 classes, signal or background.

171
L1
L3
L4
L5
L2
Figure C.1: There are many possible hyperplanes that separate these classes of 2-
dimensional data. However, only one such hyperplane (not illustrated) maximally sep-
arates them.
• We want to separate the data classes using an “n 㡇 1”-dimensional hyperplane. We want the
separation to be maximal.
• We want to minimize the mis-classification of background events as signal (and vice versa).
C.1 Fully Separable, Linear Case
From a pedagogical standpoint, it is most useful to start with the simplest case (linearly
separable, fully separable) and then advance to the more general case of a real analysis (non-linear
separation, not fully separable). To that end, let’s look at the formalization of the problem. We
organize our data to take the form
{(x
1
, y
1
), (x
2
, y
2
), . . . , (x
n
, y
n
)}
(C.1)
where the y
i
is either 1 (signal) or -1 (background). Each x
i
is a n-dimensional vector corresponding
to the event variables of interest. We call this data set the training data, as it consists of events which
are known to be either background or signal
1
. The separating hyperplane then looks like
1
This is precisely why an SVM is well suited for GRB analysis. In order to properly train the machine, distinct
signal and non-signal classes must exist. For signal we may input simulated neutrino events, weighted to the spectrum
of interest. Non-signal is in general more difficult, as it requires extremely well-simulated background. However, in the
case of GRBs, the signal is strongly time-dependent, so an off-time measurement of the data yields a known“signal
free” training set.

172
w · x + b = 0.
(C.2)
The vector w points perpendicular to the separating hyperplane. Adding the offset parameter b allows
more generalization, permitting solutions that do not pass through the origin. We are interested in
maximizing the separation between signal and background, so we create another pair of parallel
hyperplanes such that all data i in our training set obey
y
i
(w · x
i
+ b) 㡇 1 ≥ 0
(C.3)
The problem is then reduced to minimizing w subject to the above constraints, as demonstrated by
the geometry in Fig C.2.
Figure C.2: Diagram of a maximally separating hyperplane in the linear, fully separa-
ble case. The solution is that hyperplane which minimizes w. The hyperplanes whose
solutions are 1 and -1 are known as the margins.
Let us now switch to a Lagrangian formulation of the problem. We do this for two reasons.
• The constraints above will be replaced by constraints on the Lagrange multipliers, which are
easier to work with.
• After reformulation, the data will only appear as dot products between vectors. This will turn
out to be useful later.

173
We assign a Lagrange multiplier α
i
to each inequality given by Eq. C.3, and write the La-
grangian:
L≡
1
2
?w?
2
?
i
α
i
y
i
(w · x
i
+ b) +
?
i
α
i
(C.4)
We can solve this problem by minimizing L with respect to w and b, and requiring that all the
derivatives with respect to α
i
vanish. Also, by our formulation, each of the α
i
≥ 0. This can be
reformulated once more into a Wolfe dual problem (see the book by Fletcher [133] for the method).
In this formulation, we maximize L
D
such that the gradients with respect to w and b vanish, as well
as our conditions on the Lagrange multipliers. These constraints give the conditions:
w =
?
i
α
i
y
i
x
i
(C.5)
?
i
α
i
y
i
= 0
(C.6)
Since this problem is dual to the original Lagrangian formulation, we may substitute these conditions
to arrive at
L
D
=
?
i
α
i
1
2
?
i,j
α
i
α
j
y
i
y
j
x
i
· x
j
.
(C.7)
Any data point in the training sample that has α
i
> 0 is called a support vector and lies on the
margin. If all other training points (with α
i
= 0) were removed, the SVM would find the same
solution.
C.2 Non-Separable, Linear Case (Soft Margin)
For actual data, it is not usually the case that signal and background are completely separable.
Therefore we would like to allow for “mislabeled examples” in our minimization. In this case, there
is no hyperplane that cleanly separates the two classes (see Fig C.3. Instead, we introduce slack
variables ξ
i
which measure how badly misclassified the data is. The constraint of Eq. C.3 then
becomes
y
i
(w · x
i
+ b) ≥ 1 㡇 ξ
i
(C.8)

174
Figure C.3: The case of a linear, non-separable dataset in SVM classification. The
data of Fig. C.2 have been augmented with additional points (in orange) that cannot
be cleanly separated. We must now draw the separation hyperplane that minimizes the
mis-classification.
The problem to be solved is now slightly more complicated, as we seek to simultaneously maximize
the separation between signal and background while minimizing the mis-classification. We introduce
a function that penalizes non-zero ξ
i
and get our new objective function
min
1
2
?w?
2
+ C
?
i
ξ
i
?
(C.9)
where C is the penalty factor for data points that lie on the wrong side of the separating hyperplane.
We now substitute this into our dual Lagrangian C.7, where our earlier and well considered choices
mean that the ξ
i
do not appear in the problem. In fact, the only difference is that we now have the
constraint that the α
i
have an upper bound of C.
0 ≤ α
i
≤ C
(C.10)
If we want to be more sophisticated, we can assign different penalty parameters C
+
, C
to the signal
and background training data. This lets us, for example, penalize a misclassified signal data point
more strongly than a misclassified background point. We will denote the ratio between these cost

175
factors as j.
C.3 Non-Linear Case
Let us now consider the situation where the training data is not linearly separable at all. That
is, there does not exist a separating hyperplane in n 㡇 1 space. In order to deal with this we must
construct some function to map our data to a higher dimensional space
x → ϕ(x)
(C.11)
where the data becomes linearly separable. While the principle is simple, the difficulty lies in de-
termining the mapping function ϕ. But note that in Eq. C.7 we formulated our algorithm to only
depend on the dot products of pairs of support vectors, so in the mapped space, this would look like
ϕ(x) · ϕ(x
?
)
(C.12)
While this does not seem to be particularly helpful, it in fact allows us to apply what is known as the
kernel trick. This is an application of Mercer’s theorem that states that any continuous, symmetric,
positive semi-definite kernel function K(x, x
?
) can be expressed as a dot product in a high-dimensional
space [134]. That is to say, there exists:
K(x, x
?
) ≡ ϕ(x) · ϕ(x
?
).
(C.13)
Thus, if we can find some suitable K(x, x
?
), we need not know ϕ and may instead replace
the dot product in Eq. C.7 with the kernel function. Fortunately, there exist several suitable kernel

176
functions in the literature that are in common use in SVM work.
Polynomial (homogeneous) : k(x, x
?
) = (x · x
?
)
d
Polynomial (inhomogeneous) : k(x, x
?
) = (x · x
?
+ 1)
d
Radial Basis Function : k(x, x
?
) = e
㡇 γ?x㡇 x
?
?
2
, for γ> 0
Gaussian Radial basis function : k(x, x
?
) = e
?x㡇 x
?
?
2
2
Sigmoid : k(x, x
?
) = tanh(κx · x
?
+ c)
for some (not every) κ > 0 and c < 0
Now we replace the dot product in our Lagrangian by the chosen kernel function, allowing us to map
our data to some higher dimensional space (possibly infinite), where it becomes linearly separable.
Solving the linear problem now gives us some w that lives in this high dimensional space. This can
once again be rewritten in terms of the kernel function to provide solutions in the real variable space
(see Burges [132]). Fig. C.4 shows a sample application of this principle.
㡇?
?? ? ???????????㡇??????????????㡇
??????????????????????????????????????????????????????????????????????????
????????
㡇?????????????????
????????????? ???
???????????????????????????????????????????????? ???????????????????????????
?????????????? ??????????????????????????????? ???????? ??????????????????
????????????????????
?
??????????????????????????????????
?
??????????????????
?????????????????????????????????????????
?
????????????
㡇??????????????
?????
????????? ???????????????????? ?????????????????????????? ????????????? ?????
??????????????????? ??????????????? ????????? ??????????????????????????? ??
?? ????????????????????????????????????????
?????
??????????????????????????????????????????????????????????????????????
?????????? ?????????????????????Æ????????????????
?
?? ??????????????????
??????????????????????????????????????????????????????????????????????????????
?????????????????????
㡇?
?
??? ??????????? ?????????????????????????????????????????????????????? ??
??? ?????????????????????????????? ?????????????? ?????????????????? ??
???? ?????????????????????????????????????????????????????????????????????????
??? ???????? ????????????????????????????????????????????????????????????????
????????????????????????????????????????????????????????
?????? ?? ???????????????????????????㡇?????????????????????????????????????????????????
????????????????????? ????????????????????????????????????????????????????????
????????????????????????????? ????????????? 㡇 ????????????????????????????????
Figure C.4: SVM classification using a 3 degree polynomial kernel function. Left panel
depicts the linearly separable case, which the kernel function emulates well. Right panel
depicts the non-linear case. In this case the data is mapped to a higher dimension with
the kernel function and linearly separated. In the real data space the (now very clean)
separation takes the form of some curve. (from [132])
C.4 Example Application to a GRB Analysis
SVMs are very well suited to application in a GRB analysis due to the known signal free off-
time data set. As an example, we consider the case of separation of signal neutrinos from background

177
for the representative burst GRB050319. Following the procedure described in Chapter 5, we blind
a 10 minute window around the trigger time and use the remaining data in a 2 hour window around
the trigger as a signal-free background set. We will use this 2 hour data to train the SVM. To obtain
a signal training sample, we simulate a point source of neutrinos at the location of the GRB and
weight the events according to the Waxman-Bahcall prescription [45].
We first must choose an SVM software implementation. Several packages exist, including a
class in ROOT. However, for the purposes of this study, we choose the package SVM
light
[135, 136].
This software is easy to set up, straightforward to run, and has some useful features. It allows for
many thousands of training examples and support vectors, it is fast, and it allows for the training data
to be weighted. This last feature is vital, as it allows many thousands of simulated signal neutrinos
to be weighted as the signal from a single GRB.
We next choose a set of features on which to train the SVM. these should be event variables
that clearly distinguish signal from background. In order to keep the analysis as unbiased as possible,
we exclude energy variables from consideration.
• Smoothness (sphit): A measure of how the hits are distributed relative to a cylinder con-
structed around the reconstructed track direction. An excellent track will have a smoothness
close to 0 as the hits are evenly spaced. Smoothness near 1 or -1 corresponds to a majority of
events clumped at one or the other end of the track.
• Direct Length (ldirb): A measure of the length of the track, calculated relative to direct
hits. High energy (GRB) events are likely to have a longer track length than cascades or low
energy atmospheric muons.
• Number of Direct Hits (ndirc): The number of hits which are in time agreement with the
reconstructed track (within -25 to +75 ns). A well-reconstructed, high-energy track will have
many direct hits.
• Space Angle (psi): The difference in direction between the reconstructed track and the
direction of the GRB. GRB neutrinos will have a small space angle, while the background will
be distributed essentially isotropically.
• Ratio between upgoing and downgoing reconstructions (jkchi): The ratio between
the unbiased reconstruction likelihood and that of a reconstruction weighted with the zenith

178
distribution of downgoing muons. Upgoing neutrinos will have a higher value of this parameter
than mis-reconstructed muons.
We now create 5 -dimensional feature vectors for each event in our datasets and assign a value of
?+1? to simulated signal neutrinos and ?㡇 1? to the off-time background. Each event is also assigned
a weight. Signal is weighted according to the GRB spectrum and then to a total normalization, while
background is weighted to the duration of the GRB and the same normalization. In this way, the
SVM classifies based on the shapes of the distributions rather than on magnitude.
We adopt the procedure outlined by Hsu et al. [137] to optimize our study. Since the SVM
algorithm works by taking dot products of the feature vectors, it is important that all data is at
about the same scale. If we let track length remain in the range {0, 400} while smoothness ranges
from {㡇 1, 1}, for example, the SVM will not optimize effectively. We therefore rescale the data such
that most structure for each variable is in the {㡇 1, 1} range. It is acceptable for outliers to exist.
The distributions of the feature vectors after rescaling are shown in Fig. C.5.
Since there may be a non-linear relationship between our class labels and the feature vectors,
we should choose a kernel function that maps non-linearly to high dimensional space. We choose the
Radial Basis Function (RBF) kernel for several reasons. First, it performs the necessary mapping
while performing as well as a linear kernel. Second, it has only a few parameters to optimize (γ, C),
which greatly speeds the analysis. Third, the function is well bounded, and cannot go off to infinity
like polynomial kernels. Thus for our purposes, the RBF kernel is most well-suited. Recall that the
RBF kernel function is given by
k(x, x
?
) = e
㡇 γ?x㡇 x
?
?
2
, for γ> 0
(C.14)
Having chosen a kernel, we must optimize 2 parameters; γ, the RBF kernel parameter, and C,
the penalty factor applied to support vectors off the margins. This is best accomplished via a grid
search. We want to choose parameters such that we can correctly identify unknown (testing) data,
rather than solely the known training data. The best way to do this is via cross-validation. The
training set is thus split into v parts and is trained on a v 㡇 1 subset of the data. The remaining
(untrained) single data set is then tested and the accuracy computed. This procedure is then iterated
v times, with the total accuracy being the average. Such cross-validation can prevent the over-fitting
problem (see Fig. C.6). A set of parameters could cleanly separate a training set but then perform

179
Figure C.5: Distribution of signal (blue) and background (black) for 5 feature vectors.
Normalization of rates encourages classification based solely on the shape of the distribu-
tions. All variables have been rescaled to fall in the range (-1,1).
poorly on a test set. By cross-validating, we check to make sure that this does not occur in our final
unknown (blinded) sample.
We now perform the grid search described above, varying γ and C and performing a 5 -fold
cross-validation at each point in the parameter space. In addition, we must perform this optimization
over a range of j ≡ C
+
/C
, the ratio in penalty factors for mis-classifying signal versus background.
For each j we choose the (γ, C) that minimizes the Model Rejection Factor (see Chapter 7). Fig. C.7
shows this minimization for several j.
As the SVM classifies each feature vector, it assigns an SVM output value representative of
how like each class the event is. Fig. C.8 illustrates how changes in the kernel function drastically
change the shape of the background and signal SVM output distributions.
We perform the grid search over a wide range of (γ, C, j) to determine the best possible SVM
for classifying the data. This gives us a set of parameters that globally minimizes the MRF for our
particular data. The SVM thus constructed is extremely efficient, yielding signal retention of ∼ 96%

180
(a) Training data and an overfitting classifier
(b) Applying an overfitting classifier on testing
data
(c) Training data and a better classifier
(d) Applying a better classifier on testing data
Figure 1: An overfitting classifier and a better classifier (● and ▲: training data; ?
and ?: testing data).
6
Figure C.6: The over-fitting problem in SVM classification. If the SVM is trained on
only a single set of training data (a), the solution hyperplane may be too strict. In this
case, when the SVM is applied to the testing data (b) mis-classification will occur. On
the other hand, cross-validation leads to the training of a better classifier (c), which then
separates the testing data more accurately (d). (from [137])
while retaining only 0.03% of background (see Fig. C.9). However, the cross-validation and grid
search is computationally intensive, and the SVM method is somewhat of a“black box” approach. A
simpler optimization making linear cuts on each of the same parameters loses only 4% of signal and
retains only 1% more background. For this reason, the SVM technique was not adopted for event
selection in our analyses. However, it has since been used in other work, notably a search of 22-string
IceCube data for GRBs complementary to that presented in this thesis [93, 107]. It is an extremely
powerful technique and resistance to machine learning algorithms for efficient background rejection
is waning, so we expect to see an increased presence of SVMs in future analyses.

181
(a) j = 0.0001, log
2
γ
best
= 3, log
2
C
best
= 11
(b) j = 0.01, log
2
γ
best
= 㡇 3, log
2
C
best
= 13
(c) j = 1, log
2
γ
best
= 㡇 7, log
2
C
best
= 13
(d) j = 10, log
2
γ
best
= 1, log
2
C
best
= 㡇 1
Figure C.7: Grid search for best RBF kernel function parameters (γ, C) for several cost
penalty ratios j. In these figures, the values on the axes represent log
2
of the parameter
in question. Thus the range of the search depicted here is both coarse and wide. In each
case, we choose the point in the parameter space where a 5 -fold cross-validated SVM
using that particular radial basis function minimizes the MRF (maximizes sensitivity).

182

183
Best MRF
Figure C.9: Global optimization of SVM kernel function parameters. Each data point
represents the best set of (γ, C) for a given j. The set of all parameters that gives the best
sensitivity (lowest MRF) is chosen as the final SVM for classifying the unknown (blinded)
dataset.

184
Appendix D
Light Curves of 2005-2006 Northern Sky GRBs
050319
050401
050408
050410
050416A
050416B
050421
050422
050502A
050502B
050504
050505
1
050509A
050509B
050520
050522
050525A
050528
050607
050712
050713B
050714
050802
050803

185
050813
050814
050815
050819
050820A
050824
050827
050904
050925
051006
051008
051016B
3
051021A
051022
051105A
051109A
051109B
051111
051114
051117A
4
060105
060108
060109
060110
060111A
060202
060204B
060211A
060211B
060218
060219
060312

186
060510B
060512
060515
060522
060526
060602A
060607B
060712
060717
060801
060805
060807
3
060814
060825
060904A
060906
060912
060923A
060923C
060926
060929
061002
061019
061028

187
Appendix E
Stability Plots for 2005-2006 Northern Sky GRBs
E.1 Filter Level Rates in Background Windows
050319
050401
050408
050410
050416A
050416B
050421
050422
050502A
050502B
050504
050505
1

188
050509A
050509B
050520
050522
050525A
050528
050607
050712
050713B
050714A
050802
050803
2
050805B
050813
050814
050815
050819
050820A
050824
050827
050904
050925
051006
051008
3

189
051016B
051021A
051022
051105A
051109A
051109B
051111
051114
051117A
060105
060108
060109
4
060110
060111A
060202
060204B
060211A
060211B
060218
060219
060312
060319
060323
060403
5

190
060413
060421
060424
060427
060428B
060501
060502A
060502B
060507
060510B
060512
060515
6
060522
060526
060602A
060607B
060712
060717
060801
060805
060807
060814
060825
060904A
7

191
060906
060912A
060923A
060923C
060926
060929
061002
061019
061028
061110B
8

192
E.2 Distribution in Filter Level Rate per 10s
050319
050401
050408
050410
050416A
050416B
050421
050422
050502A
050502B
050504
050505

193
050509A
050509B
050520
050522
050525A
050528
050607
050712
050713B
050714A
050802
050803
2
050805B
050813
050814
050815
050819
050820A
050824
050827
050904
050925
051006
051008
3

194
051016B
051021A
051022
051105A
051109A
051109B
051111
051114
051117A
060105
060108
060109
4
060110
060111A
060202
060204B
060211A
060211B
060218
060219
060312
060319
060323
060403

195
060413
060421
060424
060427
060428B
060501
060502A
060502B
060507
060510B
060512
060515
6
060522
060526
060602A
060607B
060712
060717
060801
060805
060807
060814
060825
060904A

196
060906
060912A
060923A
060923C
060926
060929
061002
061019
061028
061110B
8

197
E.3 Time Differences Between Subsequent Events
050319
050401
050408
050410
050416A
050416B
050421
050422
050502A
050502B
050504
050505

198
050509A
050509B
050520
050522
050525A
050528
050607
050712
050713B
050714A
050802
050803
2
050805B
050813
050814
050815
050819
050820A
050824
050827
050904
050925
051006
051008
3

199
051016B
051021A
051022
051105A
051109A
051109B
051111
051114
051117A
060105
060108
060109
4
060110
060111A
060202
060204B
060211A
060211B
060218
060219
060312
060319
060323
060403

200
060413
060421
060424
060427
060428B
060501
060502A
060502B
060507
060510B
060512
060515
6
060522
060526
060602A
060607B
060712
060717
060801
060805
060807
060814
060825
060904A

201
060906
060912A
060923A
060923C
060926
060929
061002
061019
061028
061110B
8

Back to top